Номер 2.276, страница 215 - гдз по алгебре 10 класс учебник Арефьева, Пирютко

Алгебра, 10 класс Учебник, авторы: Арефьева Ирина Глебовна, Пирютко Ольга Николаевна, издательство Народная асвета, Минск, 2019, голубого цвета

Авторы: Арефьева И. Г., Пирютко О. Н.

Тип: Учебник

Издательство: Народная асвета

Год издания: 2019 - 2026

Цвет обложки: голубой с графиком

Допущено Министерством образования Республики Беларусь

Популярные ГДЗ в 10 классе

Глава 2. Корень n-й степени из числа. Параграф 17. Иррациональные уравнения - номер 2.276, страница 215.

№2.276 (с. 215)
Условие. №2.276 (с. 215)
скриншот условия
Алгебра, 10 класс Учебник, авторы: Арефьева Ирина Глебовна, Пирютко Ольга Николаевна, издательство Народная асвета, Минск, 2019, голубого цвета, страница 215, номер 2.276, Условие

2.276. Решите уравнение с помощью метода замены переменной:

a) $\sqrt{x} + 4\sqrt[4]{x} - 12 = 0;$

б) $\sqrt[3]{x} - 2\sqrt[6]{x} = 3;$

в) $\sqrt{x - 7} - 5\sqrt[4]{x - 7} + 4 = 0;$

г) $\sqrt[3]{x + 3} + \sqrt[6]{x + 3} = 2;$

д) $x^2 - 12 - 2\sqrt{x^2 - 12} = 8;$

е) $x^2 + 5x = 5\sqrt{x^2 + 5x + 28} - 4.$

Решение. №2.276 (с. 215)
Алгебра, 10 класс Учебник, авторы: Арефьева Ирина Глебовна, Пирютко Ольга Николаевна, издательство Народная асвета, Минск, 2019, голубого цвета, страница 215, номер 2.276, Решение Алгебра, 10 класс Учебник, авторы: Арефьева Ирина Глебовна, Пирютко Ольга Николаевна, издательство Народная асвета, Минск, 2019, голубого цвета, страница 215, номер 2.276, Решение (продолжение 2)
Решение 2. №2.276 (с. 215)

а) Исходное уравнение: $\sqrt{x} + 4\sqrt[4]{x} - 12 = 0$.
Область допустимых значений (ОДЗ): $x \ge 0$.
Заметим, что $\sqrt{x} = (\sqrt[4]{x})^2$. Сделаем замену переменной: пусть $t = \sqrt[4]{x}$.
Так как корень четвертой степени не может быть отрицательным, то $t \ge 0$.
Подставив $t$ в исходное уравнение, получаем квадратное уравнение:
$t^2 + 4t - 12 = 0$
Решим его по теореме Виета:
$t_1 + t_2 = -4$
$t_1 \cdot t_2 = -12$
Корни: $t_1 = 2$ и $t_2 = -6$.
Корень $t_2 = -6$ не удовлетворяет условию $t \ge 0$, поэтому он является посторонним.
Выполним обратную замену для $t_1 = 2$:
$\sqrt[4]{x} = 2$
Возведем обе части в 4-ю степень:
$x = 2^4$
$x = 16$.
Корень $x=16$ удовлетворяет ОДЗ.
Ответ: 16

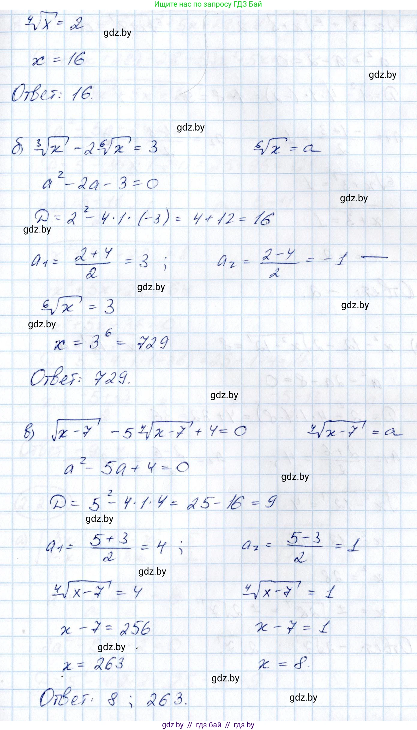
б) Исходное уравнение: $\sqrt[3]{x} - 2\sqrt[6]{x} = 3$.
ОДЗ: $x \ge 0$.
Заметим, что $\sqrt[3]{x} = (\sqrt[6]{x})^2$. Сделаем замену переменной: пусть $t = \sqrt[6]{x}$.
Условие для новой переменной: $t \ge 0$.
Перепишем уравнение с новой переменной:
$t^2 - 2t = 3$
$t^2 - 2t - 3 = 0$
По теореме Виета:
$t_1 + t_2 = 2$
$t_1 \cdot t_2 = -3$
Корни: $t_1 = 3$ и $t_2 = -1$.
Корень $t_2 = -1$ не удовлетворяет условию $t \ge 0$.
Выполним обратную замену для $t_1 = 3$:
$\sqrt[6]{x} = 3$
Возведем обе части в 6-ю степень:
$x = 3^6$
$x = 729$.
Корень $x=729$ удовлетворяет ОДЗ.
Ответ: 729

в) Исходное уравнение: $\sqrt{x-7} - 5\sqrt[4]{x-7} + 4 = 0$.
ОДЗ: $x-7 \ge 0 \implies x \ge 7$.
Пусть $t = \sqrt[4]{x-7}$, тогда $\sqrt{x-7} = t^2$. Условие: $t \ge 0$.
Получаем квадратное уравнение:
$t^2 - 5t + 4 = 0$
По теореме Виета:
$t_1 + t_2 = 5$
$t_1 \cdot t_2 = 4$
Корни: $t_1 = 1$ и $t_2 = 4$.
Оба корня удовлетворяют условию $t \ge 0$. Рассматриваем оба случая.
1) $\sqrt[4]{x-7} = 1 \implies x-7 = 1^4 \implies x-7=1 \implies x_1=8$.
2) $\sqrt[4]{x-7} = 4 \implies x-7 = 4^4 \implies x-7=256 \implies x_2=263$.
Оба корня $x_1=8$ и $x_2=263$ удовлетворяют ОДЗ ($x \ge 7$).
Ответ: 8, 263

г) Исходное уравнение: $\sqrt[3]{x+3} + \sqrt[6]{x+3} = 2$.
ОДЗ: $x+3 \ge 0 \implies x \ge -3$.
Пусть $t = \sqrt[6]{x+3}$, тогда $\sqrt[3]{x+3} = t^2$. Условие: $t \ge 0$.
Получаем квадратное уравнение:
$t^2 + t = 2$
$t^2 + t - 2 = 0$
По теореме Виета:
$t_1 + t_2 = -1$
$t_1 \cdot t_2 = -2$
Корни: $t_1 = 1$ и $t_2 = -2$.
Корень $t_2 = -2$ не удовлетворяет условию $t \ge 0$.
Выполним обратную замену для $t_1 = 1$:
$\sqrt[6]{x+3} = 1 \implies x+3 = 1^6 \implies x+3 = 1 \implies x=-2$.
Корень $x=-2$ удовлетворяет ОДЗ ($x \ge -3$).
Ответ: -2

д) Исходное уравнение: $x^2 - 12 - 2\sqrt{x^2 - 12} = 8$.
ОДЗ: $x^2 - 12 \ge 0 \implies x^2 \ge 12$.
Пусть $t = \sqrt{x^2 - 12}$, тогда $x^2 - 12 = t^2$. Условие: $t \ge 0$.
Перенесем 8 в левую часть: $x^2 - 12 - 2\sqrt{x^2 - 12} - 8 = 0$.
Выполним замену:
$t^2 - 2t - 8 = 0$
По теореме Виета:
$t_1 + t_2 = 2$
$t_1 \cdot t_2 = -8$
Корни: $t_1 = 4$ и $t_2 = -2$.
Корень $t_2 = -2$ не удовлетворяет условию $t \ge 0$.
Выполним обратную замену для $t_1 = 4$:
$\sqrt{x^2 - 12} = 4$
Возведем обе части в квадрат:
$x^2 - 12 = 16$
$x^2 = 28$
$x = \pm\sqrt{28} = \pm 2\sqrt{7}$.
Проверим ОДЗ: $(\pm 2\sqrt{7})^2 = 28$, что больше 12. Оба корня подходят.
Ответ: $\pm 2\sqrt{7}$

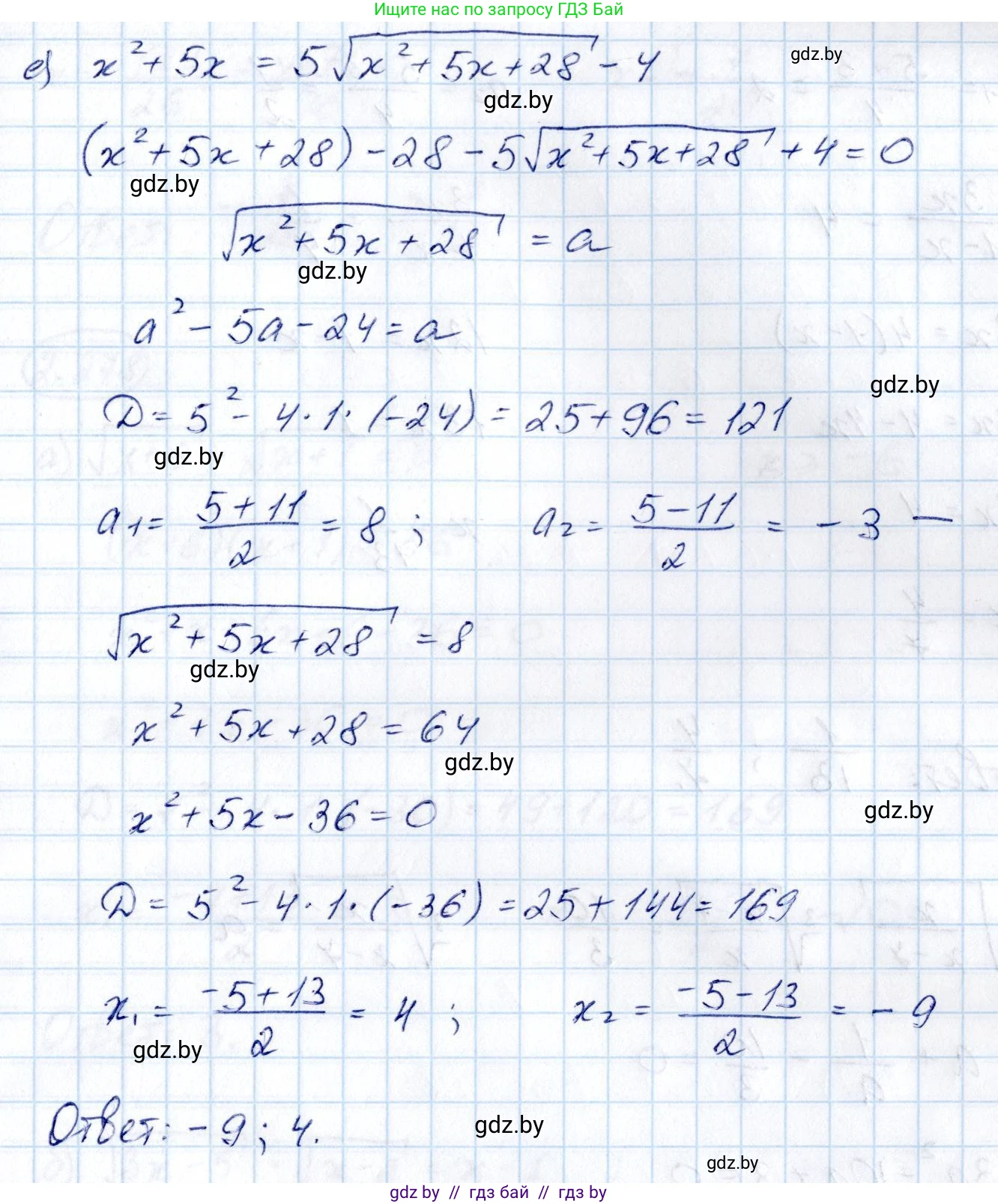
е) Исходное уравнение: $x^2 + 5x = 5\sqrt{x^2 + 5x + 28} - 4$.
ОДЗ: $x^2 + 5x + 28 \ge 0$. Дискриминант этого квадратного трехчлена $D = 5^2 - 4(1)(28) = 25 - 112 = -87 < 0$. Так как коэффициент при $x^2$ положителен, выражение $x^2 + 5x + 28$ всегда положительно. ОДЗ: $x \in (-\infty; +\infty)$.
Пусть $t = \sqrt{x^2 + 5x + 28}$. Условие: $t \ge 0$.
Тогда $t^2 = x^2 + 5x + 28$, откуда $x^2 + 5x = t^2 - 28$.
Подставим в исходное уравнение:
$t^2 - 28 = 5t - 4$
$t^2 - 5t - 24 = 0$
Решим квадратное уравнение через дискриминант:
$D = (-5)^2 - 4(1)(-24) = 25 + 96 = 121 = 11^2$
$t_{1,2} = \frac{5 \pm 11}{2}$
$t_1 = \frac{5+11}{2} = 8$
$t_2 = \frac{5-11}{2} = -3$
Корень $t_2 = -3$ не удовлетворяет условию $t \ge 0$.
Выполним обратную замену для $t_1=8$:
$\sqrt{x^2 + 5x + 28} = 8$
Возведем обе части в квадрат:
$x^2 + 5x + 28 = 64$
$x^2 + 5x - 36 = 0$
По теореме Виета:
$x_1 + x_2 = -5$
$x_1 \cdot x_2 = -36$
Корни: $x_1 = 4$ и $x_2 = -9$.
Ответ: -9, 4

Помогло решение? Оставьте отзыв в комментариях ниже.

Присоединяйтесь к Телеграм-группе @gdz_by_belarus

Присоединиться

Мы подготовили для вас ответ c подробным объяснением домашего задания по алгебре за 10 класс, для упражнения номер 2.276 расположенного на странице 215 к учебнику 2019 года издания для учащихся школ и гимназий.

Теперь на нашем сайте ГДЗ.ТОП вы всегда легко и бесплатно найдёте условие с правильным ответом на вопрос «Как решить ДЗ» и «Как сделать» задание по алгебре к упражнению №2.276 (с. 215), авторов: Арефьева (Ирина Глебовна), Пирютко (Ольга Николаевна), учебного пособия издательства Народная асвета.