Номер 5, страница 67 - гдз по химии 10 класс учебник Колевич, Матулис

Химия, 10 класс Учебник, авторы: Колевич Татьяна Александровна, Матулис Вадим Эдвардович, Матулис Виталий Эдвардович, Варакса Игорь Николаевич, издательство Адукацыя i выхаванне, Минск, 2019

Авторы: Колевич Т. А., Матулис В. Э., Матулис В. Э., Варакса И. Н.

Тип: Учебник

Издательство: Адукацыя i выхаванне

Год издания: 2019 - 2026

Цвет обложки: синий

ISBN: 978-985-599-068-1

Допущено Министерством образования Республики Беларусь

Популярные ГДЗ в 10 классе

Глава 2. Углеводороды. Параграф 11. Установление формулы органического вещества - номер 5, страница 67.

№5 (с. 67)
Условие. №5 (с. 67)
скриншот условия
Химия, 10 класс Учебник, авторы: Колевич Татьяна Александровна, Матулис Вадим Эдвардович, Матулис Виталий Эдвардович, Варакса Игорь Николаевич, издательство Адукацыя i выхаванне, Минск, 2019, страница 67, номер 5, Условие

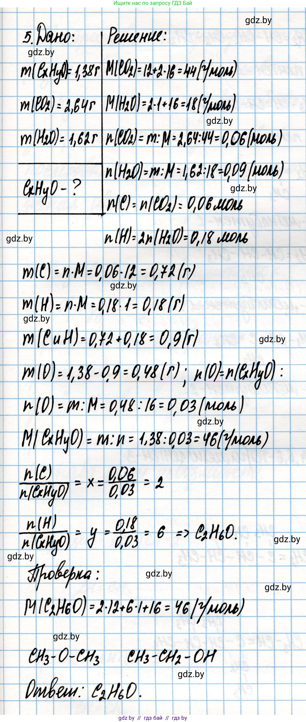
5. В результате сжигания в кислороде органического соединения массой 1,38 г получено 2,64 г $CO_2$ и 1,62 г воды. Установите молекулярную формулу органического соединения, если известно, что его молекула содержит один атом кислорода. Напишите возможные структурные формулы этого соединения.

Решение. №5 (с. 67)
Химия, 10 класс Учебник, авторы: Колевич Татьяна Александровна, Матулис Вадим Эдвардович, Матулис Виталий Эдвардович, Варакса Игорь Николаевич, издательство Адукацыя i выхаванне, Минск, 2019, страница 67, номер 5, Решение
Решение 2. №5 (с. 67)

Дано:

$m(\text{орг. соед.}) = 1,38 \text{ г}$
$m(CO_2) = 2,64 \text{ г}$
$m(H_2O) = 1,62 \text{ г}$
В молекуле содержится 1 атом кислорода.

Найти:

Молекулярную формулу органического соединения - ?
Возможные структурные формулы этого соединения - ?

Решение:

Установление молекулярной формулы органического соединения

1. Находим количество вещества (моль) продуктов сгорания: углекислого газа ($CO_2$) и воды ($H_2O$). Для этого используем их молярные массы:
$M(CO_2) = 12 + 2 \cdot 16 = 44 \text{ г/моль}$.
$M(H_2O) = 2 \cdot 1 + 16 = 18 \text{ г/моль}$.

$n(CO_2) = \frac{m(CO_2)}{M(CO_2)} = \frac{2,64 \text{ г}}{44 \text{ г/моль}} = 0,06 \text{ моль}$.
$n(H_2O) = \frac{m(H_2O)}{M(H_2O)} = \frac{1,62 \text{ г}}{18 \text{ г/моль}} = 0,09 \text{ моль}$.

2. Определяем количество вещества атомов углерода (C) и водорода (H) в исходном соединении. Весь углерод из сгоревшего вещества переходит в $CO_2$, а весь водород - в $H_2O$.
$n(C) = n(CO_2) = 0,06 \text{ моль}$.
$n(H) = 2 \cdot n(H_2O) = 2 \cdot 0,09 \text{ моль} = 0,18 \text{ моль}$.

3. Рассчитываем массы углерода и водорода.
$m(C) = n(C) \cdot M(C) = 0,06 \text{ моль} \cdot 12 \text{ г/моль} = 0,72 \text{ г}$.
$m(H) = n(H) \cdot M(H) = 0,18 \text{ моль} \cdot 1 \text{ г/моль} = 0,18 \text{ г}$.

4. Находим массу и количество вещества кислорода (O) в исходном веществе, вычитая массы углерода и водорода из общей массы соединения.
$m(O) = m(\text{орг. соед.}) - m(C) - m(H) = 1,38 \text{ г} - 0,72 \text{ г} - 0,18 \text{ г} = 0,48 \text{ г}$.
$n(O) = \frac{m(O)}{M(O)} = \frac{0,48 \text{ г}}{16 \text{ г/моль}} = 0,03 \text{ моль}$.

5. Находим соотношение атомов C, H и O для определения простейшей формулы. Соотношение атомов равно соотношению их количеств вещества.
$x : y : z = n(C) : n(H) : n(O) = 0,06 : 0,18 : 0,03$.
Делим все значения на наименьшее (0,03), чтобы получить целочисленные индексы:
$x : y : z = \frac{0,06}{0,03} : \frac{0,18}{0,03} : \frac{0,03}{0,03} = 2 : 6 : 1$.
Простейшая формула соединения — $C_2H_6O$. Так как по условию в молекуле один атом кислорода, эта формула является и молекулярной.

Написание возможных структурных формул этого соединения

Для молекулярной формулы $C_2H_6O$ возможны два структурных изомера, которые принадлежат к разным классам органических соединений:
1. Этанол (представитель класса одноатомных спиртов): $CH_3-CH_2-OH$
2. Диметиловый эфир (представитель класса простых эфиров): $CH_3-O-CH_3$

Ответ:

Молекулярная формула органического соединения: $C_2H_6O$.
Возможные структурные формулы: этанол ($CH_3-CH_2-OH$) и диметиловый эфир ($CH_3-O-CH_3$).

Помогло решение? Оставьте отзыв в комментариях ниже.

Присоединяйтесь к Телеграм-группе @gdz_by_belarus

Присоединиться

Мы подготовили для вас ответ c подробным объяснением домашего задания по химии за 10 класс, для упражнения номер 5 расположенного на странице 67 к учебнику 2019 года издания для учащихся школ и гимназий.

Теперь на нашем сайте ГДЗ.ТОП вы всегда легко и бесплатно найдёте условие с правильным ответом на вопрос «Как решить ДЗ» и «Как сделать» задание по химии к упражнению №5 (с. 67), авторов: Колевич (Татьяна Александровна), Матулис (Вадим Эдвардович), Матулис (Виталий Эдвардович), Варакса (Игорь Николаевич), учебного пособия издательства Адукацыя i выхаванне.