Номер 2.271, страница 214 - гдз по алгебре 10 класс учебник Арефьева, Пирютко

Алгебра, 10 класс Учебник, авторы: Арефьева Ирина Глебовна, Пирютко Ольга Николаевна, издательство Народная асвета, Минск, 2019, голубого цвета

Авторы: Арефьева И. Г., Пирютко О. Н.

Тип: Учебник

Издательство: Народная асвета

Год издания: 2019 - 2026

Цвет обложки: голубой с графиком

Допущено Министерством образования Республики Беларусь

Популярные ГДЗ в 10 классе

Глава 2. Корень n-й степени из числа. Параграф 17. Иррациональные уравнения - номер 2.271, страница 214.

№2.271 (с. 214)
Условие. №2.271 (с. 214)
скриншот условия
Алгебра, 10 класс Учебник, авторы: Арефьева Ирина Глебовна, Пирютко Ольга Николаевна, издательство Народная асвета, Минск, 2019, голубого цвета, страница 214, номер 2.271, Условие

2.271. Решите уравнение:

а) $\sqrt{2x-1} = \sqrt{x-3};$

б) $\sqrt[5]{7-2x} = \sqrt[5]{x+3};$

в) $\sqrt[4]{2x+7} = 3\sqrt[4]{x+1};$

г) $\sqrt{x^2-16} - \sqrt{14+x} = 0;$

д) $\sqrt{x^2-5x+1} = \sqrt{x-4};$

е) $\sqrt[6]{x^2+x-3} = \sqrt[6]{1-2x}.$

Решение. №2.271 (с. 214)
Алгебра, 10 класс Учебник, авторы: Арефьева Ирина Глебовна, Пирютко Ольга Николаевна, издательство Народная асвета, Минск, 2019, голубого цвета, страница 214, номер 2.271, Решение Алгебра, 10 класс Учебник, авторы: Арефьева Ирина Глебовна, Пирютко Ольга Николаевна, издательство Народная асвета, Минск, 2019, голубого цвета, страница 214, номер 2.271, Решение (продолжение 2)
Решение 2. №2.271 (с. 214)

а) Дано уравнение $\sqrt{2x - 1} = \sqrt{x - 3}$.
Поскольку корни четной (второй) степени, подкоренные выражения должны быть неотрицательными. Найдем область допустимых значений (ОДЗ):
$\begin{cases} 2x - 1 \ge 0 \\ x - 3 \ge 0 \end{cases} \implies \begin{cases} x \ge \frac{1}{2} \\ x \ge 3 \end{cases} \implies x \ge 3$.
Возведем обе части уравнения в квадрат, чтобы избавиться от корней:
$(\sqrt{2x - 1})^2 = (\sqrt{x - 3})^2$
$2x - 1 = x - 3$
$2x - x = -3 + 1$
$x = -2$
Проверим, удовлетворяет ли найденный корень ОДЗ. Так как $-2 < 3$, корень $x=-2$ не входит в ОДЗ и является посторонним.
Ответ: корней нет.

б) Дано уравнение $\sqrt[5]{7 - 2x} = \sqrt[5]{x + 3}$.
Поскольку корни нечетной (пятой) степени, подкоренные выражения могут быть любыми действительными числами. ОДЗ: $x \in \mathbb{R}$.
Возведем обе части уравнения в пятую степень:
$(\sqrt[5]{7 - 2x})^5 = (\sqrt[5]{x + 3})^5$
$7 - 2x = x + 3$
$7 - 3 = x + 2x$
$4 = 3x$
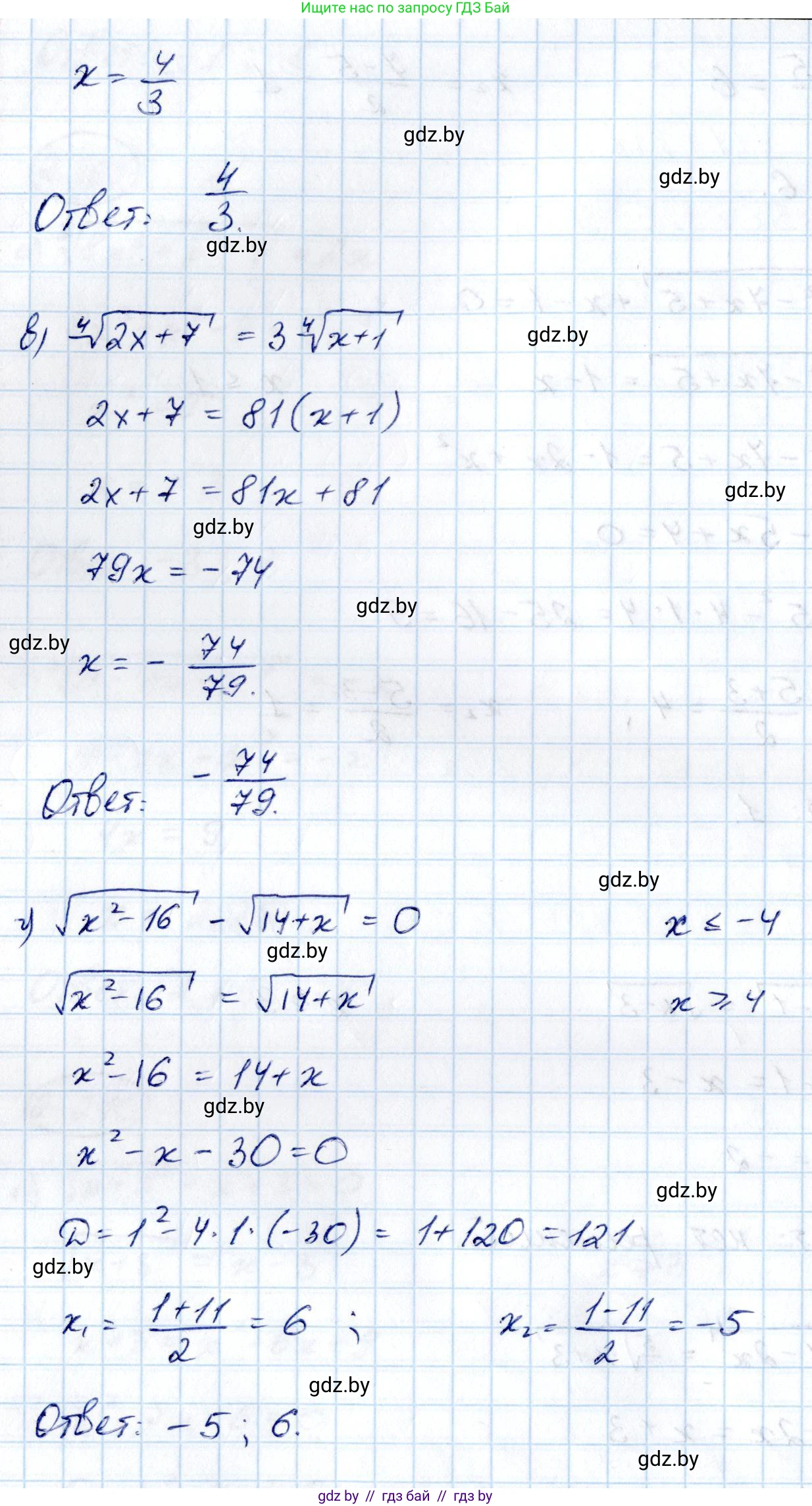
$x = \frac{4}{3}$
Ответ: $1\frac{1}{3}$.

в) Дано уравнение $\sqrt[4]{2x + 7} = 3\sqrt[4]{x + 1}$.
Найдем ОДЗ, так как корни четной (четвертой) степени:
$\begin{cases} 2x + 7 \ge 0 \\ x + 1 \ge 0 \end{cases} \implies \begin{cases} x \ge -3.5 \\ x \ge -1 \end{cases} \implies x \ge -1$.
Возведем обе части уравнения в четвертую степень:
$(\sqrt[4]{2x + 7})^4 = (3\sqrt[4]{x + 1})^4$
$2x + 7 = 3^4 (x + 1)$
$2x + 7 = 81(x + 1)$
$2x + 7 = 81x + 81$
$7 - 81 = 81x - 2x$
$-74 = 79x$
$x = -\frac{74}{79}$
Проверим ОДЗ. Так как $-1 < -\frac{74}{79} < 0$, корень удовлетворяет условию $x \ge -1$.
Ответ: $-\frac{74}{79}$.

г) Дано уравнение $\sqrt{x^2 - 16} - \sqrt{14 + x} = 0$.
Перепишем уравнение в виде $\sqrt{x^2 - 16} = \sqrt{14 + x}$.
Найдем ОДЗ:
$\begin{cases} x^2 - 16 \ge 0 \\ 14 + x \ge 0 \end{cases} \implies \begin{cases} (x-4)(x+4) \ge 0 \\ x \ge -14 \end{cases} \implies \begin{cases} x \in (-\infty, -4] \cup [4, \infty) \\ x \ge -14 \end{cases}$.
Объединяя условия, получаем ОДЗ: $x \in [-14, -4] \cup [4, \infty)$.
Возведем обе части в квадрат:
$x^2 - 16 = 14 + x$
$x^2 - x - 30 = 0$
Решим квадратное уравнение с помощью дискриминанта:
$D = b^2 - 4ac = (-1)^2 - 4 \cdot 1 \cdot (-30) = 1 + 120 = 121 = 11^2$
$x_1 = \frac{1 - 11}{2 \cdot 1} = \frac{-10}{2} = -5$
$x_2 = \frac{1 + 11}{2 \cdot 1} = \frac{12}{2} = 6$
Проверим корни по ОДЗ.
$x_1 = -5$: $-5 \in [-14, -4]$, корень подходит.
$x_2 = 6$: $6 \in [4, \infty)$, корень подходит.
Ответ: -5; 6.

д) Дано уравнение $\sqrt{x^2 - 5x + 1} = \sqrt{x - 4}$.
Уравнение равносильно системе:
$\begin{cases} x - 4 \ge 0 \\ x^2 - 5x + 1 = x - 4 \end{cases}$
Из первого неравенства получаем ОДЗ: $x \ge 4$.
Решим второе уравнение:
$x^2 - 5x - x + 1 + 4 = 0$
$x^2 - 6x + 5 = 0$
По теореме Виета, корни уравнения: $x_1 = 1$ и $x_2 = 5$.
Проверим корни по ОДЗ $x \ge 4$.
$x_1 = 1$ не удовлетворяет ОДЗ, так как $1 < 4$.
$x_2 = 5$ удовлетворяет ОДЗ, так как $5 \ge 4$.
Ответ: 5.

е) Дано уравнение $\sqrt[6]{x^2 + x - 3} = \sqrt[6]{1 - 2x}$.
Уравнение равносильно системе:
$\begin{cases} 1 - 2x \ge 0 \\ x^2 + x - 3 = 1 - 2x \end{cases}$
Из первого неравенства получаем ОДЗ: $1 \ge 2x \implies x \le \frac{1}{2}$.
Решим второе уравнение:
$x^2 + x + 2x - 3 - 1 = 0$
$x^2 + 3x - 4 = 0$
По теореме Виета, корни уравнения: $x_1 = 1$ и $x_2 = -4$.
Проверим корни по ОДЗ $x \le \frac{1}{2}$.
$x_1 = 1$ не удовлетворяет ОДЗ, так как $1 > \frac{1}{2}$.
$x_2 = -4$ удовлетворяет ОДЗ, так как $-4 \le \frac{1}{2}$.
Ответ: -4.

Помогло решение? Оставьте отзыв в комментариях ниже.

Присоединяйтесь к Телеграм-группе @gdz_by_belarus

Присоединиться

Мы подготовили для вас ответ c подробным объяснением домашего задания по алгебре за 10 класс, для упражнения номер 2.271 расположенного на странице 214 к учебнику 2019 года издания для учащихся школ и гимназий.

Теперь на нашем сайте ГДЗ.ТОП вы всегда легко и бесплатно найдёте условие с правильным ответом на вопрос «Как решить ДЗ» и «Как сделать» задание по алгебре к упражнению №2.271 (с. 214), авторов: Арефьева (Ирина Глебовна), Пирютко (Ольга Николаевна), учебного пособия издательства Народная асвета.