Номер 5, страница 13 - гдз по алгебре 11 класс сборник задач Арефьева, Пирютко

Алгебра, 11 класс Сборник задач, авторы: Арефьева Ирина Глебовна, Пирютко Ольга Николаевна, издательство Народная асвета, Минск, 2020, белого цвета

Авторы: Арефьева И. Г., Пирютко О. Н.

Тип: Сборник задач

Издательство: Народная асвета

Год издания: 2020 - 2026

Уровень обучения: базовый и повышенный

Цвет обложки: белый с графиком

Допущено Министерством образования Республики Беларусь

Популярные ГДЗ в 11 классе

Глава 1. Обобщение понятия степени. Параграф 3. Определение логарифма числа. Основное логарифмическое тождество - номер 5, страница 13.

№5 (с. 13)
Условие. №5 (с. 13)
скриншот условия
Алгебра, 11 класс Сборник задач, авторы: Арефьева Ирина Глебовна, Пирютко Ольга Николаевна, издательство Народная асвета, Минск, 2020, белого цвета, страница 13, номер 5, Условие

3.5. Определите, рациональным или иррациональным числом является значение выражения:

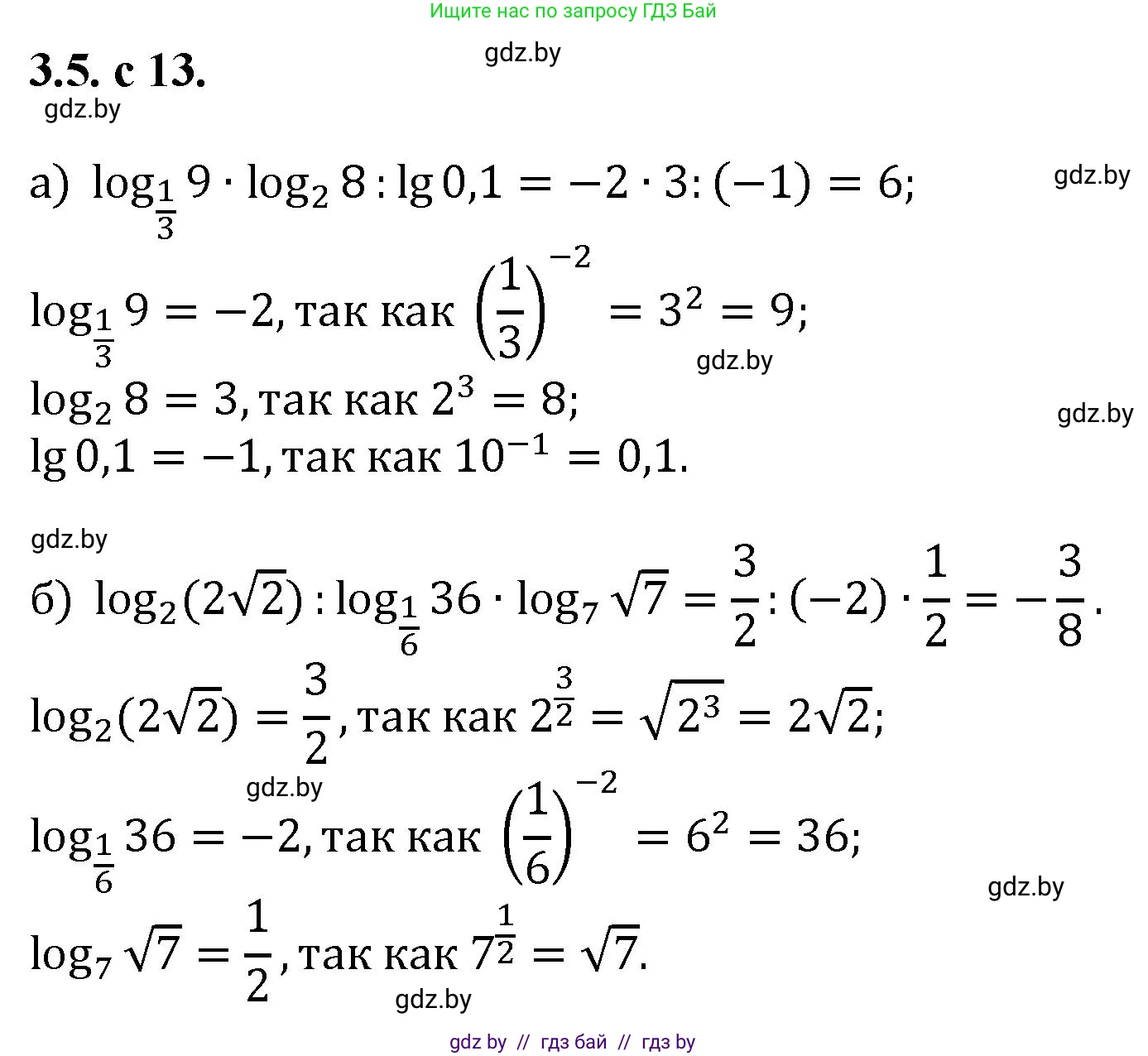
a) $\log_{\frac{1}{3}} 9 \cdot \log_2 8 : \lg 0,1;$

б) $\log_2 (2\sqrt{2}) : \log_{\frac{1}{6}} 36 \cdot \log_7 \sqrt{7}.$

Решение. №5 (с. 13)
Алгебра, 11 класс Сборник задач, авторы: Арефьева Ирина Глебовна, Пирютко Ольга Николаевна, издательство Народная асвета, Минск, 2020, белого цвета, страница 13, номер 5, Решение
Решение 2. №5 (с. 13)

Для определения, является ли значение выражения рациональным или иррациональным числом, необходимо вычислить значение каждого выражения.

Рациональное число — это число, которое можно представить в виде дроби $\frac{m}{n}$, где $m$ — целое число, а $n$ — натуральное число. К рациональным числам относятся все целые числа, обыкновенные дроби, конечные десятичные дроби и бесконечные периодические десятичные дроби.

Иррациональное число — это вещественное число, которое не является рациональным, то есть не может быть представлено в виде дроби $\frac{m}{n}$.

а) $\log_{\frac{1}{3}}9 \cdot \log_2 8 : \lg 0,1$

Вычислим значение каждого логарифма по отдельности, используя определение логарифма $\log_a b = c \Leftrightarrow a^c = b$.

  • $\log_{\frac{1}{3}}9$. Найдем степень $x$, в которую нужно возвести основание $\frac{1}{3}$, чтобы получить 9.
    $(\frac{1}{3})^x = 9$
    Представим обе части уравнения с основанием 3:
    $(3^{-1})^x = 3^2$
    $3^{-x} = 3^2$
    $-x = 2 \Rightarrow x = -2$.
    Следовательно, $\log_{\frac{1}{3}}9 = -2$.
  • $\log_2 8$. Найдем степень $y$, в которую нужно возвести основание 2, чтобы получить 8.
    $2^y = 8$
    $2^y = 2^3 \Rightarrow y = 3$.
    Следовательно, $\log_2 8 = 3$.
  • $\lg 0,1$. Десятичный логарифм имеет основание 10. Найдем степень $z$, в которую нужно возвести 10, чтобы получить 0,1.
    $10^z = 0,1$
    $10^z = 10^{-1} \Rightarrow z = -1$.
    Следовательно, $\lg 0,1 = -1$.

Теперь подставим найденные значения в исходное выражение и выполним действия в порядке их следования:

$\log_{\frac{1}{3}}9 \cdot \log_2 8 : \lg 0,1 = (-2) \cdot 3 : (-1) = -6 : (-1) = 6$.

Полученное число 6 является целым. Любое целое число является рациональным, так как его можно представить в виде дроби (например, $6 = \frac{6}{1}$).

Ответ: 6 — рациональное число.

б) $\log_2(2\sqrt{2}) : \log_{\frac{1}{6}}36 \cdot \log_7\sqrt{7}$

Вычислим значение каждого логарифма по отдельности, используя свойства степеней и логарифмов.

  • $\log_2(2\sqrt{2})$. Сначала преобразуем выражение под знаком логарифма: $2\sqrt{2} = 2^1 \cdot 2^{\frac{1}{2}} = 2^{1+\frac{1}{2}} = 2^{\frac{3}{2}}$.
    Тогда $\log_2(2\sqrt{2}) = \log_2(2^{\frac{3}{2}}) = \frac{3}{2}$.
  • $\log_{\frac{1}{6}}36$. Найдем степень $y$, в которую нужно возвести основание $\frac{1}{6}$, чтобы получить 36.
    $(\frac{1}{6})^y = 36$
    $(6^{-1})^y = 6^2$
    $6^{-y} = 6^2$
    $-y = 2 \Rightarrow y = -2$.
    Следовательно, $\log_{\frac{1}{6}}36 = -2$.
  • $\log_7\sqrt{7}$. Преобразуем аргумент логарифма: $\sqrt{7} = 7^{\frac{1}{2}}$.
    Тогда $\log_7\sqrt{7} = \log_7(7^{\frac{1}{2}}) = \frac{1}{2}$.

Подставим найденные значения в выражение и выполним действия в порядке их следования (умножение и деление выполняются слева направо):

$\log_2(2\sqrt{2}) : \log_{\frac{1}{6}}36 \cdot \log_7\sqrt{7} = \frac{3}{2} : (-2) \cdot \frac{1}{2} = (\frac{3}{2} \cdot (-\frac{1}{2})) \cdot \frac{1}{2} = -\frac{3}{4} \cdot \frac{1}{2} = -\frac{3}{8}$.

Полученное число $-\frac{3}{8}$ является обыкновенной дробью, где числитель и знаменатель — целые числа. Следовательно, это рациональное число. Дробь является правильной, поэтому выделение целой части не требуется.

Ответ: $-\frac{3}{8}$ — рациональное число.

Помогло решение? Оставьте отзыв в комментариях ниже.

Присоединяйтесь к Телеграм-группе @gdz_by_belarus

Присоединиться

Мы подготовили для вас ответ c подробным объяснением домашего задания по алгебре за 11 класс, для упражнения номер 5 расположенного на странице 13 к сборнику задач 2020 года издания для учащихся школ и гимназий.

Теперь на нашем сайте ГДЗ.ТОП вы всегда легко и бесплатно найдёте условие с правильным ответом на вопрос «Как решить ДЗ» и «Как сделать» задание по алгебре к упражнению №5 (с. 13), авторов: Арефьева (Ирина Глебовна), Пирютко (Ольга Николаевна), базовый и повышенный уровень обучения учебного пособия издательства Народная асвета.