Номер 6, страница 107 - гдз по химии 10 класс учебник Колевич, Матулис

Химия, 10 класс Учебник, авторы: Колевич Татьяна Александровна, Матулис Вадим Эдвардович, Матулис Виталий Эдвардович, Варакса Игорь Николаевич, издательство Адукацыя i выхаванне, Минск, 2019

Авторы: Колевич Т. А., Матулис В. Э., Матулис В. Э., Варакса И. Н.

Тип: Учебник

Издательство: Адукацыя i выхаванне

Год издания: 2019 - 2026

Цвет обложки: синий

ISBN: 978-985-599-068-1

Допущено Министерством образования Республики Беларусь

Популярные ГДЗ в 10 классе

Глава 2. Углеводороды. Параграф 18. Алкины - номер 6, страница 107.

№6 (с. 107)
Условие. №6 (с. 107)
скриншот условия
Химия, 10 класс Учебник, авторы: Колевич Татьяна Александровна, Матулис Вадим Эдвардович, Матулис Виталий Эдвардович, Варакса Игорь Николаевич, издательство Адукацыя i выхаванне, Минск, 2019, страница 107, номер 6, Условие

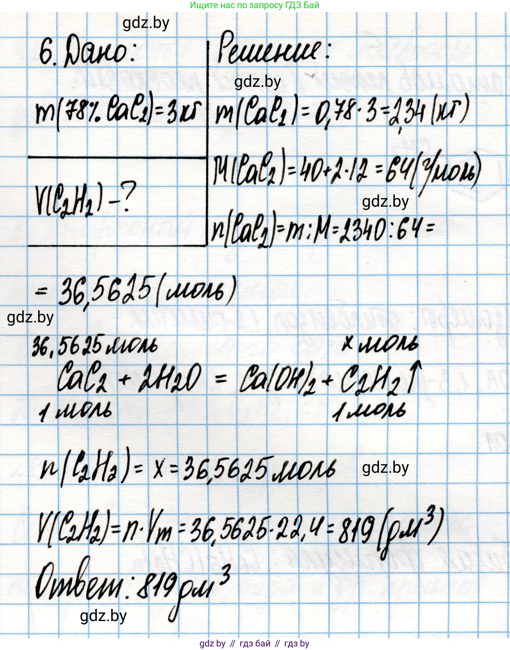
6. При осуществлении сварочных работ для получения ацетилена из карбида кальция используются генераторы ацетилена, один из которых изображён на рисунке. Какой объём ацетилена ($\text{дм}^3$, н. у.) можно получить из 3 кг технического карбида кальция, содержащего 22 % примесей?

Решение. №6 (с. 107)
Химия, 10 класс Учебник, авторы: Колевич Татьяна Александровна, Матулис Вадим Эдвардович, Матулис Виталий Эдвардович, Варакса Игорь Николаевич, издательство Адукацыя i выхаванне, Минск, 2019, страница 107, номер 6, Решение
Решение 2. №6 (с. 107)

Дано:

$m_{техн.}(CaC_2) = 3 \text{ кг}$
$\omega(примесей) = 22 \%$
н. у. (нормальные условия)

$m_{техн.}(CaC_2) = 3 \text{ кг} = 3000 \text{ г}$

Найти:

$V(C_2H_2) - ?$

Решение:

1. Сначала определим массу чистого карбида кальция ($CaC_2$) в техническом образце. Массовая доля чистого вещества составляет:
$\omega(CaC_2) = 100\% - \omega(примесей) = 100\% - 22\% = 78\% = 0.78$
Теперь найдем массу чистого карбида кальция:
$m(CaC_2) = m_{техн.}(CaC_2) \times \omega(CaC_2) = 3000 \text{ г} \times 0.78 = 2340 \text{ г}$

2. Запишем уравнение реакции получения ацетилена из карбида кальция (гидролиз карбида кальция):
$CaC_2 + 2H_2O \rightarrow C_2H_2 \uparrow + Ca(OH)_2$

3. Рассчитаем молярную массу карбида кальция ($CaC_2$):
$M(CaC_2) = Ar(Ca) + 2 \times Ar(C) = 40 + 2 \times 12 = 64 \text{ г/моль}$

4. Найдем количество вещества (число моль) карбида кальция, вступившего в реакцию:
$n(CaC_2) = \frac{m(CaC_2)}{M(CaC_2)} = \frac{2340 \text{ г}}{64 \text{ г/моль}} = 36.5625 \text{ моль}$

5. По уравнению реакции, из 1 моль $CaC_2$ образуется 1 моль $C_2H_2$. Следовательно, соотношение количеств веществ равно:
$n(C_2H_2) = n(CaC_2) = 36.5625 \text{ моль}$

6. Теперь найдем объем ацетилена при нормальных условиях (н. у.). Молярный объем газа при н. у. ($V_m$) равен 22.4 дм³/моль.
$V(C_2H_2) = n(C_2H_2) \times V_m = 36.5625 \text{ моль} \times 22.4 \frac{\text{дм³}}{\text{моль}} = 819 \text{ дм³}$

Ответ: из 3 кг технического карбида кальция можно получить 819 дм³ ацетилена.

Помогло решение? Оставьте отзыв в комментариях ниже.

Присоединяйтесь к Телеграм-группе @gdz_by_belarus

Присоединиться

Мы подготовили для вас ответ c подробным объяснением домашего задания по химии за 10 класс, для упражнения номер 6 расположенного на странице 107 к учебнику 2019 года издания для учащихся школ и гимназий.

Теперь на нашем сайте ГДЗ.ТОП вы всегда легко и бесплатно найдёте условие с правильным ответом на вопрос «Как решить ДЗ» и «Как сделать» задание по химии к упражнению №6 (с. 107), авторов: Колевич (Татьяна Александровна), Матулис (Вадим Эдвардович), Матулис (Виталий Эдвардович), Варакса (Игорь Николаевич), учебного пособия издательства Адукацыя i выхаванне.