Номер 22, страница 32 - гдз по алгебре 11 класс сборник задач Арефьева, Пирютко

Алгебра, 11 класс Сборник задач, авторы: Арефьева Ирина Глебовна, Пирютко Ольга Николаевна, издательство Народная асвета, Минск, 2020, белого цвета

Авторы: Арефьева И. Г., Пирютко О. Н.

Тип: Сборник задач

Издательство: Народная асвета

Год издания: 2020 - 2026

Уровень обучения: базовый и повышенный

Цвет обложки: белый с графиком

Допущено Министерством образования Республики Беларусь

Популярные ГДЗ в 11 классе

Глава 2. Показательная функция. Параграф 5. Показательные уравнения - номер 22, страница 32.

№22 (с. 32)
Условие. №22 (с. 32)
скриншот условия
Алгебра, 11 класс Сборник задач, авторы: Арефьева Ирина Глебовна, Пирютко Ольга Николаевна, издательство Народная асвета, Минск, 2020, белого цвета, страница 32, номер 22, Условие

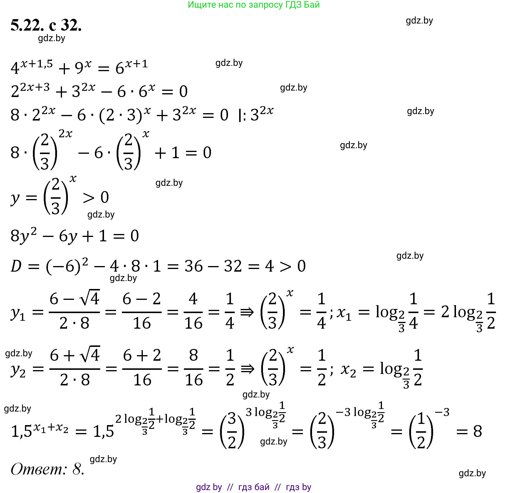
5.22. Найдите значение выражения $1,5^{x_1 + x_2}$, где $4^{x+1,5} + 9^x = 6^{x+1}$.

Решение. №22 (с. 32)
Алгебра, 11 класс Сборник задач, авторы: Арефьева Ирина Глебовна, Пирютко Ольга Николаевна, издательство Народная асвета, Минск, 2020, белого цвета, страница 32, номер 22, Решение
Решение 2. №22 (с. 32)

Для нахождения значения выражения $1,5^{x_1 + x_2}$ необходимо сначала проанализировать уравнение $4^{x+1,5} + 9^x = 6^{x+1}$, корнями которого являются $x_1$ и $x_2$.

1. Преобразуем уравнение, используя свойства степеней:

  • $4^{x+1,5} = 4^x \cdot 4^{1,5} = 4^x \cdot (2^2)^{3/2} = 4^x \cdot 2^3 = 8 \cdot 4^x$
  • $6^{x+1} = 6^x \cdot 6^1 = 6 \cdot 6^x$

Подставим преобразованные выражения обратно в уравнение:

$8 \cdot 4^x + 9^x = 6 \cdot 6^x$

2. Запишем степени с общими простыми основаниями 2 и 3:

$8 \cdot (2^x)^2 + (3^x)^2 = 6 \cdot 2^x \cdot 3^x$

Это однородное показательное уравнение. Разделим обе части уравнения на $9^x = (3^x)^2$, которое всегда положительно ($9^x > 0$):

$8 \cdot \frac{(2^x)^2}{(3^x)^2} + \frac{(3^x)^2}{(3^x)^2} = 6 \cdot \frac{2^x \cdot 3^x}{(3^x)^2}$

$8 \left(\frac{2}{3}\right)^{2x} + 1 = 6 \left(\frac{2}{3}\right)^x$

3. Выполним замену переменной. Пусть $t = \left(\frac{2}{3}\right)^x$. Так как показательная функция всегда положительна, то $t > 0$. Уравнение примет вид квадратного:

$8t^2 - 6t + 1 = 0$

4. Корни этого квадратного уравнения $t_1$ и $t_2$ связаны с корнями исходного уравнения $x_1$ и $x_2$ следующими соотношениями: $t_1 = \left(\frac{2}{3}\right)^{x_1}$ и $t_2 = \left(\frac{2}{3}\right)^{x_2}$.

Согласно теореме Виета, произведение корней квадратного уравнения $at^2+bt+c=0$ равно $\frac{c}{a}$. Для нашего уравнения $8t^2 - 6t + 1 = 0$ имеем:

$t_1 \cdot t_2 = \frac{1}{8}$

С другой стороны, произведение $t_1$ и $t_2$ можно выразить через $x_1$ и $x_2$:

$t_1 \cdot t_2 = \left(\frac{2}{3}\right)^{x_1} \cdot \left(\frac{2}{3}\right)^{x_2} = \left(\frac{2}{3}\right)^{x_1+x_2}$

Отсюда следует, что $\left(\frac{2}{3}\right)^{x_1+x_2} = \frac{1}{8}$.

5. Теперь найдем значение искомого выражения $1,5^{x_1 + x_2}$.

Представим $1,5$ в виде обыкновенной дроби: $1,5 = \frac{3}{2}$. Заметим, что $\frac{3}{2} = \left(\frac{2}{3}\right)^{-1}$.

Тогда:

$1,5^{x_1+x_2} = \left(\frac{3}{2}\right)^{x_1+x_2} = \left(\left(\frac{2}{3}\right)^{-1}\right)^{x_1+x_2} = \left(\left(\frac{2}{3}\right)^{x_1+x_2}\right)^{-1}$

Подставим найденное ранее значение $\left(\frac{2}{3}\right)^{x_1+x_2} = \frac{1}{8}$:

$\left(\frac{1}{8}\right)^{-1} = 8$

Таким образом, значение искомого выражения равно 8.

Ответ: 8

Помогло решение? Оставьте отзыв в комментариях ниже.

Присоединяйтесь к Телеграм-группе @gdz_by_belarus

Присоединиться

Мы подготовили для вас ответ c подробным объяснением домашего задания по алгебре за 11 класс, для упражнения номер 22 расположенного на странице 32 к сборнику задач 2020 года издания для учащихся школ и гимназий.

Теперь на нашем сайте ГДЗ.ТОП вы всегда легко и бесплатно найдёте условие с правильным ответом на вопрос «Как решить ДЗ» и «Как сделать» задание по алгебре к упражнению №22 (с. 32), авторов: Арефьева (Ирина Глебовна), Пирютко (Ольга Николаевна), базовый и повышенный уровень обучения учебного пособия издательства Народная асвета.