Номер 29.5, страница 141 - гдз по алгебре 10 класс сборник задач Арефьева, Пирютко

Алгебра, 10 класс Сборник задач, авторы: Арефьева Ирина Глебовна, Пирютко Ольга Николаевна, издательство Народная асвета, Минск, 2020, белого цвета

Авторы: Арефьева И. Г., Пирютко О. Н.

Тип: Сборник задач

Издательство: Народная асвета

Год издания: 2020 - 2026

Уровень обучения: базовый и повышенный

Цвет обложки: белый, голубой с графиком

Допущено Министерством образования Республики Беларусь

Глава 5. Производная. Параграф 29. Наибольшее и наименьшее значения функции - номер 29.5, страница 141.

№29.5 (с. 141)
Условие. №29.5 (с. 141)
скриншот условия
Алгебра, 10 класс Сборник задач, авторы: Арефьева Ирина Глебовна, Пирютко Ольга Николаевна, издательство Народная асвета, Минск, 2020, белого цвета, страница 141, номер 29.5, Условие

29.5. Найдите наибольшее и наименьшее значения функции:

a) $y = \mathrm{tg}x$ на отрезке $\left[-\frac{\pi}{3}; -\frac{\pi}{6}\right];$

б) $y = \mathrm{ctg}x$ на отрезке $\left[\frac{\pi}{4}; \frac{2\pi}{3}\right].$

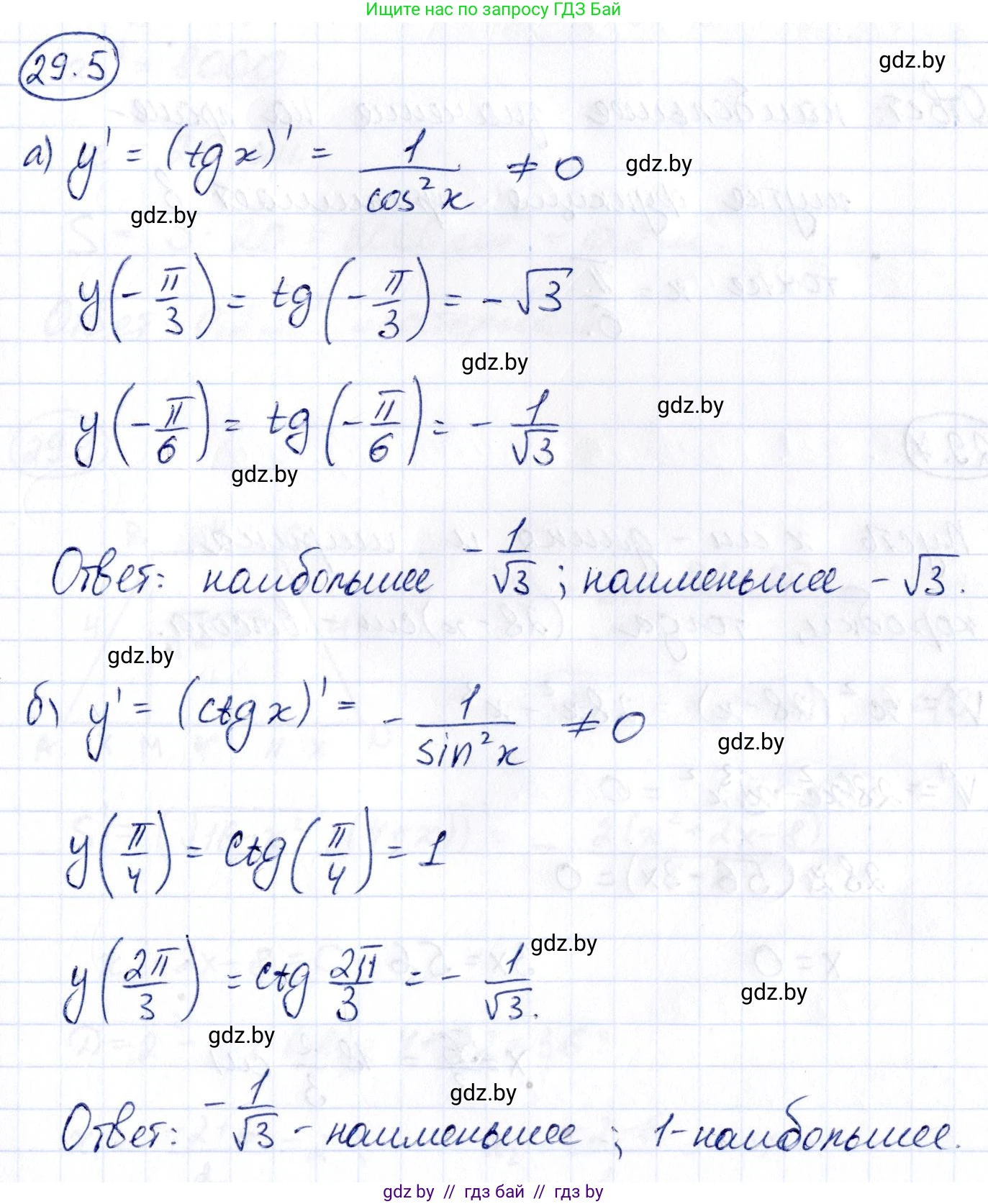
Решение. №29.5 (с. 141)
Алгебра, 10 класс Сборник задач, авторы: Арефьева Ирина Глебовна, Пирютко Ольга Николаевна, издательство Народная асвета, Минск, 2020, белого цвета, страница 141, номер 29.5, Решение
Решение 2. №29.5 (с. 141)

а) Для нахождения наибольшего и наименьшего значений функции $y = \tg x$ на отрезке $[-\frac{\pi}{3}; \frac{\pi}{6}]$ необходимо проанализировать ее поведение на данном отрезке.
Функция $y = \tg x$ является монотонно возрастающей на всем интервале $(-\frac{\pi}{2}; \frac{\pi}{2})$, который включает в себя заданный отрезок $[-\frac{\pi}{3}; \frac{\pi}{6}]$.
Поскольку функция возрастает, свое наименьшее значение она принимает на левом конце отрезка, а наибольшее — на правом.
Вычислим значения функции на концах отрезка:
Наименьшее значение: $y_{наим} = \tg(-\frac{\pi}{3}) = -\tg(\frac{\pi}{3}) = -\sqrt{3}$.
Наибольшее значение: $y_{наиб} = \tg(\frac{\pi}{6}) = \frac{\sqrt{3}}{3}$.
Ответ: наименьшее значение функции на отрезке равно $-\sqrt{3}$, а наибольшее значение равно $\frac{\sqrt{3}}{3}$.

б) Для нахождения наибольшего и наименьшего значений функции $y = \ctg x$ на отрезке $[\frac{\pi}{4}; \frac{2\pi}{3}]$ проанализируем ее поведение на данном отрезке.
Функция $y = \ctg x$ является монотонно убывающей на всем интервале $(0; \pi)$, который включает в себя заданный отрезок $[\frac{\pi}{4}; \frac{2\pi}{3}]$.
Поскольку функция убывает, свое наибольшее значение она принимает на левом конце отрезка, а наименьшее — на правом.
Вычислим значения функции на концах отрезка:
Наибольшее значение: $y_{наиб} = \ctg(\frac{\pi}{4}) = 1$.
Наименьшее значение: $y_{наим} = \ctg(\frac{2\pi}{3}) = \ctg(\pi - \frac{\pi}{3}) = -\ctg(\frac{\pi}{3}) = -\frac{\sqrt{3}}{3}$.
Ответ: наибольшее значение функции на отрезке равно 1, а наименьшее значение равно $-\frac{\sqrt{3}}{3}$.

Помогло решение? Оставьте отзыв в комментариях ниже.

Присоединяйтесь к Телеграм-группе @gdz_by_belarus

Присоединиться

Мы подготовили для вас ответ c подробным объяснением домашего задания по алгебре за 10 класс, для упражнения номер 29.5 расположенного на странице 141 к сборнику задач 2020 года издания для учащихся школ и гимназий.

Теперь на нашем сайте ГДЗ.ТОП вы всегда легко и бесплатно найдёте условие с правильным ответом на вопрос «Как решить ДЗ» и «Как сделать» задание по алгебре к упражнению №29.5 (с. 141), авторов: Арефьева (Ирина Глебовна), Пирютко (Ольга Николаевна), базовый и повышенный уровень обучения учебного пособия издательства Народная асвета.