Номер 732, страница 165 - гдз по химии 10 класс сборник задач Матулис, Матулис

Химия, 10 класс Сборник задач, авторы: Матулис Вадим Эдвардович, Матулис Виталий Эдвардович, Колевич Татьяна Александровна, издательство Национальный институт образования, Минск, 2021

Авторы: Матулис В. Э., Матулис В. Э., Колевич Т. А.

Тип: Сборник задач

Издательство: Национальный институт образования

Год издания: 2021 - 2026

Уровень обучения: базовый и повышенный

Цвет обложки: синий

ISBN: 978-985-594-959-7

Допущено Министерством образования Республики Беларусь

Популярные ГДЗ в 10 классе

Глава 3. Кислородсодержащие органические соединения. 3.5. Сложные эфиры. Жиры - номер 732, страница 165.

№732 (с. 165)
Условие. №732 (с. 165)
скриншот условия
Химия, 10 класс Сборник задач, авторы: Матулис Вадим Эдвардович, Матулис Виталий Эдвардович, Колевич Татьяна Александровна, издательство Национальный институт образования, Минск, 2021, страница 165, номер 732, Условие

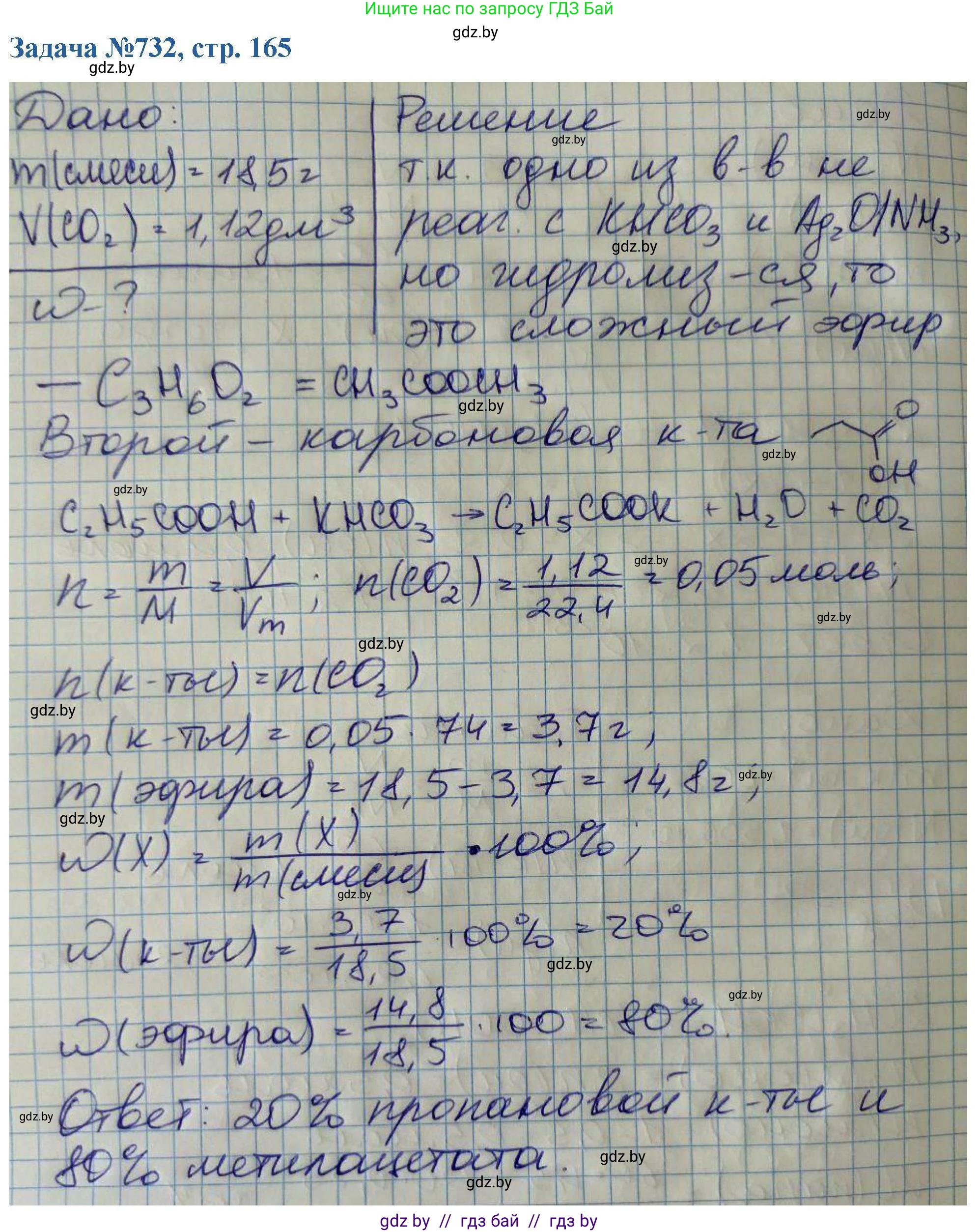
732. Два разных органических вещества имеют одинаковый состав — $C_3H_6O_2$. При действии избытка гидрокарбоната калия на смесь этих веществ массой 18,5 г получено 1,12 дм$^3$ (н. у.) газа. Известно, что одно из веществ в исходной смеси не реагирует с раствором гидрокарбоната калия и аммиачным раствором оксида серебра, но при нагревании с раствором гидроксида калия подвергается гидролизу. Установите вещества и найдите их массовые доли в исходной смеси.

Решение. №732 (с. 165)
Химия, 10 класс Сборник задач, авторы: Матулис Вадим Эдвардович, Матулис Виталий Эдвардович, Колевич Татьяна Александровна, издательство Национальный институт образования, Минск, 2021, страница 165, номер 732, Решение
Решение 2. №732 (с. 165)

Дано:

$m_{смеси}(C_3H_6O_2) = 18,5 \ г$

$V(газа) = 1,12 \ дм^3 \ (н.у.)$

Одно из веществ (вещество 1) реагирует с $KHCO_3$.
Другое вещество (вещество 2) не реагирует с $KHCO_3$, не реагирует с аммиачным раствором $Ag_2O$, но гидролизуется раствором $KOH$.

$V(газа) = 1,12 \ дм^3 = 1,12 \cdot 10^{-3} \ м^3$

Найти:

Вещество 1, вещество 2 - ?

$\omega(вещество \ 1) - ?$

$\omega(вещество \ 2) - ?$

Решение:

1. Установим строение веществ. Молекулярная формула обоих веществ – $C_3H_6O_2$. Эта формула соответствует общей формуле насыщенных одноосновных карбоновых кислот и их изомеров (сложных эфиров) $C_nH_{2n}O_2$.

По условию, при реакции смеси с избытком гидрокарбоната калия ($KHCO_3$) выделяется газ. С растворами гидрокарбонатов реагируют карбоновые кислоты, так как они являются более сильными кислотами, чем угольная. В результате реакции выделяется углекислый газ ($CO_2$).

$R-COOH + KHCO_3 \rightarrow R-COOK + H_2O + CO_2 \uparrow$

Следовательно, одно из веществ в смеси (вещество 1) — это карбоновая кислота с формулой $C_3H_6O_2$. Такой кислотой является пропановая (пропионовая) кислота: $CH_3-CH_2-COOH$.

Второе вещество (вещество 2) не реагирует с $KHCO_3$, значит, оно не является кислотой. Оно также не вступает в реакцию "серебряного зеркала" (с аммиачным раствором оксида серебра), следовательно, не содержит альдегидной группы. При этом оно подвергается гидролизу при нагревании с раствором гидроксида калия, что является характерным свойством сложных эфиров. Таким образом, вещество 2 — сложный эфир, изомерный пропановой кислоте.

Возможные сложные эфиры состава $C_3H_6O_2$:

Метилацетат: $CH_3-COO-CH_3$

Этилформиат: $H-COO-CH_2-CH_3$

Этилформиат является эфиром муравьиной кислоты, и его молекула содержит формильную группу $H-C(O)-$, которая по своим свойствам схожа с альдегидной. Поэтому этилформиат дает положительную реакцию "серебряного зеркала". Поскольку вещество 2 не реагирует с аммиачным раствором оксида серебра, оно не может быть этилформиатом. Следовательно, вещество 2 — это метилацетат $CH_3-COO-CH_3$.

Итак, в исходной смеси содержались пропановая кислота и метилацетат.

2. Проведем расчеты для определения массовых долей.

Молярная масса пропановой кислоты и метилацетата одинакова:

$M(C_3H_6O_2) = 3 \cdot Ar(C) + 6 \cdot Ar(H) + 2 \cdot Ar(O) = 3 \cdot 12 + 6 \cdot 1 + 2 \cdot 16 = 74 \ г/моль$.

С гидрокарбонатом калия реагирует только пропановая кислота:

$CH_3CH_2COOH + KHCO_3 \rightarrow CH_3CH_2COOK + H_2O + CO_2 \uparrow$

Найдем количество вещества выделившегося углекислого газа, используя молярный объем газов при нормальных условиях ($V_m = 22,4 \ дм^3/моль$):

$n(CO_2) = \frac{V(CO_2)}{V_m} = \frac{1,12 \ дм^3}{22,4 \ дм^3/моль} = 0,05 \ моль$.

По уравнению реакции, количество вещества пропановой кислоты равно количеству вещества углекислого газа:

$n(CH_3CH_2COOH) = n(CO_2) = 0,05 \ моль$.

Теперь найдем массу пропановой кислоты в смеси:

$m(CH_3CH_2COOH) = n(CH_3CH_2COOH) \cdot M(C_3H_6O_2) = 0,05 \ моль \cdot 74 \ г/моль = 3,7 \ г$.

Масса метилацетата в смеси равна разности общей массы смеси и массы пропановой кислоты:

$m(CH_3COOCH_3) = m_{смеси} - m(CH_3CH_2COOH) = 18,5 \ г - 3,7 \ г = 14,8 \ г$.

Наконец, рассчитаем массовые доли ($\omega$) каждого компонента в смеси:

$\omega(CH_3CH_2COOH) = \frac{m(CH_3CH_2COOH)}{m_{смеси}} = \frac{3,7 \ г}{18,5 \ г} = 0,2$ или $20\%$.

$\omega(CH_3COOCH_3) = \frac{m(CH_3COOCH_3)}{m_{смеси}} = \frac{14,8 \ г}{18,5 \ г} = 0,8$ или $80\%$.

Ответ: Исходные вещества — пропановая кислота ($CH_3CH_2COOH$) и метилацетат ($CH_3COOCH_3$). Массовая доля пропановой кислоты в смеси составляет $20\%$, массовая доля метилацетата — $80\%$.

Помогло решение? Оставьте отзыв в комментариях ниже.

Присоединяйтесь к Телеграм-группе @gdz_by_belarus

Присоединиться

Мы подготовили для вас ответ c подробным объяснением домашего задания по химии за 10 класс, для упражнения номер 732 расположенного на странице 165 к сборнику задач 2021 года издания для учащихся школ и гимназий.

Теперь на нашем сайте ГДЗ.ТОП вы всегда легко и бесплатно найдёте условие с правильным ответом на вопрос «Как решить ДЗ» и «Как сделать» задание по химии к упражнению №732 (с. 165), авторов: Матулис (Вадим Эдвардович), Матулис (Виталий Эдвардович), Колевич (Татьяна Александровна), базовый и повышенный уровень обучения учебного пособия издательства Национальный институт образования.