Номер 303, страница 117 - гдз по геометрии 10 класс учебник Латотин, Чеботаревский

Геометрия, 10 класс Учебник, авторы: Латотин Леонид Александрович, Чеботаревский Борис Дмитриевич, Горбунова Ирина Владимировна, издательство Адукацыя i выхаванне, Минск, 2020, белого цвета

Авторы: Латотин Л. А., Чеботаревский Б. Д., Горбунова И. В.

Тип: Учебник

Издательство: Адукацыя i выхаванне

Год издания: 2020 - 2026

Уровень обучения: базовый и повышенный

Цвет обложки: белый в клеточку

Допущено Министерством образования Республики Беларусь

Популярные ГДЗ в 10 классе

Раздел 3. Перпендикулярность прямых и плоскостей. Параграф 9. Угол между прямой и плоскостью. Задания - номер 303, страница 117.

№303 (с. 117)
Условие. №303 (с. 117)
скриншот условия
Геометрия, 10 класс Учебник, авторы: Латотин Леонид Александрович, Чеботаревский Борис Дмитриевич, Горбунова Ирина Владимировна, издательство Адукацыя i выхаванне, Минск, 2020, белого цвета, страница 117, номер 303, Условие

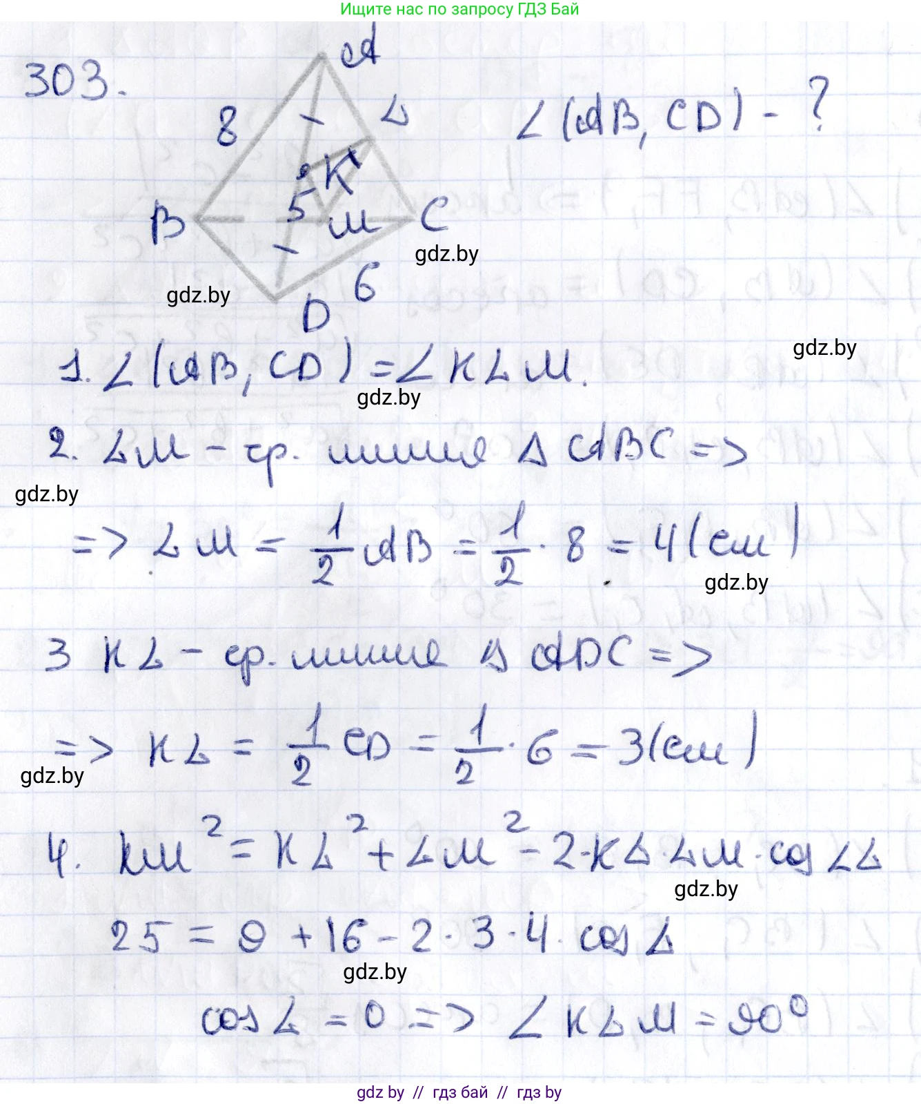
303. Через середину $K$ ребра $AD$ треугольной пирамиды $ABCD$ проведена плоскость, параллельная рёбрам $AB$ и $CD$. Она пересекает ребро $BC$ в точке $M$. Учитывая, что $AB = 8$, $CD = 6$, $KM = 5$, найдите угол между прямыми $AB$ и $CD$.

Решение 2. №303 (с. 117)
Геометрия, 10 класс Учебник, авторы: Латотин Леонид Александрович, Чеботаревский Борис Дмитриевич, Горбунова Ирина Владимировна, издательство Адукацыя i выхаванне, Минск, 2020, белого цвета, страница 117, номер 303, Решение 2
Решение 3. №303 (с. 117)

Пусть $ \alpha $ — плоскость, проходящая через точку $ K $ (середину ребра $ AD $) и параллельная ребрам $ AB $ и $ CD $. Угол между скрещивающимися прямыми $ AB $ и $ CD $ — это угол между двумя пересекающимися прямыми, которые соответственно параллельны $ AB $ и $ CD $. Построим сечение пирамиды плоскостью $ \alpha $, чтобы найти такие прямые.

1. Построение сечения.

Плоскость $ \alpha $ пересекает грань $ ABD $. Так как $ \alpha \parallel AB $, линия пересечения плоскости $ \alpha $ с плоскостью грани $ (ABD) $ должна быть параллельна $ AB $. Проведем через точку $ K $ прямую, параллельную $ AB $, до пересечения с ребром $ BD $ в точке $ L $. Так как $ K $ — середина $ AD $, то по теореме Фалеса $ L $ — середина $ BD $, а отрезок $ KL $ является средней линией треугольника $ \triangle ABD $. Следовательно, $ KL = \frac{1}{2} AB = \frac{1}{2} \cdot 8 = 4 $.

Плоскость $ \alpha $ пересекает грань $ ACD $. Так как $ \alpha \parallel CD $, линия пересечения плоскости $ \alpha $ с плоскостью грани $ (ACD) $ должна быть параллельна $ CD $. Проведем через точку $ K $ прямую, параллельную $ CD $, до пересечения с ребром $ AC $ в точке $ N $. Так как $ K $ — середина $ AD $, то $ N $ — середина $ AC $, а отрезок $ KN $ является средней линией треугольника $ \triangle ACD $. Следовательно, $ KN = \frac{1}{2} CD = \frac{1}{2} \cdot 6 = 3 $.

Теперь у нас есть три точки сечения: $ K, L, N $. Плоскость сечения $ (KLN) $ пересекает ребро $ BC $ в точке $ M $, как дано в условии. Рассмотрим грань $ ABC $. Плоскость $ \alpha $ проходит через точку $ N $ и параллельна $ AB $, значит, линия пересечения $ NM $ параллельна $ AB $. Так как $ N $ — середина $ AC $, то $ M $ — середина $ BC $, а $ NM $ — средняя линия $ \triangle ABC $. Ее длина $ NM = \frac{1}{2} AB = 4 $.

Рассмотрим грань $ BCD $. Точки $ L $ и $ M $ являются серединами ребер $ BD $ и $ BC $ соответственно. Отрезок $ LM $ — средняя линия $ \triangle BCD $, поэтому $ LM \parallel CD $ и $ LM = \frac{1}{2} CD = 3 $.

2. Анализ полученного сечения.

Сечением является четырехугольник $ KLMN $. Из построения следует, что $ KL \parallel NM $ (обе параллельны $ AB $) и $ KN \parallel LM $ (обе параллельны $ CD $). Четырехугольник, у которого противоположные стороны попарно параллельны, является параллелограммом.

Мы нашли длины сторон этого параллелограмма: $ KL = NM = 4 $ и $ KN = LM = 3 $.

3. Нахождение угла.

Угол $ \varphi $ между скрещивающимися прямыми $ AB $ и $ CD $ по определению равен углу между пересекающимися прямыми, им параллельными. В нашем случае $ KL \parallel AB $ и $ KN \parallel CD $. Прямые $ KL $ и $ KN $ пересекаются в точке $ K $. Следовательно, искомый угол $ \varphi $ равен углу $ \angle LKN $ в параллелограмме $ KLMN $.

Для нахождения этого угла воспользуемся теоремой косинусов для треугольника, образованного сторонами параллелограмма и одной из его диагоналей. В условии дано, что длина отрезка $ KM = 5 $. Этот отрезок является диагональю параллелограмма $ KLMN $.

Рассмотрим треугольник $ \triangle KNM $. Его стороны: $ KN = 3 $, $ NM = 4 $ и $ KM = 5 $. Проверим, выполняется ли для этого треугольника теорема Пифагора: $ KN^2 + NM^2 = 3^2 + 4^2 = 9 + 16 = 25 $. $ KM^2 = 5^2 = 25 $.

Поскольку $ KN^2 + NM^2 = KM^2 $, треугольник $ \triangle KNM $ является прямоугольным, причем прямой угол — это угол, лежащий напротив самой длинной стороны $ KM $. То есть $ \angle KNM = 90^\circ $.

В параллелограмме сумма соседних углов равна $ 180^\circ $. Значит, $ \angle LKN + \angle KNM = 180^\circ $. Отсюда находим искомый угол $ \angle LKN $: $ \angle LKN = 180^\circ - \angle KNM = 180^\circ - 90^\circ = 90^\circ $.

Таким образом, угол между прямыми $ AB $ и $ CD $ равен $ 90^\circ $.

Ответ: $90^\circ$.

Помогло решение? Оставьте отзыв в комментариях ниже.

Присоединяйтесь к Телеграм-группе @gdz_by_belarus

Присоединиться

Мы подготовили для вас ответ c подробным объяснением домашего задания по геометрии за 10 класс, для упражнения номер 303 расположенного на странице 117 к учебнику 2020 года издания для учащихся школ и гимназий.

Теперь на нашем сайте ГДЗ.ТОП вы всегда легко и бесплатно найдёте условие с правильным ответом на вопрос «Как решить ДЗ» и «Как сделать» задание по геометрии к упражнению №303 (с. 117), авторов: Латотин (Леонид Александрович), Чеботаревский (Борис Дмитриевич), Горбунова (Ирина Владимировна), базовый и повышенный уровень обучения учебного пособия издательства Адукацыя i выхаванне.