Номер 2.260, страница 213 - гдз по алгебре 10 класс учебник Арефьева, Пирютко

Алгебра, 10 класс Учебник, авторы: Арефьева Ирина Глебовна, Пирютко Ольга Николаевна, издательство Народная асвета, Минск, 2019, голубого цвета

Авторы: Арефьева И. Г., Пирютко О. Н.

Тип: Учебник

Издательство: Народная асвета

Год издания: 2019 - 2026

Цвет обложки: голубой с графиком

Допущено Министерством образования Республики Беларусь

Популярные ГДЗ в 10 классе

Глава 2. Корень n-й степени из числа. Параграф 17. Иррациональные уравнения - номер 2.260, страница 213.

№2.260 (с. 213)
Условие. №2.260 (с. 213)
скриншот условия
Алгебра, 10 класс Учебник, авторы: Арефьева Ирина Глебовна, Пирютко Ольга Николаевна, издательство Народная асвета, Минск, 2019, голубого цвета, страница 213, номер 2.260, Условие

2.260. Решите уравнение с помощью метода замены переменной:

a) $\sqrt{x} - \sqrt[4]{x} - 6 = 0$;

б) $\sqrt[3]{x} + 5\sqrt[6]{x} = 6$;

в) $\sqrt{x+3} - 3\sqrt[4]{x+3} + 2 = 0$;

г) $\sqrt[3]{x+15} - \sqrt[6]{x+15} = 2$;

д) $x^2 + 7 + \sqrt{x^2+7} = 20$;

е) $x^2 + 2x + \sqrt{x^2+2x+8} = 12$.

Решение. №2.260 (с. 213)
Алгебра, 10 класс Учебник, авторы: Арефьева Ирина Глебовна, Пирютко Ольга Николаевна, издательство Народная асвета, Минск, 2019, голубого цвета, страница 213, номер 2.260, Решение Алгебра, 10 класс Учебник, авторы: Арефьева Ирина Глебовна, Пирютко Ольга Николаевна, издательство Народная асвета, Минск, 2019, голубого цвета, страница 213, номер 2.260, Решение (продолжение 2)
Решение 2. №2.260 (с. 213)

а) $\sqrt{x} - \sqrt[4]{x} - 6 = 0$

Данное уравнение можно свести к квадратному уравнению с помощью замены переменной. Область допустимых значений (ОДЗ) для $x$ определяется наличием корней: $x \ge 0$.

Заметим, что $\sqrt{x} = (\sqrt[4]{x})^2$. Сделаем замену: пусть $t = \sqrt[4]{x}$.

Так как корень четвертой степени из неотрицательного числа является неотрицательным, то $t \ge 0$.

Подставим новую переменную в исходное уравнение:

$t^2 - t - 6 = 0$

Это квадратное уравнение относительно $t$. Решим его с помощью дискриминанта:

$D = b^2 - 4ac = (-1)^2 - 4 \cdot 1 \cdot (-6) = 1 + 24 = 25$

$t_1 = \frac{-b + \sqrt{D}}{2a} = \frac{1 + \sqrt{25}}{2} = \frac{1 + 5}{2} = 3$

$t_2 = \frac{-b - \sqrt{D}}{2a} = \frac{1 - \sqrt{25}}{2} = \frac{1 - 5}{2} = -2$

Теперь проверим найденные корни на соответствие условию $t \ge 0$.

Корень $t_1 = 3$ удовлетворяет условию $3 \ge 0$.

Корень $t_2 = -2$ не удовлетворяет условию, так как $-2 < 0$. Этот корень является посторонним.

Выполним обратную замену для $t = 3$:

$\sqrt[4]{x} = 3$

Возведем обе части уравнения в четвертую степень, чтобы найти $x$:

$x = 3^4 = 81$

Проверим найденный корень $x=81$ подстановкой в исходное уравнение:

$\sqrt{81} - \sqrt[4]{81} - 6 = 9 - 3 - 6 = 0$.

$0 = 0$. Равенство верное.

Ответ: 81

б) $\sqrt[3]{x} + 5\sqrt[6]{x} = 6$

ОДЗ: $x \ge 0$, так как присутствует корень шестой (четной) степени.

Заметим, что $\sqrt[3]{x} = (\sqrt[6]{x})^2$. Сделаем замену: пусть $t = \sqrt[6]{x}$. Условие для $t$: $t \ge 0$.

Подставляем в уравнение:

$t^2 + 5t = 6$

$t^2 + 5t - 6 = 0$

Решим квадратное уравнение. По теореме Виета, сумма корней равна -5, а произведение -6. Корни: $t_1 = 1$ и $t_2 = -6$.

Проверяем корни по условию $t \ge 0$:

$t_1 = 1$ подходит.

$t_2 = -6$ не подходит, так как $-6 < 0$.

Выполняем обратную замену для $t=1$:

$\sqrt[6]{x} = 1$

Возводим обе части в шестую степень:

$x = 1^6 = 1$

Проверка: $\sqrt[3]{1} + 5\sqrt[6]{1} = 1 + 5 \cdot 1 = 6$. Равенство верное.

Ответ: 1

в) $\sqrt{x+3} - 3\sqrt[4]{x+3} + 2 = 0$

ОДЗ: $x+3 \ge 0$, то есть $x \ge -3$.

Заметим, что $\sqrt{x+3} = (\sqrt[4]{x+3})^2$. Сделаем замену: $t = \sqrt[4]{x+3}$. Условие для $t$: $t \ge 0$.

Подставляем в уравнение:

$t^2 - 3t + 2 = 0$

По теореме Виета, сумма корней равна 3, произведение равно 2. Корни: $t_1 = 1$ и $t_2 = 2$.

Оба корня удовлетворяют условию $t \ge 0$. Рассмотрим оба случая.

1) $t = 1$:

$\sqrt[4]{x+3} = 1$

$x+3 = 1^4 = 1$

$x = 1 - 3 = -2$

2) $t = 2$:

$\sqrt[4]{x+3} = 2$

$x+3 = 2^4 = 16$

$x = 16 - 3 = 13$

Оба найденных значения $x$ удовлетворяют ОДЗ ($x \ge -3$).

Проверка:
При $x=-2$: $\sqrt{-2+3} - 3\sqrt[4]{-2+3} + 2 = \sqrt{1} - 3\sqrt[4]{1} + 2 = 1 - 3 + 2 = 0$. Верно.
При $x=13$: $\sqrt{13+3} - 3\sqrt[4]{13+3} + 2 = \sqrt{16} - 3\sqrt[4]{16} + 2 = 4 - 3 \cdot 2 + 2 = 4 - 6 + 2 = 0$. Верно.

Ответ: -2; 13

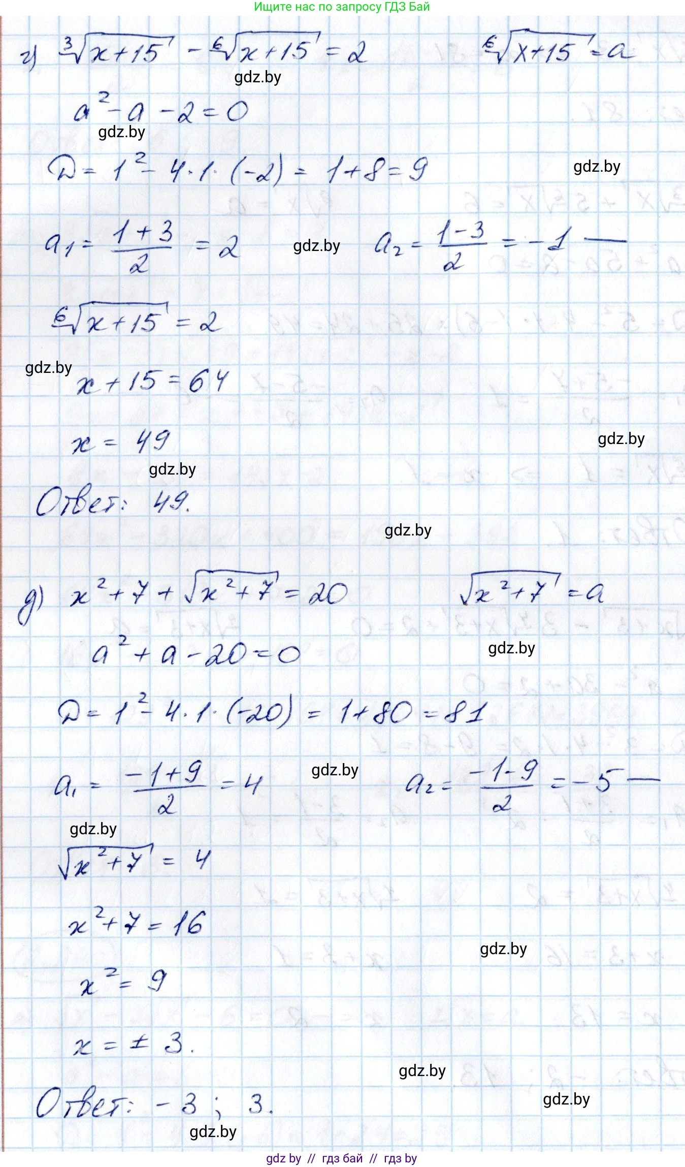
г) $\sqrt[3]{x+15} - \sqrt[6]{x+15} = 2$

ОДЗ: $x+15 \ge 0$, то есть $x \ge -15$.

Заметим, что $\sqrt[3]{x+15} = (\sqrt[6]{x+15})^2$. Сделаем замену: $t = \sqrt[6]{x+15}$. Условие для $t$: $t \ge 0$.

Подставляем в уравнение:

$t^2 - t = 2$

$t^2 - t - 2 = 0$

По теореме Виета, сумма корней равна 1, произведение равно -2. Корни: $t_1 = 2$ и $t_2 = -1$.

Проверяем корни по условию $t \ge 0$:

$t_1 = 2$ подходит.

$t_2 = -1$ не подходит.

Выполняем обратную замену для $t=2$:

$\sqrt[6]{x+15} = 2$

$x+15 = 2^6 = 64$

$x = 64 - 15 = 49$

Значение $x=49$ удовлетворяет ОДЗ.
Проверка: $\sqrt[3]{49+15} - \sqrt[6]{49+15} = \sqrt[3]{64} - \sqrt[6]{64} = 4 - 2 = 2$. Верно.

Ответ: 49

д) $x^2 + 7 + \sqrt{x^2+7} = 20$

ОДЗ: $x^2+7 \ge 0$. Так как $x^2 \ge 0$ для любого $x$, то $x^2+7 \ge 7$, значит, выражение под корнем всегда положительно. ОДЗ: $x \in \mathbb{R}$.

Сделаем замену: пусть $t = \sqrt{x^2+7}$. Тогда $t^2 = x^2+7$.
Условие для $t$: так как $x^2+7 \ge 7$, то $t = \sqrt{x^2+7} \ge \sqrt{7}$.

Подставляем в уравнение:

$t^2 + t = 20$

$t^2 + t - 20 = 0$

По теореме Виета, сумма корней равна -1, произведение равно -20. Корни: $t_1 = 4$ и $t_2 = -5$.

Проверяем корни по условию $t \ge \sqrt{7}$:

$t_1 = 4$ подходит, так как $4 = \sqrt{16}$, а $\sqrt{16} > \sqrt{7}$.

$t_2 = -5$ не подходит, так как $-5 < \sqrt{7}$.

Выполняем обратную замену для $t=4$:

$\sqrt{x^2+7} = 4$

Возводим обе части в квадрат:

$x^2+7 = 16$

$x^2 = 9$

$x_1 = 3$, $x_2 = -3$

Проверка:
При $x=3$: $3^2+7+\sqrt{3^2+7} = 9+7+\sqrt{16} = 16+4=20$. Верно.
При $x=-3$: $(-3)^2+7+\sqrt{(-3)^2+7} = 9+7+\sqrt{16} = 16+4=20$. Верно.

Ответ: -3; 3

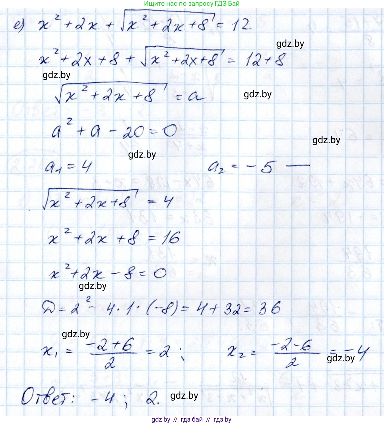
е) $x^2 + 2x + \sqrt{x^2+2x+8} = 12$

ОДЗ: $x^2+2x+8 \ge 0$. Найдем вершину параболы $y=x^2+2x+8$: $x_v = -b/(2a) = -2/2 = -1$. Минимальное значение выражения равно $y(-1) = (-1)^2+2(-1)+8 = 1-2+8 = 7$. Так как $x^2+2x+8 \ge 7$, выражение под корнем всегда положительно. ОДЗ: $x \in \mathbb{R}$.

Сделаем замену: пусть $t = \sqrt{x^2+2x+8}$. Тогда $t^2 = x^2+2x+8$, откуда $x^2+2x = t^2-8$.
Условие для $t$: так как $x^2+2x+8 \ge 7$, то $t = \sqrt{x^2+2x+8} \ge \sqrt{7}$.

Подставляем в уравнение:

$(t^2-8) + t = 12$

$t^2 + t - 20 = 0$

Это то же самое квадратное уравнение, что и в предыдущем пункте. Корни: $t_1 = 4$ и $t_2 = -5$.

Проверяем корни по условию $t \ge \sqrt{7}$:

$t_1 = 4$ подходит.

$t_2 = -5$ не подходит.

Выполняем обратную замену для $t=4$:

$\sqrt{x^2+2x+8} = 4$

Возводим обе части в квадрат:

$x^2+2x+8 = 16$

$x^2+2x-8 = 0$

По теореме Виета, сумма корней равна -2, произведение равно -8. Корни: $x_1 = 2$ и $x_2 = -4$.

Проверка:
При $x=2$: $2^2+2(2)+\sqrt{2^2+2(2)+8} = 4+4+\sqrt{4+4+8} = 8+\sqrt{16} = 8+4=12$. Верно.
При $x=-4$: $(-4)^2+2(-4)+\sqrt{(-4)^2+2(-4)+8} = 16-8+\sqrt{16-8+8} = 8+\sqrt{16} = 8+4=12$. Верно.

Ответ: -4; 2

Помогло решение? Оставьте отзыв в комментариях ниже.

Присоединяйтесь к Телеграм-группе @gdz_by_belarus

Присоединиться

Мы подготовили для вас ответ c подробным объяснением домашего задания по алгебре за 10 класс, для упражнения номер 2.260 расположенного на странице 213 к учебнику 2019 года издания для учащихся школ и гимназий.

Теперь на нашем сайте ГДЗ.ТОП вы всегда легко и бесплатно найдёте условие с правильным ответом на вопрос «Как решить ДЗ» и «Как сделать» задание по алгебре к упражнению №2.260 (с. 213), авторов: Арефьева (Ирина Глебовна), Пирютко (Ольга Николаевна), учебного пособия издательства Народная асвета.