Номер 7, страница 272 - гдз по химии 10 класс учебник Колевич, Матулис

Химия, 10 класс Учебник, авторы: Колевич Татьяна Александровна, Матулис Вадим Эдвардович, Матулис Виталий Эдвардович, Варакса Игорь Николаевич, издательство Адукацыя i выхаванне, Минск, 2019

Авторы: Колевич Т. А., Матулис В. Э., Матулис В. Э., Варакса И. Н.

Тип: Учебник

Издательство: Адукацыя i выхаванне

Год издания: 2019 - 2026

Цвет обложки: синий

ISBN: 978-985-599-068-1

Допущено Министерством образования Республики Беларусь

Популярные ГДЗ в 10 классе

Глава 4. Азотсодержащие органические соединения. Параграф 48. Белки - номер 7, страница 272.

№7 (с. 272)
Условие. №7 (с. 272)
скриншот условия
Химия, 10 класс Учебник, авторы: Колевич Татьяна Александровна, Матулис Вадим Эдвардович, Матулис Виталий Эдвардович, Варакса Игорь Николаевич, издательство Адукацыя i выхаванне, Минск, 2019, страница 272, номер 7, Условие

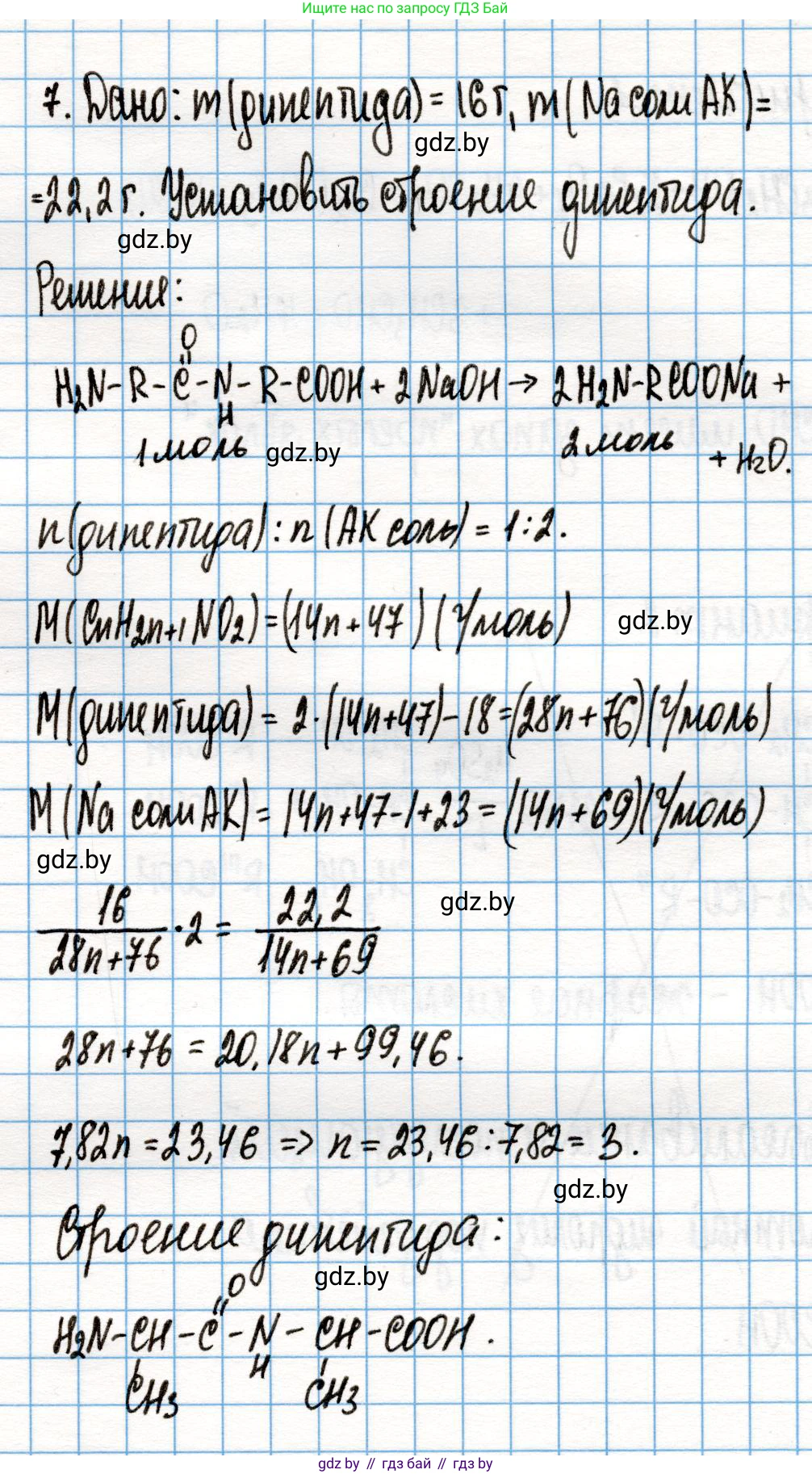
7. При щелочном гидролизе 16,0 г дипептида образовалось только одно органическое вещество — натриевая соль одной из аминокислот. Масса этой соли равна 22,2 г. Установите строение дипептида.

Решение. №7 (с. 272)
Химия, 10 класс Учебник, авторы: Колевич Татьяна Александровна, Матулис Вадим Эдвардович, Матулис Виталий Эдвардович, Варакса Игорь Николаевич, издательство Адукацыя i выхаванне, Минск, 2019, страница 272, номер 7, Решение
Решение 2. №7 (с. 272)

Дано:

$m(\text{дипептида}) = 16,0 \text{ г}$

$m(\text{натриевой соли}) = 22,2 \text{ г}$

Найти:

Структурную формулу дипептида - ?

Решение:

Поскольку при щелочном гидролизе дипептида образуется только одно органическое вещество (натриевая соль аминокислоты), это означает, что дипептид был образован двумя одинаковыми остатками аминокислоты.

Обозначим неизвестную аминокислоту общей формулой $H_2N-R-COOH$. Тогда ее дипептид будет иметь формулу $H_2N-R-CO-NH-R-COOH$, а натриевая соль этой аминокислоты — $H_2N-R-COONa$.

Запишем уравнение реакции щелочного гидролиза дипептида:

$H_2N-R-CO-NH-R-COOH + 2NaOH \rightarrow 2(H_2N-R-COONa) + H_2O$

Из уравнения реакции следует, что из 1 моль дипептида образуется 2 моль соли аминокислоты. Это можно записать как:

$n(\text{соли}) = 2 \cdot n(\text{дипептида})$

Количество вещества ($n$) можно выразить через массу ($m$) и молярную массу ($M$) по формуле $n = m/M$.

$\frac{m(\text{соли})}{M(\text{соли})} = 2 \cdot \frac{m(\text{дипептида})}{M(\text{дипептида})}$

Пусть молярная масса аминокислоты $H_2N-R-COOH$ равна $M_{АК}$.

Тогда молярная масса дипептида, образованного из двух молекул аминокислоты с отщеплением одной молекулы воды, равна:

$M(\text{дипептида}) = 2 \cdot M_{АК} - M(H_2O) = 2M_{АК} - 18 \text{ г/моль}$

Молярная масса натриевой соли аминокислоты, где атом водорода в карбоксильной группе замещен на атом натрия, равна:

$M(\text{соли}) = M_{АК} - M(H) + M(Na) = M_{АК} - 1 + 23 = M_{АК} + 22 \text{ г/моль}$

Подставим выражения для молярных масс и данные из условия задачи в уравнение соотношения количеств веществ:

$\frac{22,2}{M_{АК} + 22} = 2 \cdot \frac{16,0}{2M_{АК} - 18}$

Упростим выражение:

$\frac{22,2}{M_{АК} + 22} = \frac{32}{2(M_{АК} - 9)} = \frac{16}{M_{АК} - 9}$

Решим полученное уравнение относительно $M_{АК}$:

$22,2 \cdot (M_{АК} - 9) = 16 \cdot (M_{АК} + 22)$

$22,2 M_{АК} - 199,8 = 16 M_{АК} + 352$

$22,2 M_{АК} - 16 M_{АК} = 352 + 199,8$

$6,2 M_{АК} = 551,8$

$M_{АК} = \frac{551,8}{6,2} = 89 \text{ г/моль}$

Теперь установим строение аминокислоты. Общая формула α-аминокислот: $H_2N-CH(R)-COOH$.

Молярная масса "каркаса" аминокислоты ($H_2N-CH-COOH$) составляет:

$M(H_2N-CH-COOH) = 14 + 2 + 12 + 1 + 12 + 32 + 1 = 74 \text{ г/моль}$

Найдем молярную массу радикала R:

$M(R) = M_{АК} - M(H_2N-CH-COOH) = 89 - 74 = 15 \text{ г/моль}$

Радикал с такой молярной массой — это метил ($CH_3$). Следовательно, аминокислота — аланин, $H_2N-CH(CH_3)-COOH$.

Дипептид образован двумя остатками аланина и называется аланилаланин. Его структурная формула:

$H_2N-CH(CH_3)-CO-NH-CH(CH_3)-COOH$

Ответ:

Структурная формула дипептида (аланилаланина): $H_2N-CH(CH_3)-CO-NH-CH(CH_3)-COOH$.

Помогло решение? Оставьте отзыв в комментариях ниже.

Присоединяйтесь к Телеграм-группе @gdz_by_belarus

Присоединиться

Мы подготовили для вас ответ c подробным объяснением домашего задания по химии за 10 класс, для упражнения номер 7 расположенного на странице 272 к учебнику 2019 года издания для учащихся школ и гимназий.

Теперь на нашем сайте ГДЗ.ТОП вы всегда легко и бесплатно найдёте условие с правильным ответом на вопрос «Как решить ДЗ» и «Как сделать» задание по химии к упражнению №7 (с. 272), авторов: Колевич (Татьяна Александровна), Матулис (Вадим Эдвардович), Матулис (Виталий Эдвардович), Варакса (Игорь Николаевич), учебного пособия издательства Адукацыя i выхаванне.