Номер 27.14, страница 134 - гдз по алгебре 10 класс сборник задач Арефьева, Пирютко

Алгебра, 10 класс Сборник задач, авторы: Арефьева Ирина Глебовна, Пирютко Ольга Николаевна, издательство Народная асвета, Минск, 2020, белого цвета

Авторы: Арефьева И. Г., Пирютко О. Н.

Тип: Сборник задач

Издательство: Народная асвета

Год издания: 2020 - 2026

Уровень обучения: базовый и повышенный

Цвет обложки: белый, голубой с графиком

Допущено Министерством образования Республики Беларусь

Глава 5. Производная. Параграф 27. Геометрический смысл производной. Связь между знаком производной функции и ее возрастанием или убыванием - номер 27.14, страница 134.

№27.14 (с. 134)
Условие. №27.14 (с. 134)
скриншот условия
Алгебра, 10 класс Сборник задач, авторы: Арефьева Ирина Глебовна, Пирютко Ольга Николаевна, издательство Народная асвета, Минск, 2020, белого цвета, страница 134, номер 27.14, Условие

27.14. Найдите точки графика функции $y = f(x)$, в которых касательная к нему параллельна оси абсцисс.

а) $f(x) = x^3 - 3x + 1$;

б) $f(x) = x^3 - 3x^2 + 3x$.

Решение. №27.14 (с. 134)
Алгебра, 10 класс Сборник задач, авторы: Арефьева Ирина Глебовна, Пирютко Ольга Николаевна, издательство Народная асвета, Минск, 2020, белого цвета, страница 134, номер 27.14, Решение
Решение 2. №27.14 (с. 134)

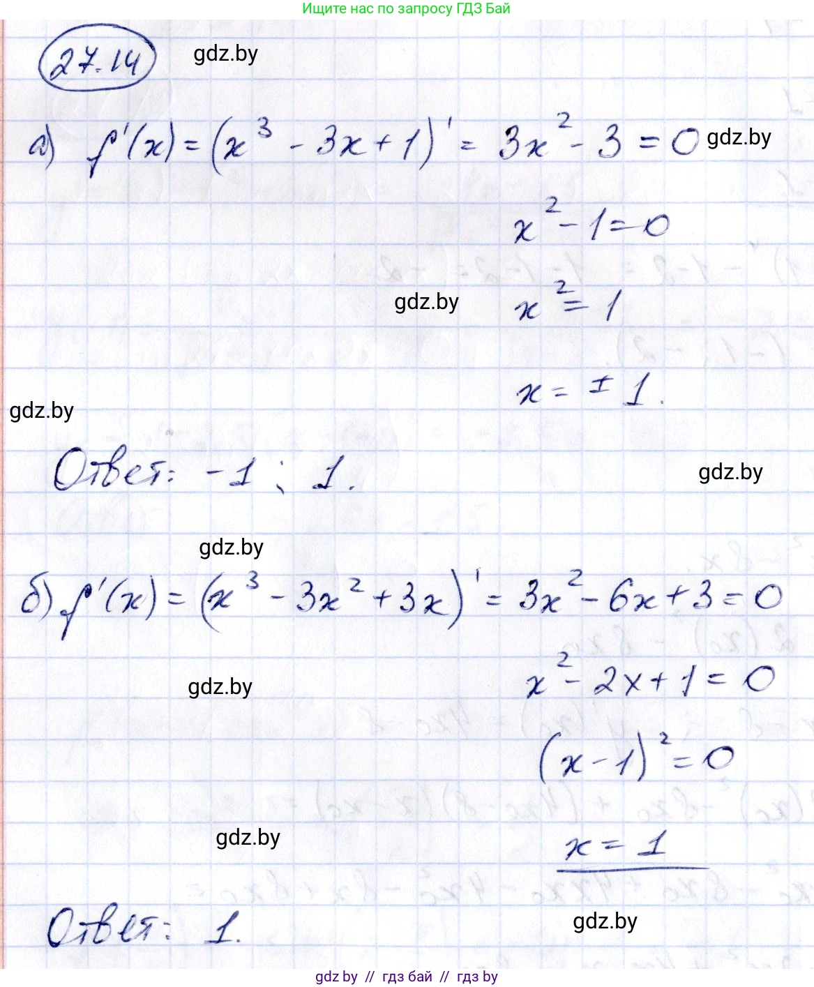
Для того чтобы найти точки графика функции, в которых касательная к нему параллельна оси абсцисс, необходимо найти точки, в которых производная функции равна нулю. Касательная параллельна оси абсцисс, если ее угловой коэффициент равен нулю. Значение производной функции в точке $x_0$ равно угловому коэффициенту касательной к графику функции в этой точке. Следовательно, нам нужно найти значения $x$, для которых $f'(x) = 0$.

а) $f(x) = x^3 - 3x + 1;$

1. Найдем производную функции $f(x)$:

$f'(x) = (x^3 - 3x + 1)' = 3x^2 - 3$.

2. Приравняем производную к нулю и решим полученное уравнение, чтобы найти абсциссы искомых точек:

$3x^2 - 3 = 0$

$3(x^2 - 1) = 0$

$x^2 = 1$

Корни этого уравнения: $x_1 = 1$ и $x_2 = -1$.

3. Вычислим соответствующие ординаты точек, подставив найденные значения $x$ в исходную функцию $f(x)$:

При $x_1 = 1$, ордината $y_1 = f(1) = 1^3 - 3 \cdot 1 + 1 = 1 - 3 + 1 = -1$.

При $x_2 = -1$, ордината $y_2 = f(-1) = (-1)^3 - 3 \cdot (-1) + 1 = -1 + 3 + 1 = 3$.

Таким образом, искомые точки имеют координаты $(1, -1)$ и $(-1, 3)$.

Ответ: $(1, -1)$ и $(-1, 3).$

б) $f(x) = x^3 - 3x^2 + 3x.$

1. Найдем производную функции $f(x)$:

$f'(x) = (x^3 - 3x^2 + 3x)' = 3x^2 - 6x + 3$.

2. Приравняем производную к нулю и решим уравнение:

$3x^2 - 6x + 3 = 0$

Разделив обе части на 3, получим:

$x^2 - 2x + 1 = 0$

Свернем левую часть по формуле квадрата разности:

$(x - 1)^2 = 0$

Единственный корень этого уравнения: $x = 1$.

3. Вычислим ординату точки, подставив $x=1$ в исходную функцию:

$y = f(1) = 1^3 - 3 \cdot 1^2 + 3 \cdot 1 = 1 - 3 + 3 = 1$.

Таким образом, искомая точка имеет координаты $(1, 1)$.

Ответ: $(1, 1).$

Помогло решение? Оставьте отзыв в комментариях ниже.

Присоединяйтесь к Телеграм-группе @gdz_by_belarus

Присоединиться

Мы подготовили для вас ответ c подробным объяснением домашего задания по алгебре за 10 класс, для упражнения номер 27.14 расположенного на странице 134 к сборнику задач 2020 года издания для учащихся школ и гимназий.

Теперь на нашем сайте ГДЗ.ТОП вы всегда легко и бесплатно найдёте условие с правильным ответом на вопрос «Как решить ДЗ» и «Как сделать» задание по алгебре к упражнению №27.14 (с. 134), авторов: Арефьева (Ирина Глебовна), Пирютко (Ольга Николаевна), базовый и повышенный уровень обучения учебного пособия издательства Народная асвета.