Номер 2.253, страница 212 - гдз по алгебре 10 класс учебник Арефьева, Пирютко

Алгебра, 10 класс Учебник, авторы: Арефьева Ирина Глебовна, Пирютко Ольга Николаевна, издательство Народная асвета, Минск, 2019, голубого цвета

Авторы: Арефьева И. Г., Пирютко О. Н.

Тип: Учебник

Издательство: Народная асвета

Год издания: 2019 - 2026

Цвет обложки: голубой с графиком

Допущено Министерством образования Республики Беларусь

Популярные ГДЗ в 10 классе

Глава 2. Корень n-й степени из числа. Параграф 17. Иррациональные уравнения - номер 2.253, страница 212.

№2.253 (с. 212)
Условие. №2.253 (с. 212)
скриншот условия
Алгебра, 10 класс Учебник, авторы: Арефьева Ирина Глебовна, Пирютко Ольга Николаевна, издательство Народная асвета, Минск, 2019, голубого цвета, страница 212, номер 2.253, Условие Алгебра, 10 класс Учебник, авторы: Арефьева Ирина Глебовна, Пирютко Ольга Николаевна, издательство Народная асвета, Минск, 2019, голубого цвета, страница 212, номер 2.253, Условие (продолжение 2)

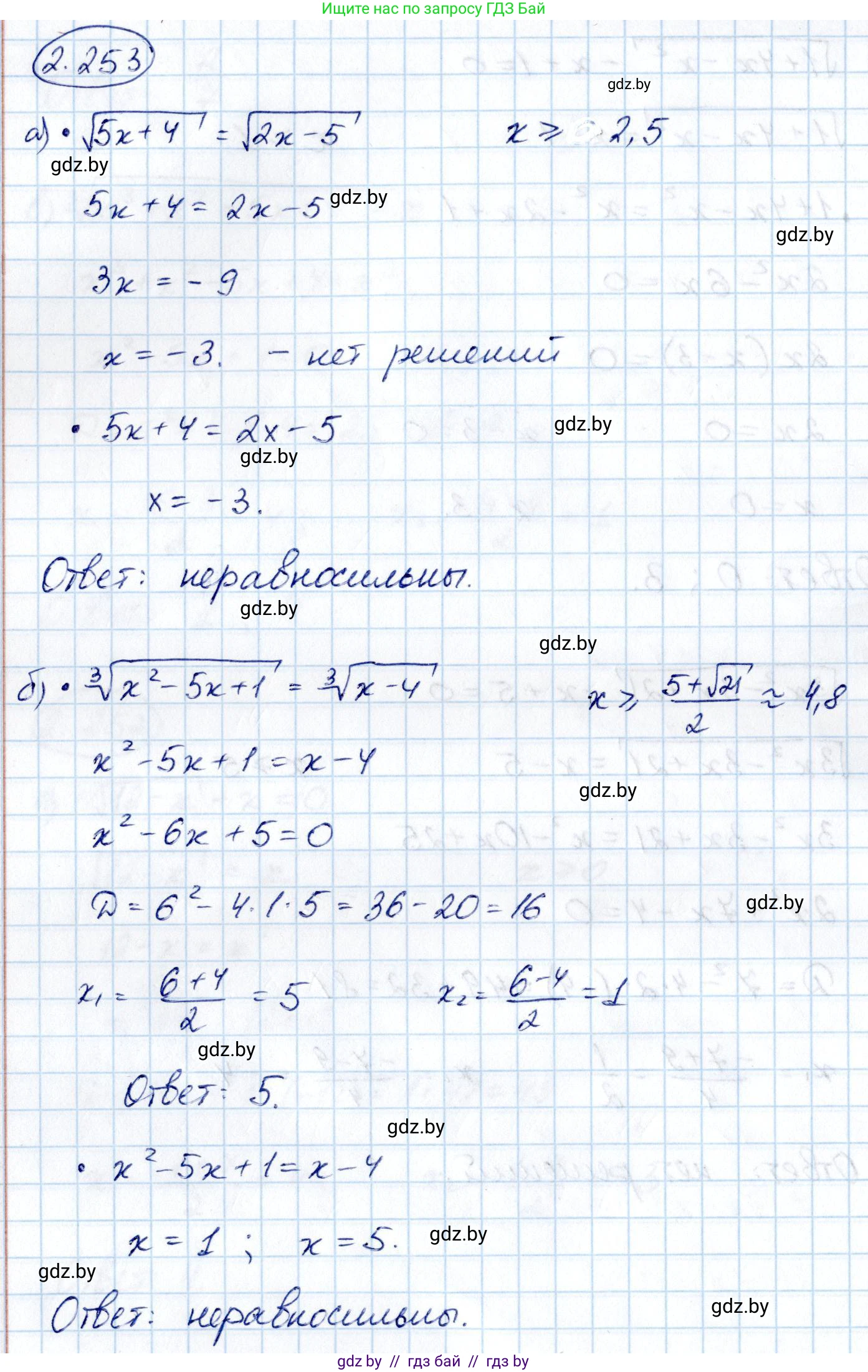
2.253. Верно ли, что равносильны уравнения:

a) $\sqrt{5x+4} = \sqrt{2x-5}$ и $5x+4 = 2x-5;$

б) $\sqrt[3]{x^2-5x+1} = \sqrt[3]{x-4}$ и $x^2-5x+1 = x-4;$

в) $\sqrt[4]{x^2+x-3} = \sqrt[4]{1-2x}$ и $x^2+x-3 = 1-2x?$

Решение. №2.253 (с. 212)
Алгебра, 10 класс Учебник, авторы: Арефьева Ирина Глебовна, Пирютко Ольга Николаевна, издательство Народная асвета, Минск, 2019, голубого цвета, страница 212, номер 2.253, Решение Алгебра, 10 класс Учебник, авторы: Арефьева Ирина Глебовна, Пирютко Ольга Николаевна, издательство Народная асвета, Минск, 2019, голубого цвета, страница 212, номер 2.253, Решение (продолжение 2)
Решение 2. №2.253 (с. 212)

Два уравнения называются равносильными (или эквивалентными), если множества их решений совпадают. Чтобы определить, равносильны ли данные пары уравнений, мы найдем множества решений для каждого уравнения в паре и сравним их.

а) $\sqrt{5x + 4} = \sqrt{2x - 5}$ и $5x + 4 = 2x - 5$

Первое уравнение является иррациональным. Его область допустимых значений (ОДЗ) определяется условиями неотрицательности подкоренных выражений:

$\begin{cases} 5x + 4 \ge 0 \\ 2x - 5 \ge 0 \end{cases}$

Решим эту систему неравенств:

$\begin{cases} 5x \ge -4 \\ 2x \ge 5 \end{cases} \implies \begin{cases} x \ge -\frac{4}{5} \\ x \ge \frac{5}{2} \end{cases}$

Так как $\frac{5}{2} = 2\frac{1}{2}$, то общее решение системы, а значит и ОДЗ первого уравнения, это $x \ge 2\frac{1}{2}$.

Для решения первого уравнения возведем обе его части в квадрат:

$(\sqrt{5x + 4})^2 = (\sqrt{2x - 5})^2$

$5x + 4 = 2x - 5$

$3x = -9$

$x = -3$

Теперь проверим, принадлежит ли найденный корень $x = -3$ области допустимых значений $x \ge 2\frac{1}{2}$. Очевидно, что $-3 < 2\frac{1}{2}$, поэтому $x=-3$ является посторонним корнем. Следовательно, первое уравнение не имеет решений (его множество решений пустое, $\emptyset$).

Теперь решим второе уравнение: $5x + 4 = 2x - 5$. Это линейное уравнение, не имеющее ограничений на ОДЗ.

$3x = -9$

$x = -3$

Множество решений второго уравнения: $\{-3\}$.

Поскольку множество решений первого уравнения ($\emptyset$) не совпадает с множеством решений второго уравнения ($\{-3\}$), эти уравнения не являются равносильными.

Ответ: нет.

б) $\sqrt[3]{x^2 - 5x + 1} = \sqrt[3]{x - 4}$ и $x^2 - 5x + 1 = x - 4$

Возведение обеих частей уравнения в нечетную степень (в данном случае, в третью) является равносильным преобразованием на всей числовой оси. Это означает, что уравнение вида $\sqrt[2k+1]{f(x)} = \sqrt[2k+1]{g(x)}$ всегда равносильно уравнению $f(x) = g(x)$. Область определения кубического корня — все действительные числа, поэтому никаких дополнительных ограничений (ОДЗ) не возникает.

Возведя обе части первого уравнения в куб, мы получим:

$(\sqrt[3]{x^2 - 5x + 1})^3 = (\sqrt[3]{x - 4})^3$

$x^2 - 5x + 1 = x - 4$

Это в точности второе уравнение. Так как преобразование было равносильным, множества решений этих двух уравнений совпадают. Следовательно, уравнения равносильны.

Ответ: да.

в) $\sqrt[4]{x^2 + x - 3} = \sqrt[4]{1 - 2x}$ и $x^2 + x - 3 = 1 - 2x$

Первое уравнение содержит корни четной степени (четвертой). Возведение в четную степень не всегда является равносильным преобразованием, так как может приводить к появлению посторонних корней. Уравнение $\sqrt[2k]{f(x)} = \sqrt[2k]{g(x)}$ равносильно системе $\begin{cases} f(x) = g(x) \\ f(x) \ge 0 \end{cases}$ (или $\begin{cases} f(x) = g(x) \\ g(x) \ge 0 \end{cases}$).

Сначала решим второе уравнение, которое получается из первого возведением в четвертую степень:

$x^2 + x - 3 = 1 - 2x$

$x^2 + 3x - 4 = 0$

По теореме Виета, корни этого квадратного уравнения: $x_1 = 1$ и $x_2 = -4$. Таким образом, множество решений второго уравнения: $\{1, -4\}$.

Теперь проверим, являются ли эти корни решениями первого (иррационального) уравнения. Для этого необходимо проверить, удовлетворяют ли они ОДЗ: подкоренные выражения должны быть неотрицательны.

$\begin{cases} x^2 + x - 3 \ge 0 \\ 1 - 2x \ge 0 \end{cases}$

Проверка для $x = 1$:

$1 - 2(1) = 1 - 2 = -1$.

Так как $-1 < 0$, ОДЗ не выполняется. Значит, $x=1$ — посторонний корень для первого уравнения.

Проверка для $x = -4$:

$1 - 2(-4) = 1 + 8 = 9$. Так как $9 \ge 0$, это условие выполняется.

$(-4)^2 + (-4) - 3 = 16 - 4 - 3 = 9$. Так как $9 \ge 0$, это условие тоже выполняется.

Оба подкоренных выражения неотрицательны, значит, $x=-4$ является корнем первого уравнения.

Итак, множество решений первого уравнения равно $\{-4\}$, а второго — $\{1, -4\}$.

Поскольку множества решений не совпадают, уравнения не являются равносильными.

Ответ: нет.

Помогло решение? Оставьте отзыв в комментариях ниже.

Присоединяйтесь к Телеграм-группе @gdz_by_belarus

Присоединиться

Мы подготовили для вас ответ c подробным объяснением домашего задания по алгебре за 10 класс, для упражнения номер 2.253 расположенного на странице 212 к учебнику 2019 года издания для учащихся школ и гимназий.

Теперь на нашем сайте ГДЗ.ТОП вы всегда легко и бесплатно найдёте условие с правильным ответом на вопрос «Как решить ДЗ» и «Как сделать» задание по алгебре к упражнению №2.253 (с. 212), авторов: Арефьева (Ирина Глебовна), Пирютко (Ольга Николаевна), учебного пособия издательства Народная асвета.