Номер 2.277, страница 215 - гдз по алгебре 10 класс учебник Арефьева, Пирютко

Алгебра, 10 класс Учебник, авторы: Арефьева Ирина Глебовна, Пирютко Ольга Николаевна, издательство Народная асвета, Минск, 2019, голубого цвета

Авторы: Арефьева И. Г., Пирютко О. Н.

Тип: Учебник

Издательство: Народная асвета

Год издания: 2019 - 2026

Цвет обложки: голубой с графиком

Допущено Министерством образования Республики Беларусь

Популярные ГДЗ в 10 классе

Глава 2. Корень n-й степени из числа. Параграф 17. Иррациональные уравнения - номер 2.277, страница 215.

№2.277 (с. 215)
Условие. №2.277 (с. 215)
скриншот условия
Алгебра, 10 класс Учебник, авторы: Арефьева Ирина Глебовна, Пирютко Ольга Николаевна, издательство Народная асвета, Минск, 2019, голубого цвета, страница 215, номер 2.277, Условие

2.277. Найдите корни уравнения:

а) $\sqrt{\frac{3x}{1-x}} + \sqrt{\frac{1-x}{3x}} = \frac{5}{2};$

б) $\sqrt[3]{\frac{x}{x-7}} + \sqrt[3]{\frac{x-7}{x}} = \frac{10}{3}.$

Решение. №2.277 (с. 215)
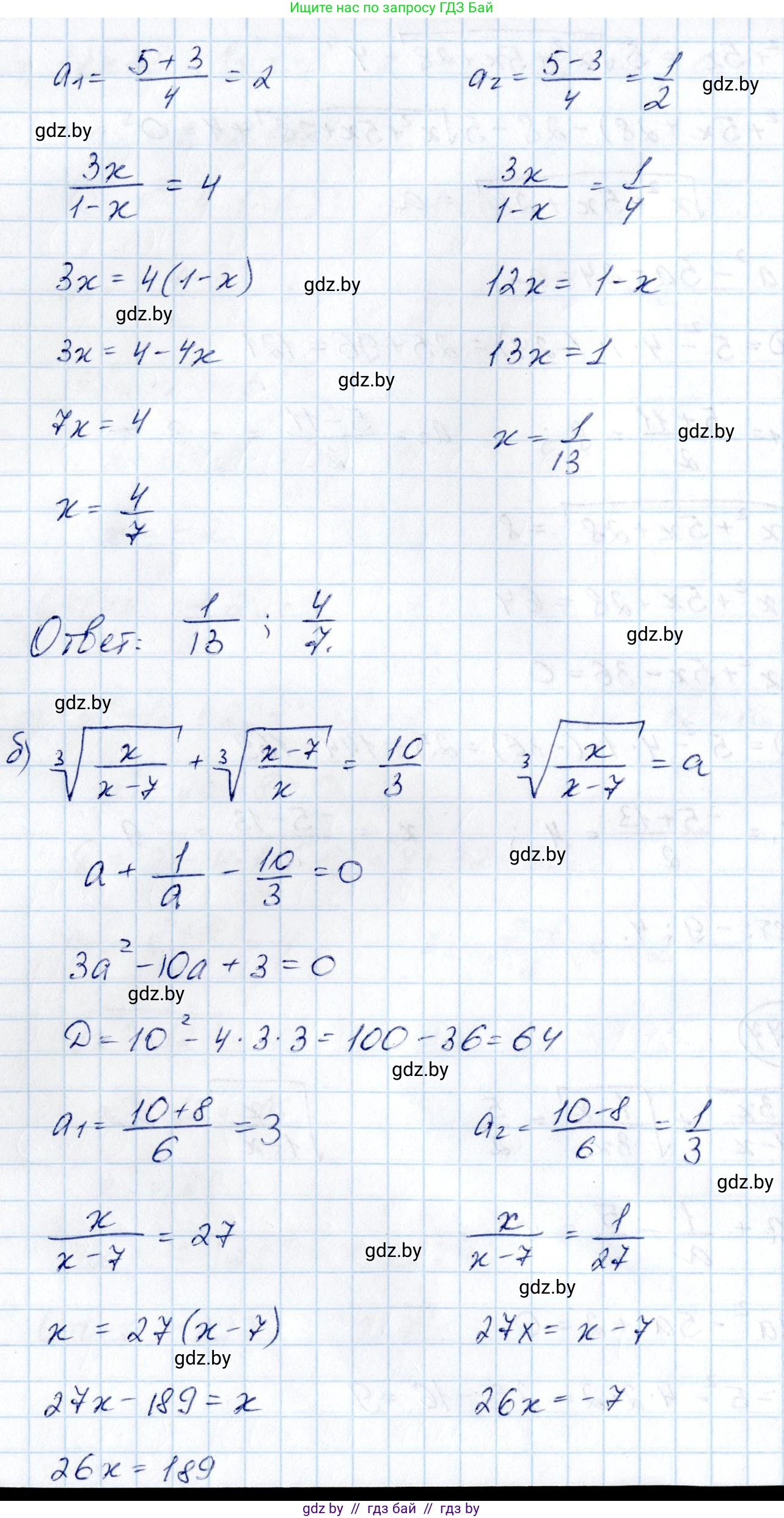
Алгебра, 10 класс Учебник, авторы: Арефьева Ирина Глебовна, Пирютко Ольга Николаевна, издательство Народная асвета, Минск, 2019, голубого цвета, страница 215, номер 2.277, Решение Алгебра, 10 класс Учебник, авторы: Арефьева Ирина Глебовна, Пирютко Ольга Николаевна, издательство Народная асвета, Минск, 2019, голубого цвета, страница 215, номер 2.277, Решение (продолжение 2)
Решение 2. №2.277 (с. 215)

а) Дано уравнение: $ \sqrt{\frac{3x}{1-x}} + \sqrt{\frac{1-x}{3x}} = \frac{5}{2} $.

Сначала определим область допустимых значений (ОДЗ). Выражение под квадратным корнем должно быть неотрицательным, а знаменатель не должен быть равен нулю. Поэтому $ \frac{3x}{1-x} > 0 $. Решая это неравенство методом интервалов, находим, что ОДЗ: $ x \in (0, 1) $.

Заметим, что слагаемые в левой части уравнения являются взаимно обратными. Введем замену переменной. Пусть $ y = \sqrt{\frac{3x}{1-x}} $. Поскольку корень является арифметическим, $ y > 0 $. Тогда второе слагаемое $ \sqrt{\frac{1-x}{3x}} = \frac{1}{y} $. Подставим замену в исходное уравнение:

$ y + \frac{1}{y} = \frac{5}{2} $

Умножим обе части уравнения на $ 2y $ (это допустимо, так как $ y \neq 0 $), чтобы избавиться от знаменателей:

$ 2y^2 + 2 = 5y $

Перенесем все члены в одну сторону, чтобы получить квадратное уравнение:

$ 2y^2 - 5y + 2 = 0 $

Найдем корни этого квадратного уравнения с помощью дискриминанта:
$ D = b^2 - 4ac = (-5)^2 - 4 \cdot 2 \cdot 2 = 25 - 16 = 9 = 3^2 $
$ y_1 = \frac{-b - \sqrt{D}}{2a} = \frac{5 - 3}{4} = \frac{2}{4} = \frac{1}{2} $
$ y_2 = \frac{-b + \sqrt{D}}{2a} = \frac{5 + 3}{4} = \frac{8}{4} = 2 $

Оба значения $ y $ положительны, поэтому они являются допустимыми решениями для $y$. Теперь выполним обратную замену для каждого найденного значения $y$.

Случай 1: $ y = 2 $

$ \sqrt{\frac{3x}{1-x}} = 2 $

Возведем обе части в квадрат:

$ \frac{3x}{1-x} = 4 $
$ 3x = 4(1-x) $
$ 3x = 4 - 4x $
$ 7x = 4 $
$ x_1 = \frac{4}{7} $

Проверим, принадлежит ли этот корень ОДЗ ($ x \in (0, 1) $). $ 0 < \frac{4}{7} < 1 $, следовательно, корень подходит.

Случай 2: $ y = \frac{1}{2} $

$ \sqrt{\frac{3x}{1-x}} = \frac{1}{2} $

Возведем обе части в квадрат:

$ \frac{3x}{1-x} = \frac{1}{4} $
$ 4 \cdot 3x = 1 \cdot (1-x) $
$ 12x = 1 - x $
$ 13x = 1 $
$ x_2 = \frac{1}{13} $

Проверим, принадлежит ли этот корень ОДЗ ($ x \in (0, 1) $). $ 0 < \frac{1}{13} < 1 $, следовательно, корень подходит.

Ответ: $ x_1 = \frac{4}{7}, x_2 = \frac{1}{13} $.


б) Дано уравнение: $ \sqrt[3]{\frac{x}{x-7}} + \sqrt[3]{\frac{x-7}{x}} = \frac{10}{3} $.

ОДЗ для кубического корня — все действительные числа, поэтому нужно лишь учесть, что знаменатели дробей не могут быть равны нулю: $ x \neq 0 $ и $ x-7 \neq 0 $ (т.е. $ x \neq 7 $).

Как и в предыдущем пункте, введем замену. Пусть $ z = \sqrt[3]{\frac{x}{x-7}} $. Тогда $ \sqrt[3]{\frac{x-7}{x}} = \frac{1}{z} $. Уравнение принимает вид:

$ z + \frac{1}{z} = \frac{10}{3} $

Умножим обе части на $ 3z $ (так как $ z \neq 0 $):

$ 3z^2 + 3 = 10z $

Получаем квадратное уравнение:

$ 3z^2 - 10z + 3 = 0 $

Найдем его корни:
$ D = b^2 - 4ac = (-10)^2 - 4 \cdot 3 \cdot 3 = 100 - 36 = 64 = 8^2 $
$ z_1 = \frac{10 - 8}{6} = \frac{2}{6} = \frac{1}{3} $
$ z_2 = \frac{10 + 8}{6} = \frac{18}{6} = 3 $

Выполним обратную замену для каждого значения $z$.

Случай 1: $ z = 3 $

$ \sqrt[3]{\frac{x}{x-7}} = 3 $

Возведем обе части в куб:

$ \frac{x}{x-7} = 3^3 = 27 $
$ x = 27(x-7) $
$ x = 27x - 189 $
$ 26x = 189 $
$ x_1 = \frac{189}{26} $

Этот корень не равен 0 или 7, значит, он подходит.

Случай 2: $ z = \frac{1}{3} $

$ \sqrt[3]{\frac{x}{x-7}} = \frac{1}{3} $

Возведем обе части в куб:

$ \frac{x}{x-7} = (\frac{1}{3})^3 = \frac{1}{27} $
$ 27x = x - 7 $
$ 26x = -7 $
$ x_2 = -\frac{7}{26} $

Этот корень также удовлетворяет ОДЗ.

Выделим целую часть в неправильной дроби $ \frac{189}{26} $: $ 189 \div 26 = 7 $ и $ 7 $ в остатке. Таким образом, $ \frac{189}{26} = 7\frac{7}{26} $.

Ответ: $ x_1 = 7\frac{7}{26}, x_2 = -\frac{7}{26} $.

Помогло решение? Оставьте отзыв в комментариях ниже.

Присоединяйтесь к Телеграм-группе @gdz_by_belarus

Присоединиться

Мы подготовили для вас ответ c подробным объяснением домашего задания по алгебре за 10 класс, для упражнения номер 2.277 расположенного на странице 215 к учебнику 2019 года издания для учащихся школ и гимназий.

Теперь на нашем сайте ГДЗ.ТОП вы всегда легко и бесплатно найдёте условие с правильным ответом на вопрос «Как решить ДЗ» и «Как сделать» задание по алгебре к упражнению №2.277 (с. 215), авторов: Арефьева (Ирина Глебовна), Пирютко (Ольга Николаевна), учебного пособия издательства Народная асвета.