Номер 2.273, страница 215 - гдз по алгебре 10 класс учебник Арефьева, Пирютко

Алгебра, 10 класс Учебник, авторы: Арефьева Ирина Глебовна, Пирютко Ольга Николаевна, издательство Народная асвета, Минск, 2019, голубого цвета

Авторы: Арефьева И. Г., Пирютко О. Н.

Тип: Учебник

Издательство: Народная асвета

Год издания: 2019 - 2026

Цвет обложки: голубой с графиком

Допущено Министерством образования Республики Беларусь

Популярные ГДЗ в 10 классе

Глава 2. Корень n-й степени из числа. Параграф 17. Иррациональные уравнения - номер 2.273, страница 215.

№2.273 (с. 215)
Условие. №2.273 (с. 215)
скриншот условия
Алгебра, 10 класс Учебник, авторы: Арефьева Ирина Глебовна, Пирютко Ольга Николаевна, издательство Народная асвета, Минск, 2019, голубого цвета, страница 215, номер 2.273, Условие

2.273. Найдите корни уравнения:

а) $\sqrt{x+5} - \sqrt{x} = 1;$

б) $\sqrt{x+2} - \sqrt{2x-3} = 1;$

в) $2\sqrt{3x+2} - \sqrt{6x} = 2;$

г) $\sqrt{2x-1} - \sqrt{x-1} = 1.$

Решение. №2.273 (с. 215)
Алгебра, 10 класс Учебник, авторы: Арефьева Ирина Глебовна, Пирютко Ольга Николаевна, издательство Народная асвета, Минск, 2019, голубого цвета, страница 215, номер 2.273, Решение Алгебра, 10 класс Учебник, авторы: Арефьева Ирина Глебовна, Пирютко Ольга Николаевна, издательство Народная асвета, Минск, 2019, голубого цвета, страница 215, номер 2.273, Решение (продолжение 2)
Решение 2. №2.273 (с. 215)
а) $\sqrt{x+5} - \sqrt{x} = 1$

Найдем область допустимых значений (ОДЗ). Выражения под знаком корня должны быть неотрицательными:
$x+5 \ge 0 \implies x \ge -5$
$x \ge 0$
Объединяя эти два условия, получаем ОДЗ: $x \ge 0$.

Перенесем один из радикалов в правую часть уравнения для удобства возведения в квадрат:
$\sqrt{x+5} = 1 + \sqrt{x}$

Возведем обе части уравнения в квадрат:
$(\sqrt{x+5})^2 = (1 + \sqrt{x})^2$
$x+5 = 1^2 + 2 \cdot 1 \cdot \sqrt{x} + (\sqrt{x})^2$
$x+5 = 1 + 2\sqrt{x} + x$

Приведем подобные слагаемые и выразим оставшийся радикал:
$x - x + 5 - 1 = 2\sqrt{x}$
$4 = 2\sqrt{x}$
$\sqrt{x} = 2$

Снова возведем обе части в квадрат:
$(\sqrt{x})^2 = 2^2$
$x = 4$

Проверим, принадлежит ли найденный корень ОДЗ.
$4 \ge 0$, условие выполняется.
Выполним проверку, подставив $x=4$ в исходное уравнение:
$\sqrt{4+5} - \sqrt{4} = \sqrt{9} - 2 = 3 - 2 = 1$
$1 = 1$
Равенство верное, значит, корень найден правильно.

Ответ: 4.

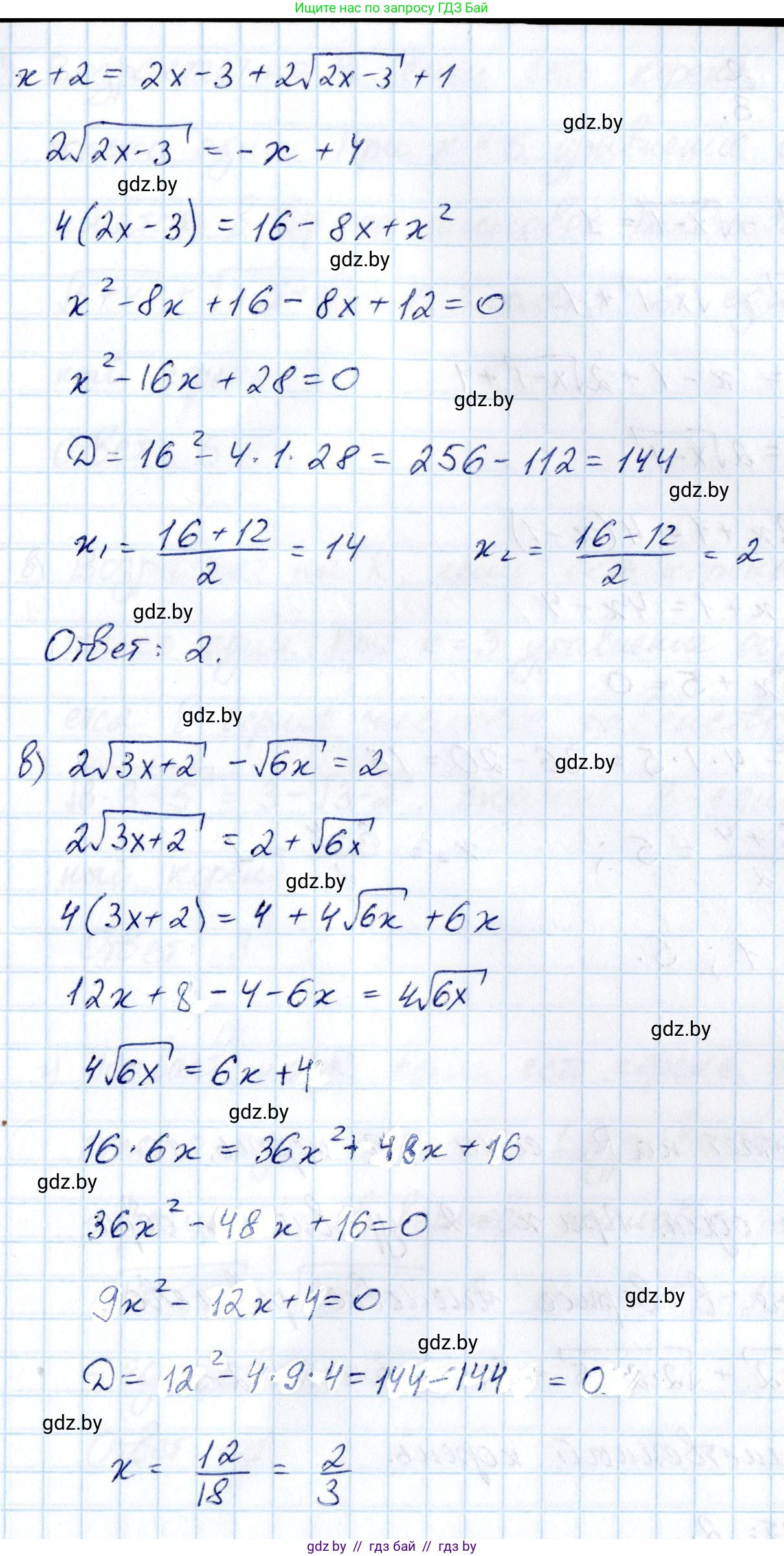
б) $\sqrt{x+2} - \sqrt{2x-3} = 1$

Найдем ОДЗ:
$x+2 \ge 0 \implies x \ge -2$
$2x-3 \ge 0 \implies 2x \ge 3 \implies x \ge 1.5$
ОДЗ: $x \ge 1.5$.

Уединим один из радикалов:
$\sqrt{x+2} = 1 + \sqrt{2x-3}$

Возведем обе части в квадрат:
$(\sqrt{x+2})^2 = (1 + \sqrt{2x-3})^2$
$x+2 = 1 + 2\sqrt{2x-3} + (2x-3)$
$x+2 = 2x - 2 + 2\sqrt{2x-3}$

Выразим оставшийся радикал:
$x+2 - 2x + 2 = 2\sqrt{2x-3}$
$4 - x = 2\sqrt{2x-3}$

Прежде чем снова возводить в квадрат, заметим, что правая часть $2\sqrt{2x-3}$ неотрицательна. Следовательно, и левая часть должна быть неотрицательной: $4-x \ge 0 \implies x \le 4$.
С учетом ОДЗ, получаем ограничение на корень: $1.5 \le x \le 4$.

Возведем обе части уравнения $4 - x = 2\sqrt{2x-3}$ в квадрат:
$(4-x)^2 = (2\sqrt{2x-3})^2$
$16 - 8x + x^2 = 4(2x-3)$
$x^2 - 8x + 16 = 8x - 12$
$x^2 - 16x + 28 = 0$

Решим квадратное уравнение. Дискриминант $D = b^2 - 4ac = (-16)^2 - 4 \cdot 1 \cdot 28 = 256 - 112 = 144 = 12^2$.
$x_1 = \frac{16 - 12}{2} = \frac{4}{2} = 2$
$x_2 = \frac{16 + 12}{2} = \frac{28}{2} = 14$

Проверим корни с учетом ограничения $1.5 \le x \le 4$.
$x_1 = 2$ удовлетворяет условию.
$x_2 = 14$ не удовлетворяет условию ($14 > 4$), поэтому является посторонним корнем.
Проверка для $x=2$: $\sqrt{2+2} - \sqrt{2 \cdot 2 - 3} = \sqrt{4} - \sqrt{1} = 2 - 1 = 1$. Верно.

Ответ: 2.

в) $2\sqrt{3x+2} - \sqrt{6x} = 2$

Найдем ОДЗ:
$3x+2 \ge 0 \implies x \ge -2/3$
$6x \ge 0 \implies x \ge 0$
ОДЗ: $x \ge 0$.

Уединим радикал:
$2\sqrt{3x+2} = 2 + \sqrt{6x}$

Возведем в квадрат обе части:
$(2\sqrt{3x+2})^2 = (2 + \sqrt{6x})^2$
$4(3x+2) = 4 + 4\sqrt{6x} + 6x$
$12x + 8 = 4 + 4\sqrt{6x} + 6x$

Выразим оставшийся радикал:
$12x - 6x + 8 - 4 = 4\sqrt{6x}$
$6x + 4 = 4\sqrt{6x}$
Разделим на 2:
$3x + 2 = 2\sqrt{6x}$

Снова возведем в квадрат (обе части неотрицательны при $x \ge 0$):
$(3x+2)^2 = (2\sqrt{6x})^2$
$9x^2 + 12x + 4 = 4 \cdot 6x$
$9x^2 + 12x + 4 = 24x$
$9x^2 - 12x + 4 = 0$

Это полный квадрат: $(3x-2)^2 = 0$.
$3x-2 = 0$
$3x = 2$
$x = \frac{2}{3}$

Корень $x = \frac{2}{3}$ удовлетворяет ОДЗ ($x \ge 0$).
Проверка: $2\sqrt{3(\frac{2}{3})+2} - \sqrt{6(\frac{2}{3})} = 2\sqrt{2+2} - \sqrt{4} = 2\sqrt{4} - 2 = 2 \cdot 2 - 2 = 4-2=2$. Верно.

Ответ: $\frac{2}{3}$.

г) $\sqrt{2x-1} - \sqrt{x-1} = 1$

Найдем ОДЗ:
$2x-1 \ge 0 \implies x \ge 0.5$
$x-1 \ge 0 \implies x \ge 1$
ОДЗ: $x \ge 1$.

Уединим радикал:
$\sqrt{2x-1} = 1 + \sqrt{x-1}$

Возведем обе части в квадрат:
$(\sqrt{2x-1})^2 = (1 + \sqrt{x-1})^2$
$2x-1 = 1 + 2\sqrt{x-1} + (x-1)$
$2x-1 = x + 2\sqrt{x-1}$

Выразим оставшийся радикал:
$2x - x - 1 = 2\sqrt{x-1}$
$x-1 = 2\sqrt{x-1}$

Возведем обе части в квадрат. При $x \ge 1$ обе части неотрицательны.
$(x-1)^2 = (2\sqrt{x-1})^2$
$(x-1)^2 = 4(x-1)$

Перенесем все в левую часть и вынесем общий множитель:
$(x-1)^2 - 4(x-1) = 0$
$(x-1)( (x-1) - 4 ) = 0$
$(x-1)(x-5) = 0$
Отсюда получаем два возможных корня:
$x-1 = 0 \implies x_1 = 1$
$x-5 = 0 \implies x_2 = 5$

Оба корня ($1$ и $5$) удовлетворяют ОДЗ ($x \ge 1$).
Проверим оба корня.
Для $x=1$: $\sqrt{2(1)-1} - \sqrt{1-1} = \sqrt{1} - \sqrt{0} = 1 - 0 = 1$. Верно.
Для $x=5$: $\sqrt{2(5)-1} - \sqrt{5-1} = \sqrt{9} - \sqrt{4} = 3 - 2 = 1$. Верно.

Ответ: 1, 5.

Помогло решение? Оставьте отзыв в комментариях ниже.

Присоединяйтесь к Телеграм-группе @gdz_by_belarus

Присоединиться

Мы подготовили для вас ответ c подробным объяснением домашего задания по алгебре за 10 класс, для упражнения номер 2.273 расположенного на странице 215 к учебнику 2019 года издания для учащихся школ и гимназий.

Теперь на нашем сайте ГДЗ.ТОП вы всегда легко и бесплатно найдёте условие с правильным ответом на вопрос «Как решить ДЗ» и «Как сделать» задание по алгебре к упражнению №2.273 (с. 215), авторов: Арефьева (Ирина Глебовна), Пирютко (Ольга Николаевна), учебного пособия издательства Народная асвета.