Номер 2.267, страница 214 - гдз по алгебре 10 класс учебник Арефьева, Пирютко

Алгебра, 10 класс Учебник, авторы: Арефьева Ирина Глебовна, Пирютко Ольга Николаевна, издательство Народная асвета, Минск, 2019, голубого цвета

Авторы: Арефьева И. Г., Пирютко О. Н.

Тип: Учебник

Издательство: Народная асвета

Год издания: 2019 - 2026

Цвет обложки: голубой с графиком

Допущено Министерством образования Республики Беларусь

Популярные ГДЗ в 10 классе

Глава 2. Корень n-й степени из числа. Параграф 17. Иррациональные уравнения - номер 2.267, страница 214.

№2.267 (с. 214)
Условие. №2.267 (с. 214)
скриншот условия
Алгебра, 10 класс Учебник, авторы: Арефьева Ирина Глебовна, Пирютко Ольга Николаевна, издательство Народная асвета, Минск, 2019, голубого цвета, страница 214, номер 2.267, Условие

2.267. Решите уравнение:

а) $\sqrt{x-2}=8-x$;

б) $\sqrt{x-3}=x-3$;

в) $\sqrt{x-2}+4=x$;

Г) $\sqrt{5-4x}+5=4x$;

Д) $x-1=\sqrt{x+5}$;

е) $\sqrt{8-x}=-12-x$.

Решение. №2.267 (с. 214)
Алгебра, 10 класс Учебник, авторы: Арефьева Ирина Глебовна, Пирютко Ольга Николаевна, издательство Народная асвета, Минск, 2019, голубого цвета, страница 214, номер 2.267, Решение Алгебра, 10 класс Учебник, авторы: Арефьева Ирина Глебовна, Пирютко Ольга Николаевна, издательство Народная асвета, Минск, 2019, голубого цвета, страница 214, номер 2.267, Решение (продолжение 2)
Решение 2. №2.267 (с. 214)

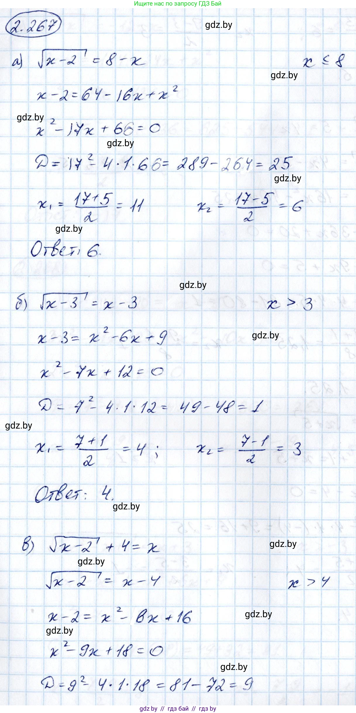
а) Решим уравнение $\sqrt{x-2} = 8 - x$.

Сначала определим область допустимых значений (ОДЗ). Выражение под корнем должно быть неотрицательным, и правая часть уравнения также должна быть неотрицательной, так как арифметический квадратный корень не может быть отрицательным.

1. $x - 2 \ge 0 \implies x \ge 2$
2. $8 - x \ge 0 \implies x \le 8$

Следовательно, ОДЗ: $2 \le x \le 8$.

Возведем обе части уравнения в квадрат, чтобы избавиться от корня:

$(\sqrt{x-2})^2 = (8-x)^2$

$x - 2 = 64 - 16x + x^2$

Приведем уравнение к стандартному квадратному виду $ax^2+bx+c=0$:

$x^2 - 16x - x + 64 + 2 = 0$

$x^2 - 17x + 66 = 0$

Решим полученное квадратное уравнение с помощью дискриминанта $D = b^2 - 4ac$:

$D = (-17)^2 - 4 \cdot 1 \cdot 66 = 289 - 264 = 25$

Корни уравнения:

$x_1 = \frac{-(-17) + \sqrt{25}}{2 \cdot 1} = \frac{17 + 5}{2} = \frac{22}{2} = 11$

$x_2 = \frac{-(-17) - \sqrt{25}}{2 \cdot 1} = \frac{17 - 5}{2} = \frac{12}{2} = 6$

Теперь проверим найденные корни на соответствие ОДЗ ($2 \le x \le 8$).

Корень $x_1 = 11$ не входит в ОДЗ, так как $11 > 8$. Это посторонний корень.

Корень $x_2 = 6$ входит в ОДЗ, так как $2 \le 6 \le 8$.

Выполним проверку для $x=6$:
$\sqrt{6-2} = \sqrt{4} = 2$
$8-6=2$
$2 = 2$. Верно.

Ответ: 6.

б) Решим уравнение $\sqrt{x-3} = x - 3$.

ОДЗ: $x-3 \ge 0 \implies x \ge 3$.

Заметим, что обе части уравнения одинаковы. Пусть $t = x-3$. Тогда уравнение примет вид $\sqrt{t} = t$. Возведем в квадрат обе части ($t \ge 0$):

$t = t^2$

$t^2 - t = 0$

$t(t-1) = 0$

Отсюда $t_1 = 0$ или $t_2 = 1$.

Вернемся к исходной переменной:

1. $x-3 = 0 \implies x_1 = 3$

2. $x-3 = 1 \implies x_2 = 4$

Оба корня удовлетворяют ОДЗ ($x \ge 3$).

Проверка:
Для $x=3$: $\sqrt{3-3} = 0$, $3-3=0$. $0=0$. Верно.
Для $x=4$: $\sqrt{4-3} = \sqrt{1} = 1$, $4-3=1$. $1=1$. Верно.

Ответ: 3, 4.

в) Решим уравнение $\sqrt{x-2} + 4 = x$.

Изолируем корень:

$\sqrt{x-2} = x - 4$

ОДЗ:

1. $x-2 \ge 0 \implies x \ge 2$

2. $x-4 \ge 0 \implies x \ge 4$

Общее ОДЗ: $x \ge 4$.

Возведем в квадрат обе части:

$x-2 = (x-4)^2$

$x-2 = x^2 - 8x + 16$

$x^2 - 9x + 18 = 0$

По теореме Виета, сумма корней равна 9, а произведение 18. Корни: $x_1=3, x_2=6$.

Проверим корни по ОДЗ ($x \ge 4$).

$x_1=3$ не удовлетворяет ОДЗ ($3 < 4$), посторонний корень.

$x_2=6$ удовлетворяет ОДЗ.

Проверка для $x=6$:
$\sqrt{6-2}+4 = \sqrt{4}+4 = 2+4 = 6$
Правая часть: $x=6$.
$6=6$. Верно.

Ответ: 6.

г) Решим уравнение $\sqrt{5-4x} + 5 = 4x$.

Изолируем корень:

$\sqrt{5-4x} = 4x - 5$

ОДЗ:

1. $5-4x \ge 0 \implies 5 \ge 4x \implies x \le \frac{5}{4}$

2. $4x-5 \ge 0 \implies 4x \ge 5 \implies x \ge \frac{5}{4}$

Оба условия могут выполняться одновременно только если $x = \frac{5}{4}$.

Проверим, является ли это значение решением, подставив его в исходное уравнение:

$\sqrt{5 - 4(\frac{5}{4})} + 5 = 4(\frac{5}{4})$

$\sqrt{5-5} + 5 = 5$

$\sqrt{0} + 5 = 5$

$5 = 5$. Верно.

Таким образом, $x = \frac{5}{4}$ является единственным решением.

Ответ: $1\frac{1}{4}$.

д) Решим уравнение $x-1 = \sqrt{x+5}$.

Перепишем для удобства: $\sqrt{x+5} = x-1$.

ОДЗ:

1. $x+5 \ge 0 \implies x \ge -5$

2. $x-1 \ge 0 \implies x \ge 1$

Общее ОДЗ: $x \ge 1$.

Возведем обе части в квадрат:

$x+5 = (x-1)^2$

$x+5 = x^2 - 2x + 1$

$x^2 - 3x - 4 = 0$

По теореме Виета, сумма корней равна 3, произведение -4. Корни: $x_1=4, x_2=-1$.

Проверим корни по ОДЗ ($x \ge 1$).

$x_1=4$ удовлетворяет ОДЗ.

$x_2=-1$ не удовлетворяет ОДЗ ($-1 < 1$), посторонний корень.

Проверка для $x=4$:
$4-1 = 3$
$\sqrt{4+5} = \sqrt{9} = 3$
$3=3$. Верно.

Ответ: 4.

е) Решим уравнение $\sqrt{8-x} = -12 - x$.

ОДЗ:

1. $8-x \ge 0 \implies x \le 8$

2. $-12-x \ge 0 \implies -x \ge 12 \implies x \le -12$

Общее ОДЗ: $x \le -12$.

Возведем обе части в квадрат:

$8-x = (-12-x)^2$

$8-x = (-(12+x))^2 = (12+x)^2$

$8-x = 144 + 24x + x^2$

$x^2 + 25x + 136 = 0$

Решим квадратное уравнение. $D = 25^2 - 4 \cdot 1 \cdot 136 = 625 - 544 = 81$.

$x_1 = \frac{-25 + \sqrt{81}}{2} = \frac{-25+9}{2} = \frac{-16}{2} = -8$

$x_2 = \frac{-25 - \sqrt{81}}{2} = \frac{-25-9}{2} = \frac{-34}{2} = -17$

Проверим корни по ОДЗ ($x \le -12$).

$x_1=-8$ не удовлетворяет ОДЗ ($-8 > -12$), посторонний корень.

$x_2=-17$ удовлетворяет ОДЗ.

Проверка для $x=-17$:
$\sqrt{8-(-17)} = \sqrt{8+17} = \sqrt{25} = 5$
$-12 - (-17) = -12 + 17 = 5$
$5=5$. Верно.

Ответ: -17.

Помогло решение? Оставьте отзыв в комментариях ниже.

Присоединяйтесь к Телеграм-группе @gdz_by_belarus

Присоединиться

Мы подготовили для вас ответ c подробным объяснением домашего задания по алгебре за 10 класс, для упражнения номер 2.267 расположенного на странице 214 к учебнику 2019 года издания для учащихся школ и гимназий.

Теперь на нашем сайте ГДЗ.ТОП вы всегда легко и бесплатно найдёте условие с правильным ответом на вопрос «Как решить ДЗ» и «Как сделать» задание по алгебре к упражнению №2.267 (с. 214), авторов: Арефьева (Ирина Глебовна), Пирютко (Ольга Николаевна), учебного пособия издательства Народная асвета.