Номер 6, страница 86 - гдз по химии 10 класс учебник Колевич, Матулис

Химия, 10 класс Учебник, авторы: Колевич Татьяна Александровна, Матулис Вадим Эдвардович, Матулис Виталий Эдвардович, Варакса Игорь Николаевич, издательство Адукацыя i выхаванне, Минск, 2019

Авторы: Колевич Т. А., Матулис В. Э., Матулис В. Э., Варакса И. Н.

Тип: Учебник

Издательство: Адукацыя i выхаванне

Год издания: 2019 - 2026

Цвет обложки: синий

ISBN: 978-985-599-068-1

Допущено Министерством образования Республики Беларусь

Популярные ГДЗ в 10 классе

Глава 2. Углеводороды. Параграф 15. Физические и химические свойства алкенов - номер 6, страница 86.

№6 (с. 86)
Условие. №6 (с. 86)
скриншот условия
Химия, 10 класс Учебник, авторы: Колевич Татьяна Александровна, Матулис Вадим Эдвардович, Матулис Виталий Эдвардович, Варакса Игорь Николаевич, издательство Адукацыя i выхаванне, Минск, 2019, страница 86, номер 6, Условие

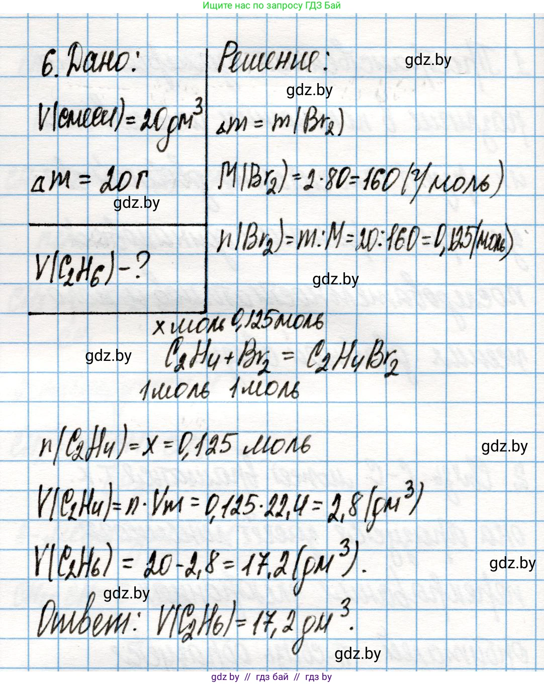
6. После пропускания через склянку с бромной водой (избыток) $20 \text{ дм}^3$ (н. у.) смеси этана и этилена масса склянки увеличилась на $20 \text{ г}$. Определите объём (н. у.) этана в смеси газов.

Решение. №6 (с. 86)
Химия, 10 класс Учебник, авторы: Колевич Татьяна Александровна, Матулис Вадим Эдвардович, Матулис Виталий Эдвардович, Варакса Игорь Николаевич, издательство Адукацыя i выхаванне, Минск, 2019, страница 86, номер 6, Решение
Решение 2. №6 (с. 86)

Дано:

$V_{смеси}(C_2H_6 + C_2H_4) = 20 \text{ дм}^3 = 0.02 \text{ м}^3$

$\Delta m_{склянки} = 20 \text{ г} = 0.02 \text{ кг}$

Условия: нормальные (н. у.)

Найти:

$V(C_2H_6)$ - ?

Решение:

При пропускании смеси газов (этана и этилена) через склянку с бромной водой, только ненасыщенный углеводород — этилен ($C_2H_4$) — вступает в реакцию. Этан ($C_2H_6$) является насыщенным углеводородом (алканом) и с бромной водой в данных условиях не взаимодействует.

Реакция присоединения брома к этилену (реакция бромирования) описывается следующим уравнением:

$C_2H_4 + Br_2 \rightarrow C_2H_4Br_2$

Масса склянки увеличивается за счет массы этилена, который полностью поглотился бромной водой. Таким образом, масса прореагировавшего этилена составляет 20 г.

$m(C_2H_4) = \Delta m_{склянки} = 20 \text{ г}$

Для дальнейших расчетов найдем молярную массу этилена $M(C_2H_4)$:

$M(C_2H_4) = 2 \cdot M(C) + 4 \cdot M(H) = 2 \cdot 12 \text{ г/моль} + 4 \cdot 1 \text{ г/моль} = 28 \text{ г/моль}$

Теперь определим количество вещества (в молях) этилена, содержавшегося в смеси:

$n(C_2H_4) = \frac{m(C_2H_4)}{M(C_2H_4)} = \frac{20 \text{ г}}{28 \text{ г/моль}} = \frac{5}{7} \text{ моль}$

Зная количество вещества, найдем объём этилена при нормальных условиях (н. у.). Молярный объём газа при н. у. составляет $V_m = 22.4 \text{ дм}^3/\text{моль}$.

$V(C_2H_4) = n(C_2H_4) \cdot V_m = \frac{5}{7} \text{ моль} \cdot 22.4 \frac{\text{дм}^3}{\text{моль}} = 16 \text{ дм}^3$

Общий объём смеси газов является суммой объёмов её компонентов (согласно закону Авогадро для газов при одинаковых условиях):

$V_{смеси} = V(C_2H_6) + V(C_2H_4)$

Следовательно, объём этана в смеси можно рассчитать, вычитая объём этилена из общего объёма смеси:

$V(C_2H_6) = V_{смеси} - V(C_2H_4) = 20 \text{ дм}^3 - 16 \text{ дм}^3 = 4 \text{ дм}^3$

Ответ: объём этана в смеси газов составляет 4 дм³.

Помогло решение? Оставьте отзыв в комментариях ниже.

Присоединяйтесь к Телеграм-группе @gdz_by_belarus

Присоединиться

Мы подготовили для вас ответ c подробным объяснением домашего задания по химии за 10 класс, для упражнения номер 6 расположенного на странице 86 к учебнику 2019 года издания для учащихся школ и гимназий.

Теперь на нашем сайте ГДЗ.ТОП вы всегда легко и бесплатно найдёте условие с правильным ответом на вопрос «Как решить ДЗ» и «Как сделать» задание по химии к упражнению №6 (с. 86), авторов: Колевич (Татьяна Александровна), Матулис (Вадим Эдвардович), Матулис (Виталий Эдвардович), Варакса (Игорь Николаевич), учебного пособия издательства Адукацыя i выхаванне.