Номер 27.16, страница 134 - гдз по алгебре 10 класс сборник задач Арефьева, Пирютко

Алгебра, 10 класс Сборник задач, авторы: Арефьева Ирина Глебовна, Пирютко Ольга Николаевна, издательство Народная асвета, Минск, 2020, белого цвета

Авторы: Арефьева И. Г., Пирютко О. Н.

Тип: Сборник задач

Издательство: Народная асвета

Год издания: 2020 - 2026

Уровень обучения: базовый и повышенный

Цвет обложки: белый, голубой с графиком

Допущено Министерством образования Республики Беларусь

Популярные ГДЗ в 10 классе

Глава 5. Производная. Параграф 27. Геометрический смысл производной. Связь между знаком производной функции и ее возрастанием или убыванием - номер 27.16, страница 134.

№27.16 (с. 134)
Условие. №27.16 (с. 134)
скриншот условия
Алгебра, 10 класс Сборник задач, авторы: Арефьева Ирина Глебовна, Пирютко Ольга Николаевна, издательство Народная асвета, Минск, 2020, белого цвета, страница 134, номер 27.16, Условие

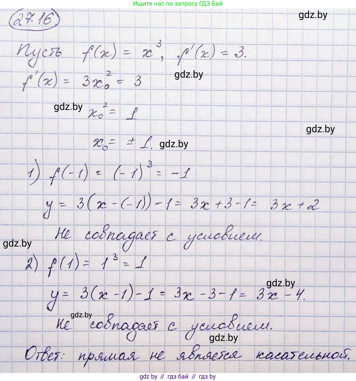
27.16. Выясните, является ли прямая $y = 3x - 1$ касательной к графику функции $y = x^3$.

Решение. №27.16 (с. 134)
Алгебра, 10 класс Сборник задач, авторы: Арефьева Ирина Глебовна, Пирютко Ольга Николаевна, издательство Народная асвета, Минск, 2020, белого цвета, страница 134, номер 27.16, Решение
Решение 2. №27.16 (с. 134)

Чтобы прямая являлась касательной к графику функции, необходимо и достаточно, чтобы в некоторой точке $x_0$ выполнялись два условия:
1) Значение производной функции в этой точке было равно угловому коэффициенту прямой.
2) Значения самой функции и прямой в этой точке совпадали.

Дана функция $f(x) = x^3$ и прямая $y = 3x - 1$. Угловой коэффициент прямой $k = 3$.

1. Найдем точки, в которых производная функции равна угловому коэффициенту прямой.
Найдем производную функции $f(x)$:
$f'(x) = (x^3)' = 3x^2$.
Приравняем ее к угловому коэффициенту $k=3$, чтобы найти абсциссу возможной точки касания $x_0$:
$f'(x_0) = 3$
$3x_0^2 = 3$
$x_0^2 = 1$
Существует две такие точки: $x_0 = 1$ и $x_0 = -1$.

2. Проверим второе условие (совпадение значений) для каждой найденной точки.
Для точки $x_0 = 1$:
Значение функции: $f(1) = 1^3 = 1$.
Значение на прямой: $y = 3(1) - 1 = 2$.
Поскольку $f(1) \neq y(1)$ (так как $1 \neq 2$), в этой точке касания нет.

Для точки $x_0 = -1$:
Значение функции: $f(-1) = (-1)^3 = -1$.
Значение на прямой: $y = 3(-1) - 1 = -4$.
Поскольку $f(-1) \neq y(-1)$ (так как $-1 \neq -4$), в этой точке касания также нет.

Так как не существует точки, в которой бы одновременно выполнялись оба условия, данная прямая не является касательной к графику функции $y=x^3$.

Ответ: нет, не является.

Помогло решение? Оставьте отзыв в комментариях ниже.

Присоединяйтесь к Телеграм-группе @gdz_by_belarus

Присоединиться

Мы подготовили для вас ответ c подробным объяснением домашего задания по алгебре за 10 класс, для упражнения номер 27.16 расположенного на странице 134 к сборнику задач 2020 года издания для учащихся школ и гимназий.

Теперь на нашем сайте ГДЗ.ТОП вы всегда легко и бесплатно найдёте условие с правильным ответом на вопрос «Как решить ДЗ» и «Как сделать» задание по алгебре к упражнению №27.16 (с. 134), авторов: Арефьева (Ирина Глебовна), Пирютко (Ольга Николаевна), базовый и повышенный уровень обучения учебного пособия издательства Народная асвета.