Номер 11, страница 14 - гдз по алгебре 11 класс сборник задач Арефьева, Пирютко

Алгебра, 11 класс Сборник задач, авторы: Арефьева Ирина Глебовна, Пирютко Ольга Николаевна, издательство Народная асвета, Минск, 2020, белого цвета

Авторы: Арефьева И. Г., Пирютко О. Н.

Тип: Сборник задач

Издательство: Народная асвета

Год издания: 2020 - 2026

Уровень обучения: базовый и повышенный

Цвет обложки: белый с графиком

Допущено Министерством образования Республики Беларусь

Популярные ГДЗ в 11 классе

Глава 1. Обобщение понятия степени. Параграф 3. Определение логарифма числа. Основное логарифмическое тождество - номер 11, страница 14.

№11 (с. 14)
Условие. №11 (с. 14)
скриншот условия
Алгебра, 11 класс Сборник задач, авторы: Арефьева Ирина Глебовна, Пирютко Ольга Николаевна, издательство Народная асвета, Минск, 2020, белого цвета, страница 14, номер 11, Условие

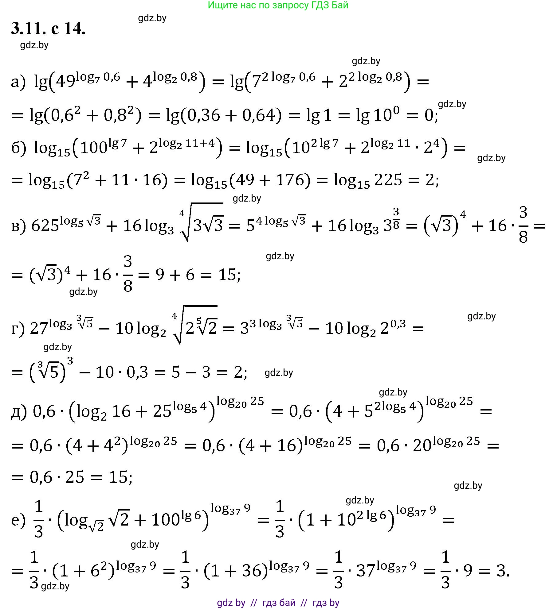
3.11. Найдите значение выражения:

а) $\lg\left(49^{\log_7 0,6} + 4^{\log_2 0,8}\right)$;

б) $\log_{15}\left(100^{\lg 7} + 2^{\log_2 11 + 4}\right)$;

в) $625^{\log_5 \sqrt{3}} + 16\log_3 \sqrt[4]{3\sqrt{3}}$;

г) $27^{\log_3 \sqrt[3]{5}} - 10\log_2 \sqrt[4]{2^5\sqrt{2}}$;

д) $0,6 \cdot \left(\log_2 16 + 25^{\log_5 4}\right)^{\log_{20} 25}$;

е) $\frac{1}{3} \cdot \left(\log_{\sqrt{2}} \sqrt{2} + 100^{\lg 6}\right)^{\log_{37} 9}$.

Решение. №11 (с. 14)
Алгебра, 11 класс Сборник задач, авторы: Арефьева Ирина Глебовна, Пирютко Ольга Николаевна, издательство Народная асвета, Минск, 2020, белого цвета, страница 14, номер 11, Решение
Решение 2. №11 (с. 14)

а) $ \lg(49^{\log_7 0,6} + 4^{\log_2 0,8}) $
Для решения используем основное логарифмическое тождество $a^{\log_a b} = b$ и свойства логарифмов и степеней.
1. Упростим первое слагаемое в скобках:
$ 49^{\log_7 0,6} = (7^2)^{\log_7 0,6} = 7^{2\log_7 0,6} = 7^{\log_7 (0,6)^2} = (0,6)^2 = 0,36 $.
2. Упростим второе слагаемое в скобках:
$ 4^{\log_2 0,8} = (2^2)^{\log_2 0,8} = 2^{2\log_2 0,8} = 2^{\log_2 (0,8)^2} = (0,8)^2 = 0,64 $.
3. Подставим полученные значения в исходное выражение:
$ \lg(0,36 + 0,64) = \lg(1) $.
4. Логарифм единицы по любому основанию равен нулю:
$ \lg(1) = 0 $.
Ответ: 0

б) $ \log_{15}(100^{\lg 7} + 2^{\log_2 11 + 4}) $
1. Упростим первое слагаемое в скобках, помня что $ \lg 7 = \log_{10} 7 $:
$ 100^{\lg 7} = (10^2)^{\log_{10} 7} = 10^{2\log_{10} 7} = 10^{\log_{10} 7^2} = 7^2 = 49 $.
2. Упростим второе слагаемое, используя свойство степени $a^{m+n} = a^m \cdot a^n$:
$ 2^{\log_2 11 + 4} = 2^{\log_2 11} \cdot 2^4 = 11 \cdot 16 = 176 $.
3. Подставим значения в выражение:
$ \log_{15}(49 + 176) = \log_{15}(225) $.
4. Так как $ 15^2 = 225 $, то:
$ \log_{15}(225) = 2 $.
Ответ: 2

в) $ 625^{\log_5 \sqrt{3}} + 16\log_3 \sqrt[4]{3\sqrt{3}} $
1. Упростим первое слагаемое:
$ 625^{\log_5 \sqrt{3}} = (5^4)^{\log_5 \sqrt{3}} = 5^{4\log_5 \sqrt{3}} = 5^{\log_5 (\sqrt{3})^4} = (\sqrt{3})^4 = (3^{1/2})^4 = 3^2 = 9 $.
2. Упростим второе слагаемое. Сначала преобразуем выражение под знаком логарифма:
$ \sqrt[4]{3\sqrt{3}} = \sqrt[4]{3^1 \cdot 3^{1/2}} = \sqrt[4]{3^{3/2}} = (3^{3/2})^{1/4} = 3^{3/8} $.
Теперь само слагаемое:
$ 16\log_3 (3^{3/8}) = 16 \cdot \frac{3}{8} = 2 \cdot 3 = 6 $.
3. Сложим полученные результаты:
$ 9 + 6 = 15 $.
Ответ: 15

г) $ 27^{\log_3 \sqrt[3]{5}} - 10\log_2 \sqrt[4]{2\sqrt[5]{2}} $
1. Упростим уменьшаемое:
$ 27^{\log_3 \sqrt[3]{5}} = (3^3)^{\log_3 5^{1/3}} = 3^{3\log_3 5^{1/3}} = 3^{\log_3 (5^{1/3})^3} = 3^{\log_3 5} = 5 $.
2. Упростим вычитаемое. Сначала преобразуем выражение под знаком логарифма:
$ \sqrt[4]{2\sqrt[5]{2}} = \sqrt[4]{2^1 \cdot 2^{1/5}} = \sqrt[4]{2^{6/5}} = (2^{6/5})^{1/4} = 2^{6/20} = 2^{3/10} $.
Теперь само вычитаемое:
$ 10\log_2 (2^{3/10}) = 10 \cdot \frac{3}{10} = 3 $.
3. Найдем разность:
$ 5 - 3 = 2 $.
Ответ: 2

д) $ 0,6 \cdot (\log_2 16 + 25^{\log_5 4})^{\log_{20} 25} $
1. Вычислим значение выражения в скобках:
$ \log_2 16 = \log_2 2^4 = 4 $.
$ 25^{\log_5 4} = (5^2)^{\log_5 4} = 5^{2\log_5 4} = 5^{\log_5 4^2} = 16 $.
Таким образом, выражение в скобках равно $ 4 + 16 = 20 $.
2. Подставим результат в исходное выражение:
$ 0,6 \cdot (20)^{\log_{20} 25} $.
3. Используя основное логарифмическое тождество, $ (20)^{\log_{20} 25} = 25 $.
4. Выполним умножение:
$ 0,6 \cdot 25 = \frac{3}{5} \cdot 25 = 3 \cdot 5 = 15 $.
Ответ: 15

е) $ \frac{1}{3} \cdot (\log_{\sqrt{2}} \sqrt{2} + 100^{\lg 6})^{\log_{37} 9} $
1. Вычислим значение выражения в скобках:
$ \log_{\sqrt{2}} \sqrt{2} = 1 $ (так как логарифм числа по основанию, равному этому числу, равен 1).
$ 100^{\lg 6} = (10^2)^{\log_{10} 6} = 10^{2\log_{10} 6} = 10^{\log_{10} 6^2} = 36 $.
Таким образом, выражение в скобках равно $ 1 + 36 = 37 $.
2. Подставим результат в исходное выражение:
$ \frac{1}{3} \cdot (37)^{\log_{37} 9} $.
3. Используя основное логарифмическое тождество, $ (37)^{\log_{37} 9} = 9 $.
4. Выполним умножение:
$ \frac{1}{3} \cdot 9 = 3 $.
Ответ: 3

Помогло решение? Оставьте отзыв в комментариях ниже.

Присоединяйтесь к Телеграм-группе @gdz_by_belarus

Присоединиться

Мы подготовили для вас ответ c подробным объяснением домашего задания по алгебре за 11 класс, для упражнения номер 11 расположенного на странице 14 к сборнику задач 2020 года издания для учащихся школ и гимназий.

Теперь на нашем сайте ГДЗ.ТОП вы всегда легко и бесплатно найдёте условие с правильным ответом на вопрос «Как решить ДЗ» и «Как сделать» задание по алгебре к упражнению №11 (с. 14), авторов: Арефьева (Ирина Глебовна), Пирютко (Ольга Николаевна), базовый и повышенный уровень обучения учебного пособия издательства Народная асвета.