Номер 2.252, страница 212 - гдз по алгебре 10 класс учебник Арефьева, Пирютко

Алгебра, 10 класс Учебник, авторы: Арефьева Ирина Глебовна, Пирютко Ольга Николаевна, издательство Народная асвета, Минск, 2019, голубого цвета

Авторы: Арефьева И. Г., Пирютко О. Н.

Тип: Учебник

Издательство: Народная асвета

Год издания: 2019 - 2026

Цвет обложки: голубой с графиком

Допущено Министерством образования Республики Беларусь

Популярные ГДЗ в 10 классе

Глава 2. Корень n-й степени из числа. Параграф 17. Иррациональные уравнения - номер 2.252, страница 212.

№2.252 (с. 212)
Условие. №2.252 (с. 212)
скриншот условия
Алгебра, 10 класс Учебник, авторы: Арефьева Ирина Глебовна, Пирютко Ольга Николаевна, издательство Народная асвета, Минск, 2019, голубого цвета, страница 212, номер 2.252, Условие

2.252. Найдите нули функции:

а) $y = \sqrt{12 - x - x}$;

б) $y = \sqrt{1 + 4x - x^2} - x + 1$;

в) $y = \sqrt{3x^2 - 3x + 21} - x + 5$.

Решение. №2.252 (с. 212)
Алгебра, 10 класс Учебник, авторы: Арефьева Ирина Глебовна, Пирютко Ольга Николаевна, издательство Народная асвета, Минск, 2019, голубого цвета, страница 212, номер 2.252, Решение Алгебра, 10 класс Учебник, авторы: Арефьева Ирина Глебовна, Пирютко Ольга Николаевна, издательство Народная асвета, Минск, 2019, голубого цвета, страница 212, номер 2.252, Решение (продолжение 2)
Решение 2. №2.252 (с. 212)

а) Чтобы найти нули функции $y = \sqrt{12 - x} - x$, необходимо решить уравнение $y=0$.

$\sqrt{12 - x} - x = 0$

Перенесем $x$ в правую часть уравнения:

$\sqrt{12 - x} = x$

Для того чтобы уравнение имело смысл, должны выполняться два условия, составляющие Область допустимых значений (ОДЗ):

  1. Подкоренное выражение должно быть неотрицательным: $12 - x \ge 0 \implies x \le 12$.
  2. Так как значение арифметического квадратного корня всегда неотрицательно, правая часть уравнения также должна быть неотрицательной: $x \ge 0$.

Объединяя эти условия, получаем, что корень уравнения должен принадлежать промежутку $[0; 12]$.

Возведем обе части уравнения в квадрат, чтобы избавиться от радикала:

$(\sqrt{12 - x})^2 = x^2$

$12 - x = x^2$

Перенесем все члены в одну сторону, чтобы получить стандартное квадратное уравнение:

$x^2 + x - 12 = 0$

Решим это уравнение с помощью дискриминанта $D = b^2 - 4ac$:

$D = 1^2 - 4 \cdot 1 \cdot (-12) = 1 + 48 = 49 = 7^2$

Найдем корни:

$x_1 = \frac{-1 + 7}{2 \cdot 1} = \frac{6}{2} = 3$

$x_2 = \frac{-1 - 7}{2 \cdot 1} = \frac{-8}{2} = -4$

Теперь проверим, принадлежат ли найденные корни ОДЗ ($0 \le x \le 12$):

  • $x_1 = 3$: $0 \le 3 \le 12$. Корень подходит.
  • $x_2 = -4$: не удовлетворяет условию $x \ge 0$. Это посторонний корень.

Таким образом, функция имеет один нуль.

Ответ: а) 3

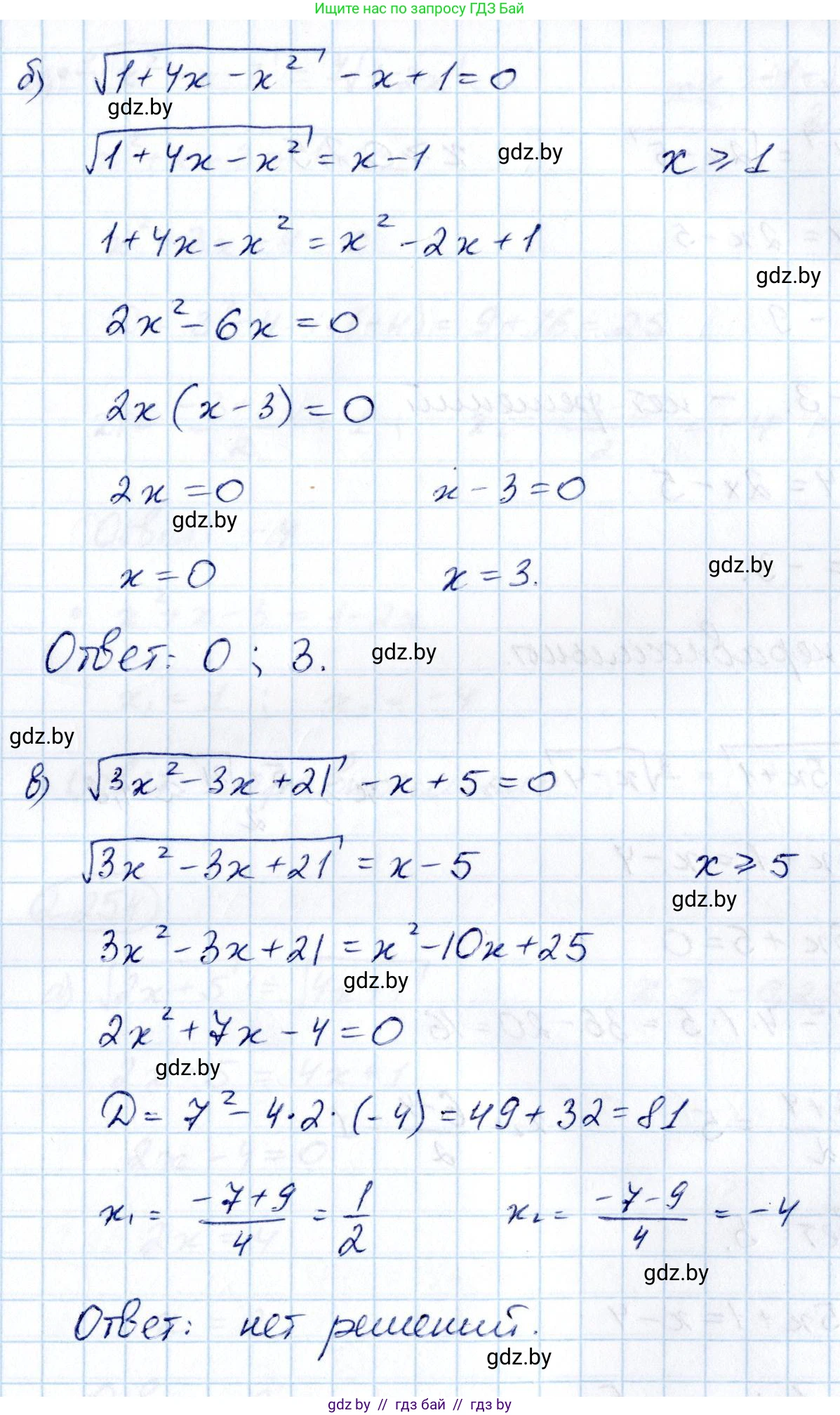
б) Чтобы найти нули функции $y = \sqrt{1 + 4x - x^2} - x + 1$, решим уравнение $y=0$.

$\sqrt{1 + 4x - x^2} - x + 1 = 0$

Изолируем радикал:

$\sqrt{1 + 4x - x^2} = x - 1$

Область допустимых значений (ОДЗ) определяется системой неравенств:

  1. $1 + 4x - x^2 \ge 0 \implies x^2 - 4x - 1 \le 0$.
    Найдем корни уравнения $x^2 - 4x - 1 = 0$:
    $D = (-4)^2 - 4 \cdot 1 \cdot (-1) = 16 + 4 = 20$.
    $x = \frac{4 \pm \sqrt{20}}{2} = \frac{4 \pm 2\sqrt{5}}{2} = 2 \pm \sqrt{5}$.
    Так как ветви параболы $y = x^2 - 4x - 1$ направлены вверх, неравенство выполняется между корнями: $2 - \sqrt{5} \le x \le 2 + \sqrt{5}$.
  2. $x - 1 \ge 0 \implies x \ge 1$.

Совмещая оба условия, получаем ОДЗ: $1 \le x \le 2 + \sqrt{5}$.

Возведем обе части уравнения в квадрат:

$1 + 4x - x^2 = (x - 1)^2$

$1 + 4x - x^2 = x^2 - 2x + 1$

Приведем подобные члены:

$2x^2 - 6x = 0$

$2x(x - 3) = 0$

Отсюда получаем два возможных корня:

$x_1 = 0$

$x_2 = 3$

Проверим корни по ОДЗ ($1 \le x \le 2 + \sqrt{5}$, что примерно равно $[1; 4.24]$):

  • $x_1 = 0$: не принадлежит ОДЗ, так как $0 < 1$. Является посторонним корнем.
  • $x_2 = 3$: принадлежит ОДЗ, так как $1 \le 3 \le 2 + \sqrt{5}$. Корень подходит.

Следовательно, у функции один нуль.

Ответ: б) 3

в) Чтобы найти нули функции $y = \sqrt{3x^2 - 3x + 21} - x + 5$, решим уравнение $y=0$.

$\sqrt{3x^2 - 3x + 21} - x + 5 = 0$

Изолируем радикал:

$\sqrt{3x^2 - 3x + 21} = x - 5$

Область допустимых значений (ОДЗ) определяется системой условий:

  1. $3x^2 - 3x + 21 \ge 0$.
    Найдем дискриминант квадратного трехчлена: $D = (-3)^2 - 4 \cdot 3 \cdot 21 = 9 - 252 = -243$.
    Так как $D < 0$ и старший коэффициент $a = 3 > 0$, трехчлен $3x^2 - 3x + 21$ всегда положителен. Это условие выполняется для любого действительного $x$.
  2. $x - 5 \ge 0 \implies x \ge 5$.

Таким образом, ОДЗ для корней уравнения: $x \ge 5$.

Возведем обе части уравнения в квадрат:

$3x^2 - 3x + 21 = (x - 5)^2$

$3x^2 - 3x + 21 = x^2 - 10x + 25$

Перенесем все члены уравнения в левую часть:

$2x^2 + 7x - 4 = 0$

Решим полученное квадратное уравнение. Дискриминант:

$D = 7^2 - 4 \cdot 2 \cdot (-4) = 49 + 32 = 81 = 9^2$

Найдем корни:

$x_1 = \frac{-7 + 9}{2 \cdot 2} = \frac{2}{4} = \frac{1}{2}$

$x_2 = \frac{-7 - 9}{2 \cdot 2} = \frac{-16}{4} = -4$

Проверим, удовлетворяют ли найденные корни условию ОДЗ ($x \ge 5$):

  • $x_1 = \frac{1}{2}$: не удовлетворяет, так как $\frac{1}{2} < 5$. Это посторонний корень.
  • $x_2 = -4$: не удовлетворяет, так как $-4 < 5$. Это посторонний корень.

Оба найденных корня являются посторонними. Следовательно, исходное уравнение не имеет решений, и функция не имеет нулей.

Ответ: в) нулей нет

Помогло решение? Оставьте отзыв в комментариях ниже.

Присоединяйтесь к Телеграм-группе @gdz_by_belarus

Присоединиться

Мы подготовили для вас ответ c подробным объяснением домашего задания по алгебре за 10 класс, для упражнения номер 2.252 расположенного на странице 212 к учебнику 2019 года издания для учащихся школ и гимназий.

Теперь на нашем сайте ГДЗ.ТОП вы всегда легко и бесплатно найдёте условие с правильным ответом на вопрос «Как решить ДЗ» и «Как сделать» задание по алгебре к упражнению №2.252 (с. 212), авторов: Арефьева (Ирина Глебовна), Пирютко (Ольга Николаевна), учебного пособия издательства Народная асвета.