Номер 738, страница 166 - гдз по химии 10 класс сборник задач Матулис, Матулис

Химия, 10 класс Сборник задач, авторы: Матулис Вадим Эдвардович, Матулис Виталий Эдвардович, Колевич Татьяна Александровна, издательство Национальный институт образования, Минск, 2021

Авторы: Матулис В. Э., Матулис В. Э., Колевич Т. А.

Тип: Сборник задач

Издательство: Национальный институт образования

Год издания: 2021 - 2026

Уровень обучения: базовый и повышенный

Цвет обложки: синий

ISBN: 978-985-594-959-7

Допущено Министерством образования Республики Беларусь

Популярные ГДЗ в 10 классе

Глава 3. Кислородсодержащие органические соединения. 3.5. Сложные эфиры. Жиры - номер 738, страница 166.

№738 (с. 166)
Условие. №738 (с. 166)
скриншот условия
Химия, 10 класс Сборник задач, авторы: Матулис Вадим Эдвардович, Матулис Виталий Эдвардович, Колевич Татьяна Александровна, издательство Национальный институт образования, Минск, 2021, страница 166, номер 738, Условие

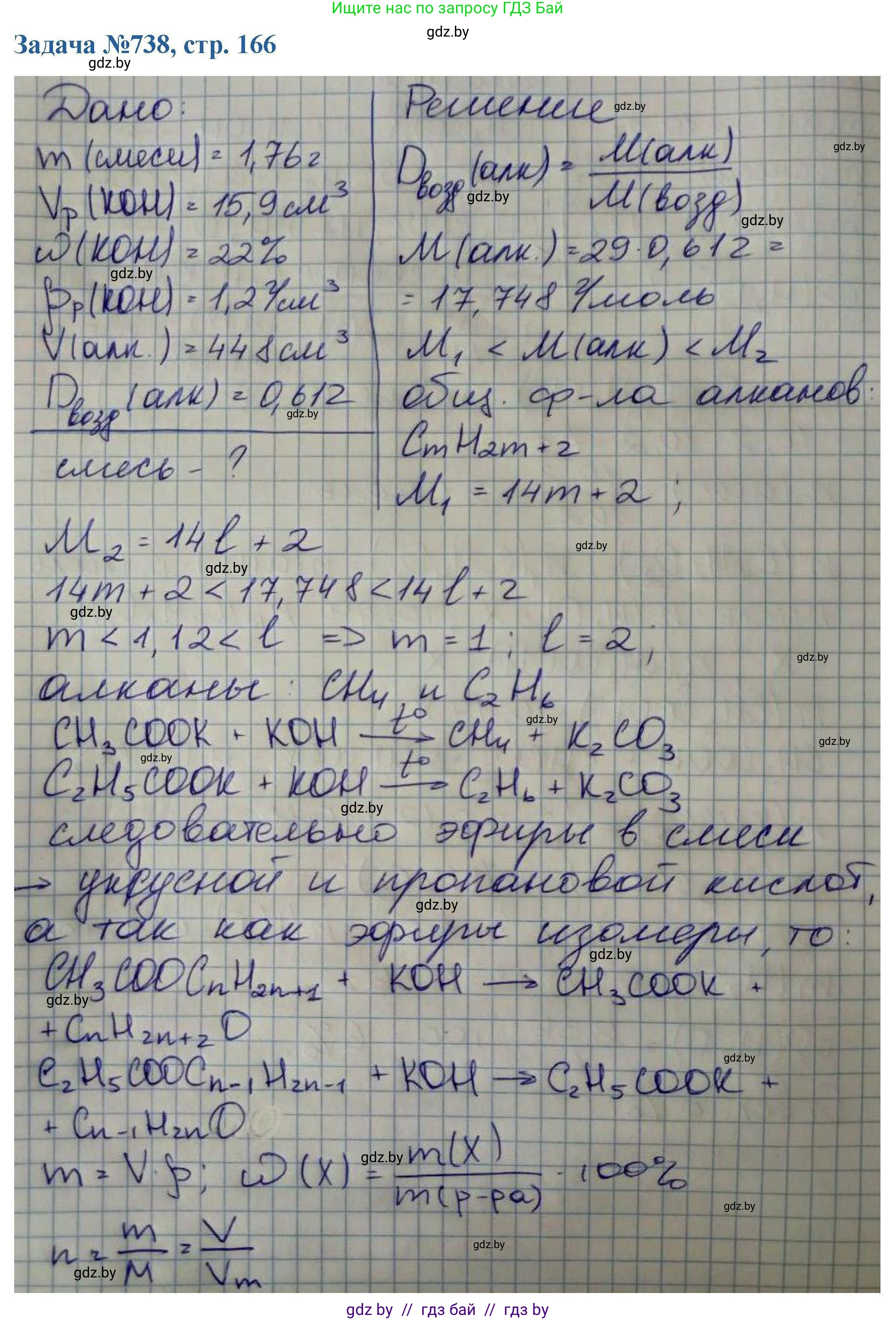
738. *Смесь изомерных сложных эфиров массой 1,76 г нагрели с $15,9 \text{ см}^3$ $22\%$-ного по массе водного раствора гидроксида калия (плотность раствора равна $1,2 \text{ г/см}^3$), затем раствор упарили, твердый остаток прокалили. При прокаливании выделилось $448 \text{ см}^3$ (н. у.) смеси алканов с плотностью по воздуху 0,612. Установите качественный и количественный состав исходной смеси и твердого остатка после прокаливания.

Решение. №738 (с. 166)
Химия, 10 класс Сборник задач, авторы: Матулис Вадим Эдвардович, Матулис Виталий Эдвардович, Колевич Татьяна Александровна, издательство Национальный институт образования, Минск, 2021, страница 166, номер 738, Решение Химия, 10 класс Сборник задач, авторы: Матулис Вадим Эдвардович, Матулис Виталий Эдвардович, Колевич Татьяна Александровна, издательство Национальный институт образования, Минск, 2021, страница 166, номер 738, Решение (продолжение 2)
Решение 2. №738 (с. 166)

Дано:

$m(\text{смеси эфиров}) = 1,76 \text{ г} = 1,76 \cdot 10^{-3} \text{ кг}$

$V(\text{р-ра } KOH) = 15,9 \text{ см}^3 = 15,9 \cdot 10^{-6} \text{ м}^3$

$w(KOH) = 22\% = 0,22$

$\rho(\text{р-ра } KOH) = 1,2 \text{ г/см}^3 = 1200 \text{ кг/м}^3$

$V(\text{смеси алканов}) = 448 \text{ см}^3 = 4,48 \cdot 10^{-4} \text{ м}^3 \text{ (н. у.)}$

$D_{\text{воздух}}(\text{смеси алканов}) = 0,612$

Найти:

Качественный и количественный состав исходной смеси.

Качественный и количественный состав твердого остатка после прокаливания.

Решение:

1. Запишем уравнения протекающих реакций:

а) Щелочной гидролиз (омыление) сложных эфиров:

$R_1-COO-R_2 + KOH \rightarrow R_1-COOK + R_2-OH$

Поскольку исходная смесь состоит из изомерных эфиров, у них одинаковая молекулярная формула, но разное строение. При гидролизе образуются соли карбоновых кислот и спирты.

б) Прокаливание твердого остатка (солей карбоновых кислот с избытком щелочи) - реакция Дюма:

$R_1-COOK + KOH \xrightarrow{t} R_1-H + K_2CO_3$

В этой реакции образуются алканы ($R_1-H$) и карбонат калия.

2. Рассчитаем начальное количество вещества гидроксида калия:

Масса раствора $KOH$: $m(\text{р-ра}) = V \cdot \rho = 15,9 \text{ см}^3 \cdot 1,2 \text{ г/см}^3 = 19,08 \text{ г}$.

Масса $KOH$: $m(KOH) = m(\text{р-ра}) \cdot w(KOH) = 19,08 \text{ г} \cdot 0,22 = 4,1976 \text{ г}$.

Молярная масса $KOH$: $M(KOH) = 39 + 16 + 1 = 56 \text{ г/моль}$.

Количество вещества $KOH$: $n(KOH) = \frac{m(KOH)}{M(KOH)} = \frac{4,1976 \text{ г}}{56 \text{ г/моль}} \approx 0,075 \text{ моль}$.

3. Проанализируем состав смеси алканов, выделившейся при прокаливании.

Количество вещества смеси алканов: $n(\text{алканов}) = \frac{V}{V_m} = \frac{0,448 \text{ л}}{22,4 \text{ л/моль}} = 0,02 \text{ моль}$.

Средняя молярная масса смеси алканов: $M_{\text{ср}}(\text{алканов}) = D_{\text{воздух}} \cdot M_{\text{воздух}} = 0,612 \cdot 29 \text{ г/моль} \approx 17,75 \text{ г/моль}$.

Такая низкая молярная масса возможна, если смесь состоит из самых легких алканов: метана ($CH_4, M=16$ г/моль) и этана ($C_2H_6, M=30$ г/моль).

Пусть мольная доля метана в смеси равна $x$, тогда мольная доля этана $(1-x)$.

$M_{\text{ср}} = M(CH_4) \cdot x + M(C_2H_6) \cdot (1-x)$

$17,75 = 16x + 30(1-x) \Rightarrow 17,75 = 16x + 30 - 30x \Rightarrow 14x = 12,25 \Rightarrow x = 0,875$.

Таким образом, смесь алканов на 87,5% состоит из метана и на 12,5% из этана.

Найдем количество вещества каждого алкана:

$n(CH_4) = n(\text{алканов}) \cdot x = 0,02 \text{ моль} \cdot 0,875 = 0,0175 \text{ моль}$.

$n(C_2H_6) = n(\text{алканов}) \cdot (1-x) = 0,02 \text{ моль} \cdot 0,125 = 0,0025 \text{ моль}$.

4. Установим строение исходных сложных эфиров.

Метан ($CH_4$) образовался из ацетата калия ($CH_3COOK$): $n(CH_3COOK) = n(CH_4) = 0,0175 \text{ моль}$.

Этан ($C_2H_6$) образовался из пропионата калия ($C_2H_5COOK$): $n(C_2H_5COOK) = n(C_2H_6) = 0,0025 \text{ моль}$.

Эти соли образовались при гидролизе соответствующих эфиров. Следовательно, в исходной смеси был эфир уксусной кислоты и эфир пропионовой кислоты.

Общее количество вещества прогидролизовавших эфиров: $n(\text{эфиров}) = n(CH_3COOK) + n(C_2H_5COOK) = 0,0175 + 0,0025 = 0,02 \text{ моль}$.

Найдем молярную массу эфиров: $M(\text{эфиров}) = \frac{m(\text{эфиров})}{n(\text{эфиров})} = \frac{1,76 \text{ г}}{0,02 \text{ моль}} = 88 \text{ г/моль}$.

Общая формула насыщенных одноосновных карбоновых кислот $C_n H_{2n} O_2$.

$12n + 2n + 32 = 88 \Rightarrow 14n = 56 \Rightarrow n=4$.

Молекулярная формула эфиров – $C_4H_8O_2$.

Исходя из того, что один эфир - производное уксусной кислоты ($CH_3COOH$), а другой - пропионовой ($C_2H_5COOH$), определим их строение:

Эфир 1: $CH_3COO-R$. Чтобы формула была $C_4H_8O_2$, радикал $R$ должен быть $C_2H_5$. Это этилацетат $CH_3COOC_2H_5$.

Эфир 2: $C_2H_5COO-R'$. Чтобы формула была $C_4H_8O_2$, радикал $R'$ должен быть $CH_3$. Это метилпропионат $C_2H_5COOCH_3$.

Качественный и количественный состав исходной смеси

Исходная смесь состоит из этилацетата ($CH_3COOC_2H_5$) и метилпропионата ($C_2H_5COOCH_3$).

Количество вещества этилацетата: $n(CH_3COOC_2H_5) = n(CH_3COOK) = 0,0175 \text{ моль}$.

Масса этилацетата: $m(CH_3COOC_2H_5) = n \cdot M = 0,0175 \text{ моль} \cdot 88 \text{ г/моль} = 1,54 \text{ г}$.

Количество вещества метилпропионата: $n(C_2H_5COOCH_3) = n(C_2H_5COOK) = 0,0025 \text{ моль}$.

Масса метилпропионата: $m(C_2H_5COOCH_3) = n \cdot M = 0,0025 \text{ моль} \cdot 88 \text{ г/моль} = 0,22 \text{ г}$.

Массовые доли в исходной смеси:

$w(CH_3COOC_2H_5) = \frac{1,54 \text{ г}}{1,76 \text{ г}} \cdot 100\% = 87,5\%$

$w(C_2H_5COOCH_3) = \frac{0,22 \text{ г}}{1,76 \text{ г}} \cdot 100\% = 12,5\%$

Ответ: Исходная смесь состояла из 1,54 г (87,5%) этилацетата и 0,22 г (12,5%) метилпропионата.

Качественный и количественный состав твердого остатка после прокаливания

Твердый остаток после прокаливания состоит из карбоната калия ($K_2CO_3$), образовавшегося в реакции Дюма, и избытка гидроксида калия ($KOH$).

Рассчитаем количество вещества $KOH$, вступившего в реакции:

На омыление: $n_1(KOH) = n(\text{эфиров}) = 0,02 \text{ моль}$.

На реакцию Дюма: $n_2(KOH) = n(\text{алканов}) = 0,02 \text{ моль}$.

Общее количество прореагировавшего $KOH$: $n_{\text{реаг.}}(KOH) = 0,02 + 0,02 = 0,04 \text{ моль}$.

Количество вещества избыточного $KOH$: $n_{\text{изб.}}(KOH) = n_{\text{нач.}}(KOH) - n_{\text{реаг.}}(KOH) = 0,075 - 0,04 = 0,035 \text{ моль}$.

Масса избыточного $KOH$: $m_{\text{изб.}}(KOH) = 0,035 \text{ моль} \cdot 56 \text{ г/моль} = 1,96 \text{ г}$.

Количество вещества образовавшегося $K_2CO_3$: $n(K_2CO_3) = n(\text{алканов}) = 0,02 \text{ моль}$.

Молярная масса $K_2CO_3$: $M(K_2CO_3) = 2 \cdot 39 + 12 + 3 \cdot 16 = 138 \text{ г/моль}$.

Масса $K_2CO_3$: $m(K_2CO_3) = 0,02 \text{ моль} \cdot 138 \text{ г/моль} = 2,76 \text{ г}$.

Общая масса твердого остатка: $m(\text{остатка}) = m_{\text{изб.}}(KOH) + m(K_2CO_3) = 1,96 \text{ г} + 2,76 \text{ г} = 4,72 \text{ г}$.

Массовые доли в твердом остатке:

$w(K_2CO_3) = \frac{2,76 \text{ г}}{4,72 \text{ г}} \cdot 100\% \approx 58,47\%$

$w(KOH) = \frac{1,96 \text{ г}}{4,72 \text{ г}} \cdot 100\% \approx 41,53\%$

Ответ: Твердый остаток после прокаливания состоял из 2,76 г (58,47%) карбоната калия и 1,96 г (41,53%) гидроксида калия.

Помогло решение? Оставьте отзыв в комментариях ниже.

Присоединяйтесь к Телеграм-группе @gdz_by_belarus

Присоединиться

Мы подготовили для вас ответ c подробным объяснением домашего задания по химии за 10 класс, для упражнения номер 738 расположенного на странице 166 к сборнику задач 2021 года издания для учащихся школ и гимназий.

Теперь на нашем сайте ГДЗ.ТОП вы всегда легко и бесплатно найдёте условие с правильным ответом на вопрос «Как решить ДЗ» и «Как сделать» задание по химии к упражнению №738 (с. 166), авторов: Матулис (Вадим Эдвардович), Матулис (Виталий Эдвардович), Колевич (Татьяна Александровна), базовый и повышенный уровень обучения учебного пособия издательства Национальный институт образования.