Номер 20, страница 31 - гдз по алгебре 11 класс сборник задач Арефьева, Пирютко

Алгебра, 11 класс Сборник задач, авторы: Арефьева Ирина Глебовна, Пирютко Ольга Николаевна, издательство Народная асвета, Минск, 2020, белого цвета

Авторы: Арефьева И. Г., Пирютко О. Н.

Тип: Сборник задач

Издательство: Народная асвета

Год издания: 2020 - 2026

Уровень обучения: базовый и повышенный

Цвет обложки: белый с графиком

Допущено Министерством образования Республики Беларусь

Популярные ГДЗ в 11 классе

Глава 2. Показательная функция. Параграф 5. Показательные уравнения - номер 20, страница 31.

№20 (с. 31)
Условие. №20 (с. 31)
скриншот условия
Алгебра, 11 класс Сборник задач, авторы: Арефьева Ирина Глебовна, Пирютко Ольга Николаевна, издательство Народная асвета, Минск, 2020, белого цвета, страница 31, номер 20, Условие

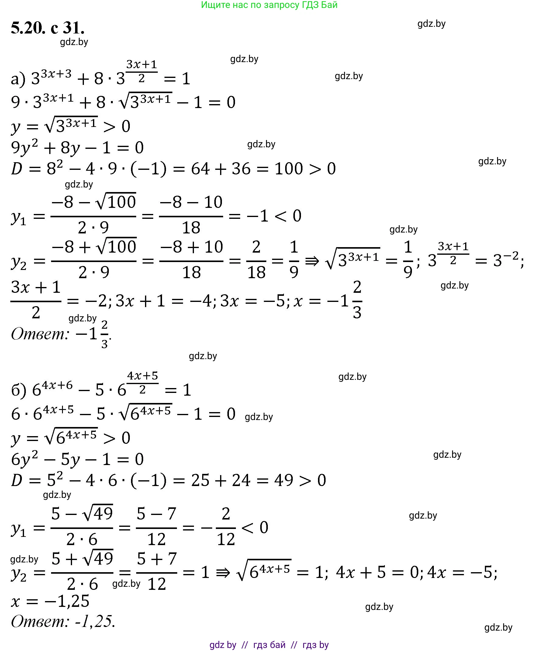
5.20. Решите уравнение:

a) $3^{3x+3} + 8 \cdot 3^{\frac{3x+1}{2}} = 1$;

б) $6^{4x+6} - 5 \cdot 6^{\frac{4x+5}{2}} = 1.$

Решение. №20 (с. 31)
Алгебра, 11 класс Сборник задач, авторы: Арефьева Ирина Глебовна, Пирютко Ольга Николаевна, издательство Народная асвета, Минск, 2020, белого цвета, страница 31, номер 20, Решение
Решение 2. №20 (с. 31)

а) $3^{3x+3} + 8 \cdot 3^{\frac{3x+1}{2}} = 1$

Преобразуем первый член уравнения, чтобы привести степени к общему виду. Заметим, что показатель степени $3x+3$ можно выразить через $\frac{3x+1}{2}$.

$3x+3 = (3x+1) + 2$.
Следовательно, $3^{3x+3} = 3^{(3x+1)+2} = 3^{3x+1} \cdot 3^2 = 9 \cdot 3^{3x+1}$.

Также заметим, что $3^{3x+1} = \left(3^{\frac{3x+1}{2}}\right)^2$.

Подставим это в исходное уравнение:

$9 \cdot \left(3^{\frac{3x+1}{2}}\right)^2 + 8 \cdot 3^{\frac{3x+1}{2}} - 1 = 0$

Сделаем замену переменной. Пусть $y = 3^{\frac{3x+1}{2}}$. Поскольку основание степени $3 > 1$, то $y$ должен быть положительным ($y > 0$).

Получаем квадратное уравнение относительно $y$:

$9y^2 + 8y - 1 = 0$

Найдем дискриминант:

$D = b^2 - 4ac = 8^2 - 4 \cdot 9 \cdot (-1) = 64 + 36 = 100 = 10^2$

Найдем корни уравнения:

$y_1 = \frac{-b - \sqrt{D}}{2a} = \frac{-8 - 10}{2 \cdot 9} = \frac{-18}{18} = -1$

$y_2 = \frac{-b + \sqrt{D}}{2a} = \frac{-8 + 10}{2 \cdot 9} = \frac{2}{18} = \frac{1}{9}$

Корень $y_1 = -1$ не удовлетворяет условию $y > 0$, поэтому он является посторонним.

Рассмотрим корень $y_2 = \frac{1}{9}$ и сделаем обратную замену:

$3^{\frac{3x+1}{2}} = \frac{1}{9}$

Представим $\frac{1}{9}$ как степень с основанием 3:

$3^{\frac{3x+1}{2}} = 3^{-2}$

Так как основания степеней равны, приравниваем их показатели:

$\frac{3x+1}{2} = -2$

$3x+1 = -4$

$3x = -5$

$x = -\frac{5}{3}$

Выделим целую часть из неправильной дроби: $x = -1\frac{2}{3}$.

Ответ: $x = -1\frac{2}{3}$.


б) $6^{4x+6} - 5 \cdot 6^{\frac{4x+5}{2}} = 1$

Перенесем 1 в левую часть уравнения:

$6^{4x+6} - 5 \cdot 6^{\frac{4x+5}{2}} - 1 = 0$

Преобразуем первый член уравнения, чтобы привести степени к общему виду. Заметим, что показатель степени $4x+6$ можно выразить через $\frac{4x+5}{2}$.

$4x+6 = (4x+5) + 1$.
Следовательно, $6^{4x+6} = 6^{(4x+5)+1} = 6^{4x+5} \cdot 6^1 = 6 \cdot 6^{4x+5}$.

Также заметим, что $6^{4x+5} = \left(6^{\frac{4x+5}{2}}\right)^2$.

Подставим это в уравнение:

$6 \cdot \left(6^{\frac{4x+5}{2}}\right)^2 - 5 \cdot 6^{\frac{4x+5}{2}} - 1 = 0$

Сделаем замену переменной. Пусть $z = 6^{\frac{4x+5}{2}}$. Поскольку основание степени $6 > 1$, то $z$ должен быть положительным ($z > 0$).

Получаем квадратное уравнение относительно $z$:

$6z^2 - 5z - 1 = 0$

Найдем дискриминант:

$D = b^2 - 4ac = (-5)^2 - 4 \cdot 6 \cdot (-1) = 25 + 24 = 49 = 7^2$

Найдем корни уравнения:

$z_1 = \frac{-b - \sqrt{D}}{2a} = \frac{5 - 7}{2 \cdot 6} = \frac{-2}{12} = -\frac{1}{6}$

$z_2 = \frac{-b + \sqrt{D}}{2a} = \frac{5 + 7}{2 \cdot 6} = \frac{12}{12} = 1$

Корень $z_1 = -\frac{1}{6}$ не удовлетворяет условию $z > 0$, поэтому он является посторонним.

Рассмотрим корень $z_2 = 1$ и сделаем обратную замену:

$6^{\frac{4x+5}{2}} = 1$

Представим 1 как степень с основанием 6:

$6^{\frac{4x+5}{2}} = 6^0$

Так как основания степеней равны, приравниваем их показатели:

$\frac{4x+5}{2} = 0$

$4x+5 = 0$

$4x = -5$

$x = -\frac{5}{4}$

Выделим целую часть из неправильной дроби: $x = -1\frac{1}{4}$.

Ответ: $x = -1\frac{1}{4}$.

Помогло решение? Оставьте отзыв в комментариях ниже.

Присоединяйтесь к Телеграм-группе @gdz_by_belarus

Присоединиться

Мы подготовили для вас ответ c подробным объяснением домашего задания по алгебре за 11 класс, для упражнения номер 20 расположенного на странице 31 к сборнику задач 2020 года издания для учащихся школ и гимназий.

Теперь на нашем сайте ГДЗ.ТОП вы всегда легко и бесплатно найдёте условие с правильным ответом на вопрос «Как решить ДЗ» и «Как сделать» задание по алгебре к упражнению №20 (с. 31), авторов: Арефьева (Ирина Глебовна), Пирютко (Ольга Николаевна), базовый и повышенный уровень обучения учебного пособия издательства Народная асвета.