Номер 2.278, страница 215 - гдз по алгебре 10 класс учебник Арефьева, Пирютко

Алгебра, 10 класс Учебник, авторы: Арефьева Ирина Глебовна, Пирютко Ольга Николаевна, издательство Народная асвета, Минск, 2019, голубого цвета

Авторы: Арефьева И. Г., Пирютко О. Н.

Тип: Учебник

Издательство: Народная асвета

Год издания: 2019 - 2026

Цвет обложки: голубой с графиком

Допущено Министерством образования Республики Беларусь

Популярные ГДЗ в 10 классе

Глава 2. Корень n-й степени из числа. Параграф 17. Иррациональные уравнения - номер 2.278, страница 215.

№2.278 (с. 215)
Условие. №2.278 (с. 215)
скриншот условия
Алгебра, 10 класс Учебник, авторы: Арефьева Ирина Глебовна, Пирютко Ольга Николаевна, издательство Народная асвета, Минск, 2019, голубого цвета, страница 215, номер 2.278, Условие

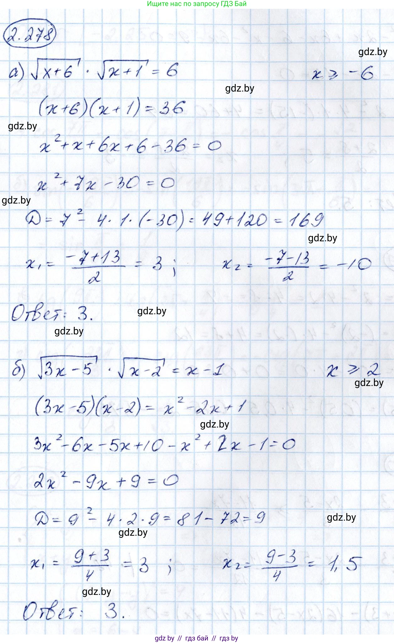
2.278. Решите уравнение:

a) $\sqrt{x + 6} \cdot \sqrt{x + 1} = 6;$

б) $\sqrt{3x - 5} \cdot \sqrt{x - 2} = x - 1;$

В) $\frac{x + 3}{\sqrt{x - 1}} = \sqrt{2x + 6}.$

Решение. №2.278 (с. 215)
Алгебра, 10 класс Учебник, авторы: Арефьева Ирина Глебовна, Пирютко Ольга Николаевна, издательство Народная асвета, Минск, 2019, голубого цвета, страница 215, номер 2.278, Решение Алгебра, 10 класс Учебник, авторы: Арефьева Ирина Глебовна, Пирютко Ольга Николаевна, издательство Народная асвета, Минск, 2019, голубого цвета, страница 215, номер 2.278, Решение (продолжение 2)
Решение 2. №2.278 (с. 215)

а) Решение уравнения $\sqrt{x+6} \cdot \sqrt{x+1} = 6$

1. Найдем область допустимых значений (ОДЗ). Выражения под знаком квадратного корня должны быть неотрицательными:

$\begin{cases} x+6 \ge 0 \\ x+1 \ge 0 \end{cases} \implies \begin{cases} x \ge -6 \\ x \ge -1 \end{cases}$

Объединяя условия, получаем ОДЗ: $x \ge -1$.

2. Используем свойство корней $\sqrt{a} \cdot \sqrt{b} = \sqrt{ab}$ для $a \ge 0, b \ge 0$:

$\sqrt{(x+6)(x+1)} = 6$

3. Возведем обе части уравнения в квадрат, чтобы избавиться от корня:

$(x+6)(x+1) = 6^2$

$x^2 + x + 6x + 6 = 36$

4. Приведем уравнение к стандартному квадратному виду $ax^2+bx+c=0$:

$x^2 + 7x + 6 - 36 = 0$

$x^2 + 7x - 30 = 0$

5. Решим полученное квадратное уравнение. По теореме Виета, сумма корней равна $-7$, а их произведение равно $-30$. Подбираем корни:

$x_1 = 3$

$x_2 = -10$

6. Проверим, принадлежат ли найденные корни ОДЗ ($x \ge -1$):

  • Корень $x_1 = 3$ удовлетворяет условию $3 \ge -1$, значит, является решением уравнения.
  • Корень $x_2 = -10$ не удовлетворяет условию $-10 < -1$, значит, это посторонний корень.

Ответ: 3

б) Решение уравнения $\sqrt{3x-5} \cdot \sqrt{x-2} = x-1$

1. Найдем ОДЗ. Выражения под корнем должны быть неотрицательными, а правая часть уравнения (значение арифметического корня) также должна быть неотрицательной.

$\begin{cases} 3x-5 \ge 0 \\ x-2 \ge 0 \\ x-1 \ge 0 \end{cases} \implies \begin{cases} x \ge \frac{5}{3} \\ x \ge 2 \\ x \ge 1 \end{cases}$

Наиболее строгим условием является $x \ge 2$. ОДЗ: $x \ge 2$.

2. Возведем обе части уравнения в квадрат:

$(\sqrt{(3x-5)(x-2)})^2 = (x-1)^2$

$(3x-5)(x-2) = x^2 - 2x + 1$

3. Раскроем скобки и упростим:

$3x^2 - 6x - 5x + 10 = x^2 - 2x + 1$

$3x^2 - 11x + 10 = x^2 - 2x + 1$

4. Приведем к стандартному квадратному виду:

$3x^2 - x^2 - 11x + 2x + 10 - 1 = 0$

$2x^2 - 9x + 9 = 0$

5. Решим квадратное уравнение через дискриминант:

$D = b^2 - 4ac = (-9)^2 - 4 \cdot 2 \cdot 9 = 81 - 72 = 9$

$x_{1,2} = \frac{-b \pm \sqrt{D}}{2a} = \frac{9 \pm 3}{4}$

$x_1 = \frac{9+3}{4} = \frac{12}{4} = 3$

$x_2 = \frac{9-3}{4} = \frac{6}{4} = \frac{3}{2}$

6. Проверим корни на соответствие ОДЗ ($x \ge 2$):

  • Корень $x_1 = 3$ удовлетворяет условию $3 \ge 2$.
  • Корень $x_2 = \frac{3}{2} = 1.5$ не удовлетворяет условию $1.5 < 2$, это посторонний корень.

Ответ: 3

в) Решение уравнения $\frac{x+3}{\sqrt{x-1}} = \sqrt{2x+6}$

1. Найдем ОДЗ. Выражение под корнем в знаменателе должно быть строго положительным, а под корнем в правой части — неотрицательным.

$\begin{cases} x-1 > 0 \\ 2x+6 \ge 0 \end{cases} \implies \begin{cases} x > 1 \\ x \ge -3 \end{cases}$

Объединяя условия, получаем ОДЗ: $x > 1$.

2. Умножим обе части на $\sqrt{x-1}$ (это допустимо, т.к. на ОДЗ $x-1 > 0$):

$x+3 = \sqrt{2x+6} \cdot \sqrt{x-1}$

$x+3 = \sqrt{(2x+6)(x-1)}$

3. На ОДЗ ($x>1$) левая часть $x+3$ всегда положительна. Возведем обе части в квадрат:

$(x+3)^2 = (2x+6)(x-1)$

$x^2 + 6x + 9 = 2x^2 - 2x + 6x - 6$

$x^2 + 6x + 9 = 2x^2 + 4x - 6$

4. Перенесем все члены в одну сторону, чтобы получить квадратное уравнение:

$0 = 2x^2 - x^2 + 4x - 6x - 6 - 9$

$x^2 - 2x - 15 = 0$

5. Решим уравнение по теореме Виета: сумма корней равна $2$, произведение равно $-15$.

$x_1 = 5$

$x_2 = -3$

6. Проверим корни на соответствие ОДЗ ($x > 1$):

  • Корень $x_1 = 5$ удовлетворяет условию $5 > 1$.
  • Корень $x_2 = -3$ не удовлетворяет условию $-3 < 1$, это посторонний корень.

Ответ: 5

Помогло решение? Оставьте отзыв в комментариях ниже.

Присоединяйтесь к Телеграм-группе @gdz_by_belarus

Присоединиться

Мы подготовили для вас ответ c подробным объяснением домашего задания по алгебре за 10 класс, для упражнения номер 2.278 расположенного на странице 215 к учебнику 2019 года издания для учащихся школ и гимназий.

Теперь на нашем сайте ГДЗ.ТОП вы всегда легко и бесплатно найдёте условие с правильным ответом на вопрос «Как решить ДЗ» и «Как сделать» задание по алгебре к упражнению №2.278 (с. 215), авторов: Арефьева (Ирина Глебовна), Пирютко (Ольга Николаевна), учебного пособия издательства Народная асвета.