Номер 27.17, страница 134 - гдз по алгебре 10 класс сборник задач Арефьева, Пирютко

Алгебра, 10 класс Сборник задач, авторы: Арефьева Ирина Глебовна, Пирютко Ольга Николаевна, издательство Народная асвета, Минск, 2020, белого цвета

Авторы: Арефьева И. Г., Пирютко О. Н.

Тип: Сборник задач

Издательство: Народная асвета

Год издания: 2020 - 2026

Уровень обучения: базовый и повышенный

Цвет обложки: белый, голубой с графиком

Допущено Министерством образования Республики Беларусь

Популярные ГДЗ в 10 классе

Глава 5. Производная. Параграф 27. Геометрический смысл производной. Связь между знаком производной функции и ее возрастанием или убыванием - номер 27.17, страница 134.

№27.17 (с. 134)
Условие. №27.17 (с. 134)
скриншот условия
Алгебра, 10 класс Сборник задач, авторы: Арефьева Ирина Глебовна, Пирютко Ольга Николаевна, издательство Народная асвета, Минск, 2020, белого цвета, страница 134, номер 27.17, Условие

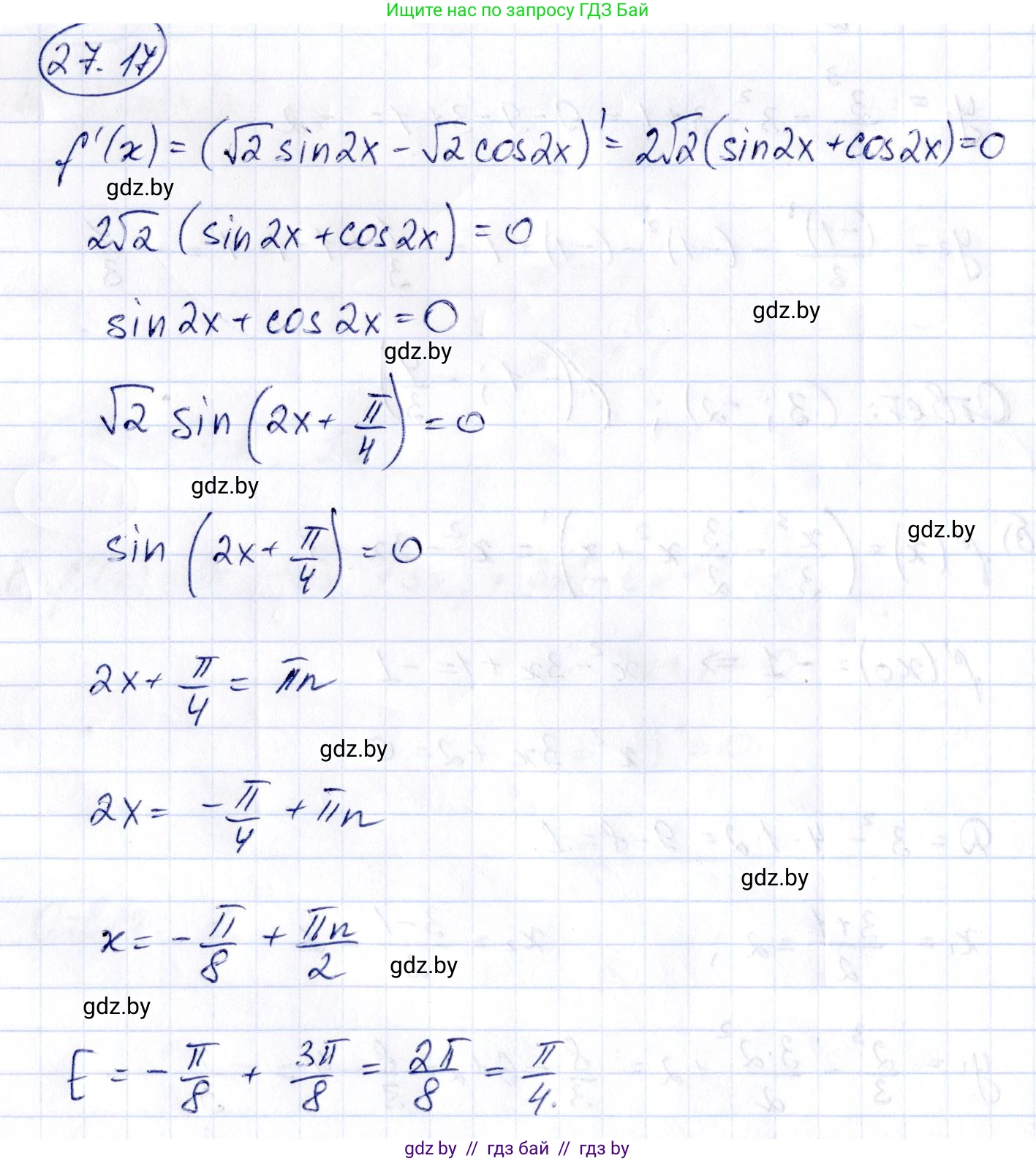
27.17. Найдите сумму абсцисс точек (из промежутка $[-\frac{\pi}{8}; \frac{\pi}{2}])$, в которых касательная к графику функции $f(x) = \sqrt{2} \sin 2x - \sqrt{2} \cos 2x$ параллельна оси абсцисс.

Решение. №27.17 (с. 134)
Алгебра, 10 класс Сборник задач, авторы: Арефьева Ирина Глебовна, Пирютко Ольга Николаевна, издательство Народная асвета, Минск, 2020, белого цвета, страница 134, номер 27.17, Решение Алгебра, 10 класс Сборник задач, авторы: Арефьева Ирина Глебовна, Пирютко Ольга Николаевна, издательство Народная асвета, Минск, 2020, белого цвета, страница 134, номер 27.17, Решение (продолжение 2)
Решение 2. №27.17 (с. 134)

Условие, что касательная к графику функции в некоторой точке параллельна оси абсцисс, означает, что её угловой коэффициент равен нулю. Угловой коэффициент касательной равен значению производной функции в этой точке. Таким образом, задача сводится к нахождению абсцисс точек, в которых производная функции $f(x)$ равна нулю.

Исходная функция: $f(x) = \sqrt{2} \sin(2x) - \sqrt{2} \cos(2x)$.

1. Найдём производную функции $f'(x)$.

Используя правило дифференцирования сложной функции $(\sin u)' = u' \cos u$ и $(\cos u)' = -u' \sin u$, где $u=2x$ и $u'=2$, получаем: $$ f'(x) = (\sqrt{2} \sin(2x) - \sqrt{2} \cos(2x))' $$ $$ f'(x) = \sqrt{2} \cdot \cos(2x) \cdot 2 - \sqrt{2} \cdot (-\sin(2x)) \cdot 2 $$ $$ f'(x) = 2\sqrt{2}\cos(2x) + 2\sqrt{2}\sin(2x) $$ $$ f'(x) = 2\sqrt{2}(\cos(2x) + \sin(2x)) $$

2. Приравняем производную к нулю и решим уравнение.

$f'(x) = 0 \implies 2\sqrt{2}(\cos(2x) + \sin(2x)) = 0$.
Поскольку $2\sqrt{2} \neq 0$, должно выполняться равенство: $$ \cos(2x) + \sin(2x) = 0 $$ $$ \sin(2x) = -\cos(2x) $$ Разделим обе части на $\cos(2x)$, предполагая, что $\cos(2x) \neq 0$. Если $\cos(2x) = 0$, то из уравнения следует, что и $\sin(2x) = 0$, что невозможно, так как $\sin^2(2x) + \cos^2(2x) = 1$. Следовательно, деление корректно. $$ \tan(2x) = -1 $$ Общее решение этого тригонометрического уравнения имеет вид: $$ 2x = -\frac{\pi}{4} + \pi n, \text{ где } n \in \mathbb{Z} $$ Отсюда находим $x$: $$ x = -\frac{\pi}{8} + \frac{\pi n}{2}, \text{ где } n \in \mathbb{Z} $$

3. Выполним отбор корней, принадлежащих заданному промежутку $[-\frac{\pi}{8}; \frac{\pi}{2}]$.

Будем подставлять различные целые значения $n$ в общую формулу для $x$:

  • При $n=0$: $x_1 = -\frac{\pi}{8} + 0 = -\frac{\pi}{8}$. Этот корень входит в промежуток, так как $-\frac{\pi}{8} \in [-\frac{\pi}{8}; \frac{\pi}{2}]$.
  • При $n=1$: $x_2 = -\frac{\pi}{8} + \frac{\pi}{2} = -\frac{\pi}{8} + \frac{4\pi}{8} = \frac{3\pi}{8}$. Этот корень входит в промежуток, так как $-\frac{\pi}{8} \le \frac{3\pi}{8} \le \frac{\pi}{2}$ (поскольку $\frac{\pi}{2} = \frac{4\pi}{8}$).
  • При $n=2$: $x = -\frac{\pi}{8} + \frac{2\pi}{2} = -\frac{\pi}{8} + \pi = \frac{7\pi}{8}$. Этот корень не входит в промежуток, так как $\frac{7\pi}{8} > \frac{\pi}{2}$.
  • При $n=-1$: $x = -\frac{\pi}{8} - \frac{\pi}{2} = -\frac{5\pi}{8}$. Этот корень не входит в промежуток, так как $-\frac{5\pi}{8} < -\frac{\pi}{8}$.

Таким образом, в указанном промежутке есть две точки, в которых касательная параллельна оси абсцисс: $x_1 = -\frac{\pi}{8}$ и $x_2 = \frac{3\pi}{8}$.

4. Найдём сумму этих абсцисс.

Сумма = $x_1 + x_2 = -\frac{\pi}{8} + \frac{3\pi}{8} = \frac{3\pi - \pi}{8} = \frac{2\pi}{8} = \frac{\pi}{4}$.

Сумма абсцисс точек: Ответ: $\frac{\pi}{4}$

Помогло решение? Оставьте отзыв в комментариях ниже.

Присоединяйтесь к Телеграм-группе @gdz_by_belarus

Присоединиться

Мы подготовили для вас ответ c подробным объяснением домашего задания по алгебре за 10 класс, для упражнения номер 27.17 расположенного на странице 134 к сборнику задач 2020 года издания для учащихся школ и гимназий.

Теперь на нашем сайте ГДЗ.ТОП вы всегда легко и бесплатно найдёте условие с правильным ответом на вопрос «Как решить ДЗ» и «Как сделать» задание по алгебре к упражнению №27.17 (с. 134), авторов: Арефьева (Ирина Глебовна), Пирютко (Ольга Николаевна), базовый и повышенный уровень обучения учебного пособия издательства Народная асвета.