Номер 29.3, страница 141 - гдз по алгебре 10 класс сборник задач Арефьева, Пирютко

Алгебра, 10 класс Сборник задач, авторы: Арефьева Ирина Глебовна, Пирютко Ольга Николаевна, издательство Народная асвета, Минск, 2020, белого цвета

Авторы: Арефьева И. Г., Пирютко О. Н.

Тип: Сборник задач

Издательство: Народная асвета

Год издания: 2020 - 2026

Уровень обучения: базовый и повышенный

Цвет обложки: белый, голубой с графиком

Допущено Министерством образования Республики Беларусь

Популярные ГДЗ в 10 классе

Глава 5. Производная. Параграф 29. Наибольшее и наименьшее значения функции - номер 29.3, страница 141.

№29.3 (с. 141)
Условие. №29.3 (с. 141)
скриншот условия
Алгебра, 10 класс Сборник задач, авторы: Арефьева Ирина Глебовна, Пирютко Ольга Николаевна, издательство Народная асвета, Минск, 2020, белого цвета, страница 141, номер 29.3, Условие

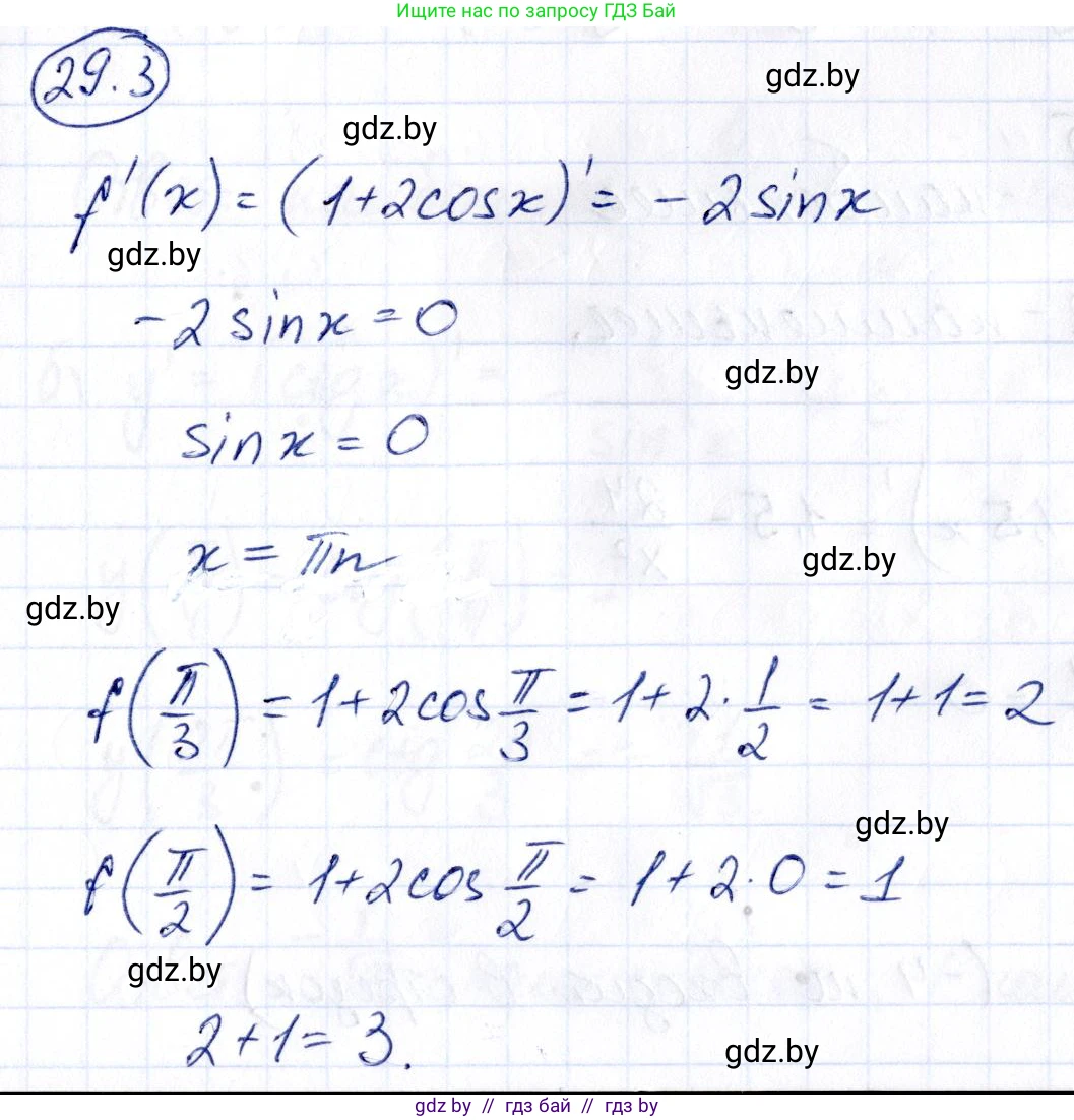
29.3. Найдите сумму наибольшего и наименьшего значений функции

$f(x)=1+2\cos x$ на отрезке $[\frac{\pi}{3}, \frac{\pi}{2}]$.

Решение. №29.3 (с. 141)
Алгебра, 10 класс Сборник задач, авторы: Арефьева Ирина Глебовна, Пирютко Ольга Николаевна, издательство Народная асвета, Минск, 2020, белого цвета, страница 141, номер 29.3, Решение Алгебра, 10 класс Сборник задач, авторы: Арефьева Ирина Глебовна, Пирютко Ольга Николаевна, издательство Народная асвета, Минск, 2020, белого цвета, страница 141, номер 29.3, Решение (продолжение 2)
Решение 2. №29.3 (с. 141)

Для нахождения суммы наибольшего и наименьшего значений функции $f(x) = 1 + 2\cos(x)$ на отрезке $[\frac{\pi}{3}; \frac{\pi}{2}]$, необходимо сначала найти эти значения. На заданном отрезке, который находится в первой координатной четверти, функция $\cos(x)$ является монотонно убывающей. Поскольку функция $f(x)$ — это линейная функция от $\cos(x)$ с положительным коэффициентом 2, она также будет монотонно убывать на этом отрезке. Следовательно, наибольшее значение функция достигает на левом конце отрезка, а наименьшее — на правом.

Наибольшее значение функции. Оно достигается при $x = \frac{\pi}{3}$. Вычислим его: $f_{наиб} = f(\frac{\pi}{3}) = 1 + 2\cos(\frac{\pi}{3}) = 1 + 2 \cdot \frac{1}{2} = 1 + 1 = 2$. Ответ: 2.

Наименьшее значение функции. Оно достигается при $x = \frac{\pi}{2}$. Вычислим его: $f_{наим} = f(\frac{\pi}{2}) = 1 + 2\cos(\frac{\pi}{2}) = 1 + 2 \cdot 0 = 1$. Ответ: 1.

Сумма наибольшего и наименьшего значений. Сложим полученные значения: $2 + 1 = 3$. Ответ: 3.

Помогло решение? Оставьте отзыв в комментариях ниже.

Присоединяйтесь к Телеграм-группе @gdz_by_belarus

Присоединиться

Мы подготовили для вас ответ c подробным объяснением домашего задания по алгебре за 10 класс, для упражнения номер 29.3 расположенного на странице 141 к сборнику задач 2020 года издания для учащихся школ и гимназий.

Теперь на нашем сайте ГДЗ.ТОП вы всегда легко и бесплатно найдёте условие с правильным ответом на вопрос «Как решить ДЗ» и «Как сделать» задание по алгебре к упражнению №29.3 (с. 141), авторов: Арефьева (Ирина Глебовна), Пирютко (Ольга Николаевна), базовый и повышенный уровень обучения учебного пособия издательства Народная асвета.