Номер 9, страница 14 - гдз по алгебре 11 класс сборник задач Арефьева, Пирютко

Алгебра, 11 класс Сборник задач, авторы: Арефьева Ирина Глебовна, Пирютко Ольга Николаевна, издательство Народная асвета, Минск, 2020, белого цвета

Авторы: Арефьева И. Г., Пирютко О. Н.

Тип: Сборник задач

Издательство: Народная асвета

Год издания: 2020 - 2026

Уровень обучения: базовый и повышенный

Цвет обложки: белый с графиком

Допущено Министерством образования Республики Беларусь

Популярные ГДЗ в 11 классе

Глава 1. Обобщение понятия степени. Параграф 3. Определение логарифма числа. Основное логарифмическое тождество - номер 9, страница 14.

№9 (с. 14)
Условие. №9 (с. 14)
скриншот условия
Алгебра, 11 класс Сборник задач, авторы: Арефьева Ирина Глебовна, Пирютко Ольга Николаевна, издательство Народная асвета, Минск, 2020, белого цвета, страница 14, номер 9, Условие

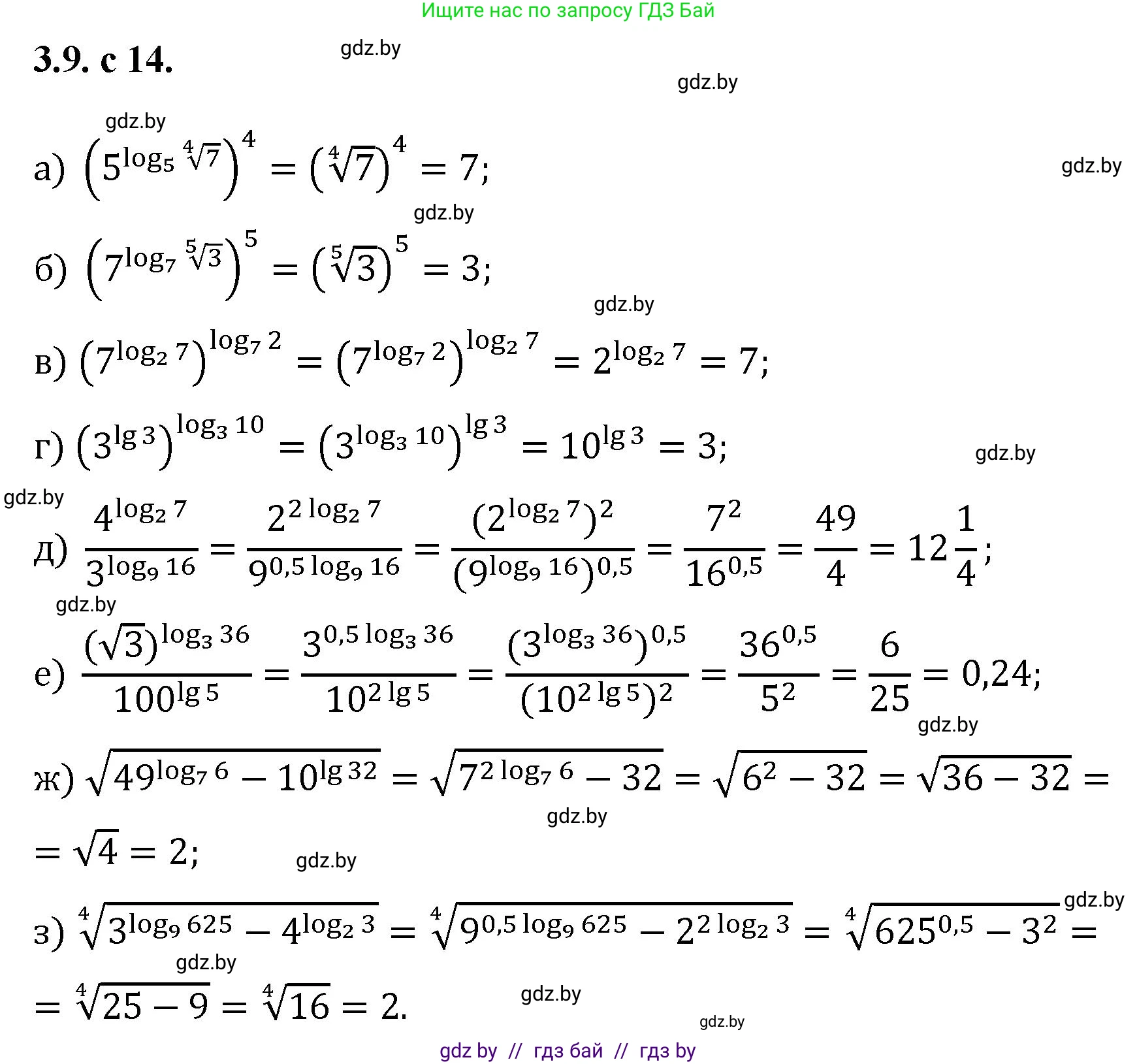
3.9. Найдите значение выражения:

а) $$(5^{\log_5 \sqrt[4]{7}})^4$$

б) $$(7^{\log_7 \sqrt[5]{3}})^5$$

в) $$(7^{\log_2 7})^{\log_7 2}$$

г) $$(3^{\lg 3})^{\log_3 10}$$

д) $$\frac{4^{\log_2 7}}{3^{\log_9 16}}$$

е) $$\frac{(\sqrt{3})^{\log_3 36}}{100^{\lg 5}}$$

ж) $$\sqrt{49^{\log_7 6} - 10^{\lg 32}}$$

з) $$\sqrt[4]{3^{\log_9 625} - 4^{\log_2 3}}$$

Решение. №9 (с. 14)
Алгебра, 11 класс Сборник задач, авторы: Арефьева Ирина Глебовна, Пирютко Ольга Николаевна, издательство Народная асвета, Минск, 2020, белого цвета, страница 14, номер 9, Решение
Решение 2. №9 (с. 14)

а) Для решения используем основное логарифмическое тождество $a^{\log_a b} = b$ и свойство степени $(x^m)^n = x^{m \cdot n}$.
$(5^{\log_5 \sqrt[4]{7}})^4 = 5^{\log_5 (7^{1/4}) \cdot 4} = 5^{4 \cdot \frac{1}{4} \log_5 7} = 5^{\log_5 7} = 7$.
Ответ: 7.

б) Решается аналогично пункту а).
$(7^{\log_7 \sqrt[5]{3}})^5 = 7^{\log_7 (3^{1/5}) \cdot 5} = 7^{5 \cdot \frac{1}{5} \log_7 3} = 7^{\log_7 3} = 3$.
Ответ: 3.

в) Используем свойство степени $(x^m)^n = x^{m \cdot n}$ и свойство логарифмов $\log_a b \cdot \log_b a = 1$.
$(7^{\log_2 7})^{\log_7 2} = 7^{\log_2 7 \cdot \log_7 2}$.
Так как $\log_2 7 \cdot \log_7 2 = 1$, то выражение равно $7^1 = 7$.
Ответ: 7.

г) Используем те же свойства, что и в пункте в). Учтем, что $\lg 3 = \log_{10} 3$.
$(3^{\lg 3})^{\log_3 10} = 3^{\log_{10} 3 \cdot \log_3 10}$.
Так как $\log_{10} 3 \cdot \log_3 10 = 1$, то выражение равно $3^1 = 3$.
Ответ: 3.

д) Преобразуем числитель и знаменатель по отдельности.
Числитель: $4^{\log_2 7} = (2^2)^{\log_2 7} = 2^{2 \log_2 7} = 2^{\log_2 7^2} = 2^{\log_2 49} = 49$.
Знаменатель: $3^{\log_9 16} = 3^{\log_{3^2} 4^2} = 3^{\frac{2}{2} \log_3 4} = 3^{\log_3 4} = 4$.
Получаем дробь: $\frac{49}{4}$. Выделим целую часть: $49 \div 4 = 12$ и $1$ в остатке.
$\frac{49}{4} = 12\frac{1}{4}$.
Ответ: 12$\frac{1}{4}$.

е) Преобразуем числитель и знаменатель по отдельности.
Числитель: $(\sqrt{3})^{\log_3 36} = (3^{1/2})^{\log_3 36} = 3^{\frac{1}{2} \log_3 36} = 3^{\log_3 36^{1/2}} = 3^{\log_3 \sqrt{36}} = 3^{\log_3 6} = 6$.
Знаменатель: $100^{\lg 5} = (10^2)^{\log_{10} 5} = 10^{2 \log_{10} 5} = 10^{\log_{10} 5^2} = 10^{\log_{10} 25} = 25$.
Получаем дробь: $\frac{6}{25}$.
Ответ: $\frac{6}{25}$.

ж) Сначала вычислим выражение под корнем.
$49^{\log_7 6} = (7^2)^{\log_7 6} = 7^{2 \log_7 6} = 7^{\log_7 6^2} = 7^{\log_7 36} = 36$.
$10^{\lg 32} = 10^{\log_{10} 32} = 32$.
Подставляем значения в исходное выражение: $\sqrt{36 - 32} = \sqrt{4} = 2$.
Ответ: 2.

з) Сначала вычислим выражение под корнем.
$3^{\log_9 625} = 3^{\log_{3^2} 25^2} = 3^{\frac{2}{2} \log_3 25} = 3^{\log_3 25} = 25$.
$4^{\log_2 3} = (2^2)^{\log_2 3} = 2^{2 \log_2 3} = 2^{\log_2 3^2} = 2^{\log_2 9} = 9$.
Подставляем значения в исходное выражение: $\sqrt[4]{25 - 9} = \sqrt[4]{16} = 2$.
Ответ: 2.

Помогло решение? Оставьте отзыв в комментариях ниже.

Присоединяйтесь к Телеграм-группе @gdz_by_belarus

Присоединиться

Мы подготовили для вас ответ c подробным объяснением домашего задания по алгебре за 11 класс, для упражнения номер 9 расположенного на странице 14 к сборнику задач 2020 года издания для учащихся школ и гимназий.

Теперь на нашем сайте ГДЗ.ТОП вы всегда легко и бесплатно найдёте условие с правильным ответом на вопрос «Как решить ДЗ» и «Как сделать» задание по алгебре к упражнению №9 (с. 14), авторов: Арефьева (Ирина Глебовна), Пирютко (Ольга Николаевна), базовый и повышенный уровень обучения учебного пособия издательства Народная асвета.