Номер 2.257, страница 213 - гдз по алгебре 10 класс учебник Арефьева, Пирютко

Алгебра, 10 класс Учебник, авторы: Арефьева Ирина Глебовна, Пирютко Ольга Николаевна, издательство Народная асвета, Минск, 2019, голубого цвета

Авторы: Арефьева И. Г., Пирютко О. Н.

Тип: Учебник

Издательство: Народная асвета

Год издания: 2019 - 2026

Цвет обложки: голубой с графиком

Допущено Министерством образования Республики Беларусь

Популярные ГДЗ в 10 классе

Глава 2. Корень n-й степени из числа. Параграф 17. Иррациональные уравнения - номер 2.257, страница 213.

№2.257 (с. 213)
Условие. №2.257 (с. 213)
скриншот условия
Алгебра, 10 класс Учебник, авторы: Арефьева Ирина Глебовна, Пирютко Ольга Николаевна, издательство Народная асвета, Минск, 2019, голубого цвета, страница 213, номер 2.257, Условие

2.257. Найдите корни уравнения:

а) $\sqrt{2x + 6} - \sqrt{x + 1} = 2;$

б) $\sqrt{x + 5} + \sqrt{5 - x} = 4;$

в) $2\sqrt{2 - x} - \sqrt{7 - x} = 1;$

г) $\sqrt{3x - 2} + \sqrt{2x + 5} = 5;$

д) $\sqrt{x + 1} + \sqrt{x - 1} = \sqrt{2};$

е) $\sqrt{x - 3} + \sqrt{6 - x} = \sqrt{3}.

Для решения каких уравнений рационально применять функциональный подход?

Решение. №2.257 (с. 213)
Алгебра, 10 класс Учебник, авторы: Арефьева Ирина Глебовна, Пирютко Ольга Николаевна, издательство Народная асвета, Минск, 2019, голубого цвета, страница 213, номер 2.257, Решение Алгебра, 10 класс Учебник, авторы: Арефьева Ирина Глебовна, Пирютко Ольга Николаевна, издательство Народная асвета, Минск, 2019, голубого цвета, страница 213, номер 2.257, Решение (продолжение 2)
Решение 2. №2.257 (с. 213)

а) Решим уравнение $\sqrt{2x + 6} - \sqrt{x + 1} = 2$.
1. Найдем область допустимых значений (ОДЗ): $ \begin{cases} 2x + 6 \ge 0 \\ x + 1 \ge 0 \end{cases} \Rightarrow \begin{cases} x \ge -3 \\ x \ge -1 \end{cases} \Rightarrow x \ge -1 $.
2. Уединим один из корней: $\sqrt{2x + 6} = 2 + \sqrt{x + 1}$.
3. Возведем обе части уравнения в квадрат: $(\sqrt{2x + 6})^2 = (2 + \sqrt{x + 1})^2$
$2x + 6 = 4 + 4\sqrt{x + 1} + (x + 1)$
$2x + 6 = x + 5 + 4\sqrt{x + 1}$.
4. Снова уединим корень: $x + 1 = 4\sqrt{x + 1}$.
5. Возведем обе части в квадрат: $(x + 1)^2 = (4\sqrt{x + 1})^2$
$(x + 1)^2 = 16(x + 1)$
$(x + 1)^2 - 16(x + 1) = 0$
$(x + 1)(x + 1 - 16) = 0$
$(x + 1)(x - 15) = 0$.
Отсюда получаем два корня: $x_1 = -1$ и $x_2 = 15$.
6. Оба корня удовлетворяют ОДЗ ($x \ge -1$). Проверка подстановкой в исходное уравнение подтверждает, что оба корня верны.
При $x = -1$: $\sqrt{2(-1) + 6} - \sqrt{-1 + 1} = \sqrt{4} - \sqrt{0} = 2 - 0 = 2$.
При $x = 15$: $\sqrt{2(15) + 6} - \sqrt{15 + 1} = \sqrt{36} - \sqrt{16} = 6 - 4 = 2$.
Ответ: -1; 15.

б) Решим уравнение $\sqrt{x + 5} + \sqrt{5 - x} = 4$.
1. Найдем ОДЗ: $ \begin{cases} x + 5 \ge 0 \\ 5 - x \ge 0 \end{cases} \Rightarrow \begin{cases} x \ge -5 \\ x \le 5 \end{cases} \Rightarrow -5 \le x \le 5 $.
2. Возведем обе части в квадрат: $(\sqrt{x + 5} + \sqrt{5 - x})^2 = 4^2$
$(x + 5) + 2\sqrt{(x + 5)(5 - x)} + (5 - x) = 16$
$10 + 2\sqrt{25 - x^2} = 16$
$2\sqrt{25 - x^2} = 6$
$\sqrt{25 - x^2} = 3$.
3. Снова возведем в квадрат: $25 - x^2 = 9$
$x^2 = 16$.
Отсюда $x_1 = 4$ и $x_2 = -4$.
4. Оба корня входят в ОДЗ ($-5 \le x \le 5$). Проверка показывает, что оба являются решениями.
Ответ: -4; 4.

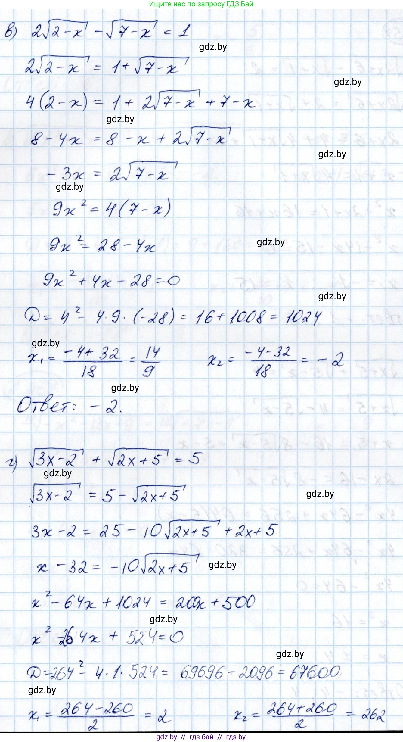
в) Решим уравнение $2\sqrt{2 - x} - \sqrt{7 - x} = 1$.
1. Найдем ОДЗ: $ \begin{cases} 2 - x \ge 0 \\ 7 - x \ge 0 \end{cases} \Rightarrow \begin{cases} x \le 2 \\ x \le 7 \end{cases} \Rightarrow x \le 2 $.
2. Уединим один из корней: $2\sqrt{2 - x} = 1 + \sqrt{7 - x}$.
3. Возведем в квадрат: $(2\sqrt{2 - x})^2 = (1 + \sqrt{7 - x})^2$
$4(2 - x) = 1 + 2\sqrt{7 - x} + (7 - x)$
$8 - 4x = 8 - x + 2\sqrt{7 - x}$.
4. Уединим оставшийся корень: $-3x = 2\sqrt{7 - x}$.
Так как правая часть неотрицательна, то и левая должна быть неотрицательной: $-3x \ge 0 \Rightarrow x \le 0$. Учитывая ОДЗ, получаем условие $x \le 0$.
5. Возведем в квадрат: $(-3x)^2 = (2\sqrt{7 - x})^2$
$9x^2 = 4(7 - x)$
$9x^2 + 4x - 28 = 0$.
Найдем корни квадратного уравнения: $D = 4^2 - 4 \cdot 9 \cdot (-28) = 16 + 1008 = 1024 = 32^2$.
$x_1 = \frac{-4 + 32}{18} = \frac{28}{18} = \frac{14}{9}$.
$x_2 = \frac{-4 - 32}{18} = \frac{-36}{18} = -2$.
6. Проверим корни по условию $x \le 0$. Корень $x_1 = \frac{14}{9}$ не удовлетворяет этому условию, значит, он посторонний. Корень $x_2 = -2$ удовлетворяет. Проверка подстановкой в исходное уравнение подтверждает, что это верный корень.
Ответ: -2.

г) Решим уравнение $\sqrt{3x - 2} + \sqrt{2x + 5} = 5$.
1. Найдем ОДЗ: $ \begin{cases} 3x - 2 \ge 0 \\ 2x + 5 \ge 0 \end{cases} \Rightarrow \begin{cases} x \ge 2/3 \\ x \ge -5/2 \end{cases} \Rightarrow x \ge 2/3 $.
2. Рассмотрим функцию $f(x) = \sqrt{3x - 2} + \sqrt{2x + 5}$. Эта функция является суммой двух возрастающих функций, следовательно, она строго возрастает на всей своей области определения. Это означает, что уравнение $f(x) = 5$ может иметь не более одного корня.
3. Найдем корень подбором. Попробуем $x=2$: $\sqrt{3(2) - 2} + \sqrt{2(2) + 5} = \sqrt{4} + \sqrt{9} = 2 + 3 = 5$.
Так как $x=2$ является корнем, а функция строго возрастающая, других корней нет.
Ответ: 2.

д) Решим уравнение $\sqrt{x + 1} + \sqrt{x - 1} = \sqrt{2}$.
1. Найдем ОДЗ: $ \begin{cases} x + 1 \ge 0 \\ x - 1 \ge 0 \end{cases} \Rightarrow \begin{cases} x \ge -1 \\ x \ge 1 \end{cases} \Rightarrow x \ge 1 $.
2. Рассмотрим функцию $f(x) = \sqrt{x + 1} + \sqrt{x - 1}$. Она является строго возрастающей на своей ОДЗ ($x \ge 1$) как сумма двух возрастающих функций.
3. Найдем значение функции на левой границе ОДЗ, при $x=1$: $f(1) = \sqrt{1 + 1} + \sqrt{1 - 1} = \sqrt{2} + 0 = \sqrt{2}$.
Таким образом, $x=1$ является решением. Поскольку функция строго возрастает, при $x > 1$ ее значения будут больше $\sqrt{2}$, следовательно, других решений нет.
Ответ: 1.

е) Решим уравнение $\sqrt{x - 3} + \sqrt{6 - x} = \sqrt{3}$.
1. Найдем ОДЗ: $ \begin{cases} x - 3 \ge 0 \\ 6 - x \ge 0 \end{cases} \Rightarrow \begin{cases} x \ge 3 \\ x \le 6 \end{cases} \Rightarrow 3 \le x \le 6 $.
2. Возведем обе части в квадрат: $(\sqrt{x - 3} + \sqrt{6 - x})^2 = (\sqrt{3})^2$
$(x - 3) + 2\sqrt{(x - 3)(6 - x)} + (6 - x) = 3$
$3 + 2\sqrt{-x^2 + 9x - 18} = 3$
$2\sqrt{-x^2 + 9x - 18} = 0$
$-x^2 + 9x - 18 = 0$
$x^2 - 9x + 18 = 0$.
3. По теореме Виета находим корни: $x_1 = 3$, $x_2 = 6$.
4. Оба корня входят в ОДЗ ($3 \le x \le 6$). Проверка подстановкой в исходное уравнение подтверждает, что оба корня верны.
Ответ: 3; 6.


Для решения каких уравнений рационально применять функциональный подход?

Функциональный подход (использование свойств функций, таких как монотонность, ограниченность, четность, нахождение экстремумов) рационально применять для тех уравнений, где стандартный алгебраический метод (например, возведение в квадрат) приводит к громоздким вычислениям или уравнениям высоких степеней. Такой подход часто позволяет найти решение быстрее и изящнее.

В данном задании функциональный подход особенно эффективен для уравнений:

  • г) $\sqrt{3x - 2} + \sqrt{2x + 5} = 5$. Левая часть представляет собой строго возрастающую функцию. Это позволяет, найдя один корень $x=2$ подбором, сразу заключить, что он является единственным. Алгебраическое решение требует двух возведений в квадрат и решения довольно громоздкого квадратного уравнения $x^2 - 264x + 524 = 0$.
  • д) $\sqrt{x + 1} + \sqrt{x - 1} = \sqrt{2}$. Левая часть также является строго возрастающей функцией. Решение $x=1$ находится проверкой на границе области определения. Монотонность функции гарантирует, что других корней нет.
  • е) $\sqrt{x - 3} + \sqrt{6 - x} = \sqrt{3}$. Здесь функция в левой части не является монотонной на всей области определения. Однако проверка значений на концах отрезка ОДЗ $[3, 6]$ немедленно дает оба ответа. Анализ функции показывает, что она имеет максимум в точке $x=4.5$, равный $\sqrt{6}$, а на концах отрезка принимает наименьшее значение $\sqrt{3}$, что доказывает отсутствие других корней.

Таким образом, для уравнений г), д) и е) применение функционального подхода является рациональным.

Помогло решение? Оставьте отзыв в комментариях ниже.

Присоединяйтесь к Телеграм-группе @gdz_by_belarus

Присоединиться

Мы подготовили для вас ответ c подробным объяснением домашего задания по алгебре за 10 класс, для упражнения номер 2.257 расположенного на странице 213 к учебнику 2019 года издания для учащихся школ и гимназий.

Теперь на нашем сайте ГДЗ.ТОП вы всегда легко и бесплатно найдёте условие с правильным ответом на вопрос «Как решить ДЗ» и «Как сделать» задание по алгебре к упражнению №2.257 (с. 213), авторов: Арефьева (Ирина Глебовна), Пирютко (Ольга Николаевна), учебного пособия издательства Народная асвета.