Номер 21, страница 32 - гдз по алгебре 11 класс сборник задач Арефьева, Пирютко

Алгебра, 11 класс Сборник задач, авторы: Арефьева Ирина Глебовна, Пирютко Ольга Николаевна, издательство Народная асвета, Минск, 2020, белого цвета

Авторы: Арефьева И. Г., Пирютко О. Н.

Тип: Сборник задач

Издательство: Народная асвета

Год издания: 2020 - 2026

Уровень обучения: базовый и повышенный

Цвет обложки: белый с графиком

Допущено Министерством образования Республики Беларусь

Глава 2. Показательная функция. Параграф 5. Показательные уравнения - номер 21, страница 32.

№21 (с. 32)
Условие. №21 (с. 32)
скриншот условия
Алгебра, 11 класс Сборник задач, авторы: Арефьева Ирина Глебовна, Пирютко Ольга Николаевна, издательство Народная асвета, Минск, 2020, белого цвета, страница 32, номер 21, Условие

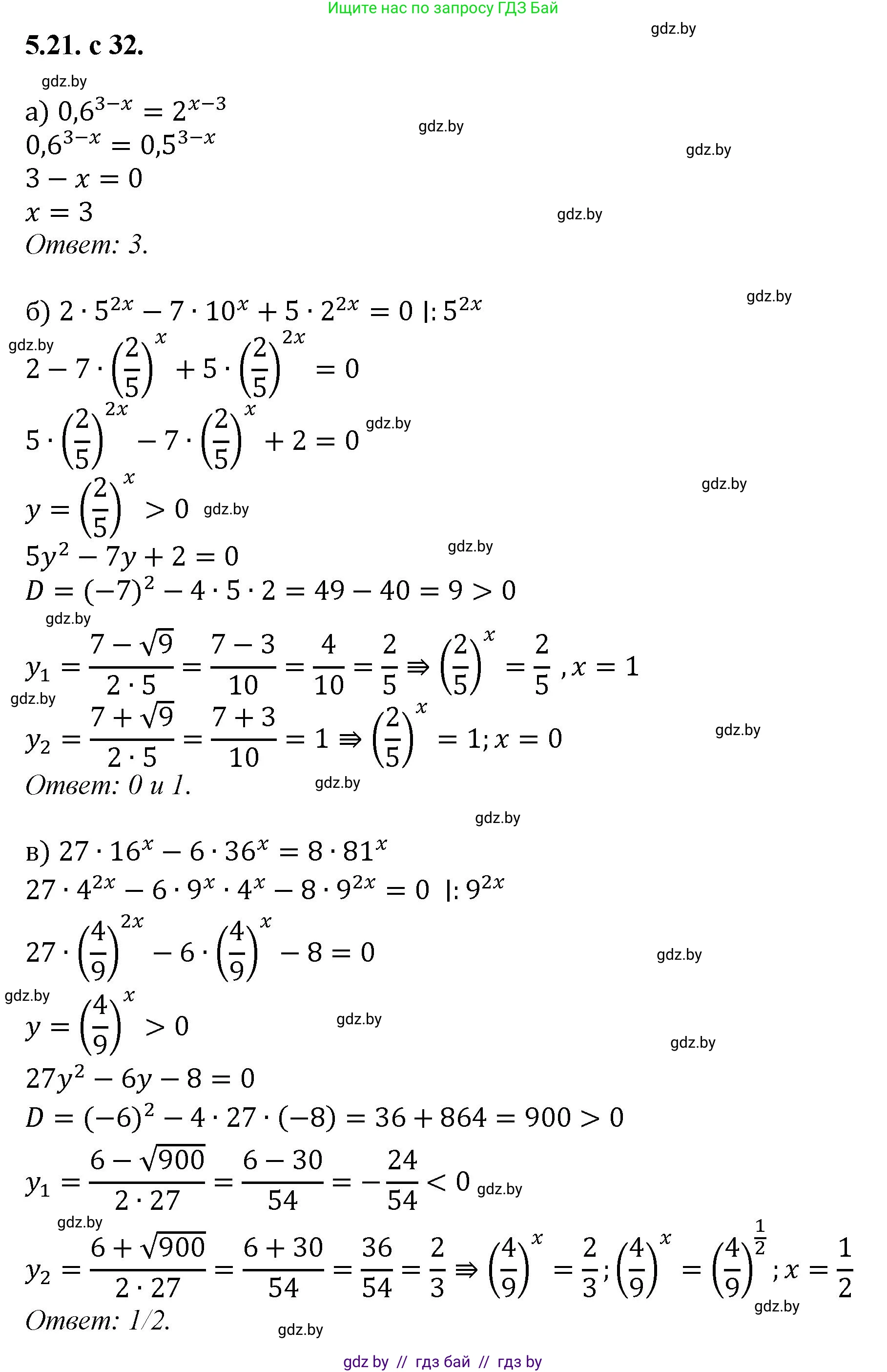
5.21. Решите однородное уравнение:

а) $0.6^{3 - x} = 2^{x - 3};$

б) $2 \cdot 5^{2x} - 7 \cdot 10^x + 5 \cdot 2^{2x} = 0;$

в) $27 \cdot 16^x - 6 \cdot 36^x = 8 \cdot 81^x;$

г) $3^{2x^2 - 9} + 25 \cdot 15^{x^2 - 5} = 2 \cdot 5^{2x^2 - 8};$

д) $3 \cdot 9^{\frac{1}{x}} + 6^{\frac{1}{x}} = 2 \cdot 4^{\frac{1}{x}};$

е) $27^x + 12^x = 2 \cdot 8^x.$

Решение. №21 (с. 32)
Алгебра, 11 класс Сборник задач, авторы: Арефьева Ирина Глебовна, Пирютко Ольга Николаевна, издательство Народная асвета, Минск, 2020, белого цвета, страница 32, номер 21, Решение Алгебра, 11 класс Сборник задач, авторы: Арефьева Ирина Глебовна, Пирютко Ольга Николаевна, издательство Народная асвета, Минск, 2020, белого цвета, страница 32, номер 21, Решение (продолжение 2)
Решение 2. №21 (с. 32)

а) Исходное уравнение: $0,6^{3-x} = 2^{x-3}$.

Заметим, что показатель степени в правой части противоположен показателю в левой: $x-3 = -(3-x)$. Перепишем уравнение, используя это:

$0,6^{3-x} = 2^{-(3-x)}$

Применим свойство $a^{-n} = (1/a)^n$ к правой части:

$0,6^{3-x} = (\frac{1}{2})^{3-x}$

$0,6^{3-x} = 0,5^{3-x}$

Поскольку основания степеней различны, а показатели одинаковы, разделим обе части на $0,5^{3-x}$ (это выражение не равно нулю):

$\frac{0,6^{3-x}}{0,5^{3-x}} = 1$

$(\frac{0,6}{0,5})^{3-x} = 1$

$(\frac{6}{5})^{3-x} = 1$

Любое число (кроме нуля) в степени 0 равно 1, следовательно, показатель степени должен быть равен нулю:

$3-x = 0$

$x = 3$

Ответ: 3.

б) Исходное уравнение: $2 \cdot 5^{2x} - 7 \cdot 10^x + 5 \cdot 2^{2x} = 0$.

Это однородное показательное уравнение. Представим $10^x$ как $5^x \cdot 2^x$, $5^{2x}$ как $(5^x)^2$ и $2^{2x}$ как $(2^x)^2$:

$2 \cdot (5^x)^2 - 7 \cdot 5^x \cdot 2^x + 5 \cdot (2^x)^2 = 0$

Разделим все уравнение на $(2^x)^2 = 2^{2x}$ (это выражение не равно нулю):

$2 \cdot \frac{(5^x)^2}{(2^x)^2} - 7 \cdot \frac{5^x \cdot 2^x}{(2^x)^2} + 5 \cdot \frac{(2^x)^2}{(2^x)^2} = 0$

$2 \cdot (\frac{5}{2})^{2x} - 7 \cdot (\frac{5}{2})^x + 5 = 0$

Сделаем замену переменной $t = (\frac{5}{2})^x$, где $t > 0$:

$2t^2 - 7t + 5 = 0$

Решим квадратное уравнение. Дискриминант $D = (-7)^2 - 4 \cdot 2 \cdot 5 = 49 - 40 = 9$.

$t_1 = \frac{7 + \sqrt{9}}{4} = \frac{10}{4} = \frac{5}{2}$

$t_2 = \frac{7 - \sqrt{9}}{4} = \frac{4}{4} = 1$

Оба корня положительны. Вернемся к замене:

1) $(\frac{5}{2})^x = \frac{5}{2} \implies x = 1$

2) $(\frac{5}{2})^x = 1 \implies (\frac{5}{2})^x = (\frac{5}{2})^0 \implies x = 0$

Ответ: 0; 1.

в) Исходное уравнение: $27 \cdot 16^x - 6 \cdot 36^x = 8 \cdot 81^x$.

Перенесем все члены в одну сторону и представим основания степеней как степени чисел 4 и 9: $16^x = (4^2)^x = (4^x)^2$, $36^x = (4 \cdot 9)^x = 4^x \cdot 9^x$, $81^x = (9^2)^x = (9^x)^2$.

$27 \cdot (4^x)^2 - 6 \cdot 4^x \cdot 9^x - 8 \cdot (9^x)^2 = 0$

Это однородное уравнение. Разделим его на $(9^x)^2$ (не равно нулю):

$27 \cdot (\frac{4^x}{9^x})^2 - 6 \cdot \frac{4^x}{9^x} - 8 = 0$

$27 \cdot ((\frac{4}{9})^x)^2 - 6 \cdot (\frac{4}{9})^x - 8 = 0$

Сделаем замену $t = (\frac{4}{9})^x$, где $t > 0$:

$27t^2 - 6t - 8 = 0$

Решим квадратное уравнение. Дискриминант $D = (-6)^2 - 4 \cdot 27 \cdot (-8) = 36 + 864 = 900$.

$t_1 = \frac{6 + \sqrt{900}}{54} = \frac{6 + 30}{54} = \frac{36}{54} = \frac{2}{3}$

$t_2 = \frac{6 - 30}{54} = \frac{-24}{54} < 0$ (не подходит, так как $t>0$).

Вернемся к замене:

$(\frac{4}{9})^x = \frac{2}{3}$

$((\frac{2}{3})^2)^x = (\frac{2}{3})^1$

$(\frac{2}{3})^{2x} = (\frac{2}{3})^1$

$2x = 1 \implies x = \frac{1}{2}$

Ответ: 1/2.

г) Исходное уравнение: $3^{2x^2-9} + 25 \cdot 15^{x^2-5} = 2 \cdot 5^{2x^2-8}$.

Приведем все степени к общему показателю $x^2-5$:

$3^{2(x^2-5)+1} + 25 \cdot (3 \cdot 5)^{x^2-5} - 2 \cdot 5^{2(x^2-5)+2} = 0$

$3 \cdot 3^{2(x^2-5)} + 25 \cdot 3^{x^2-5} \cdot 5^{x^2-5} - 2 \cdot 5^2 \cdot 5^{2(x^2-5)} = 0$

$3 \cdot (3^{x^2-5})^2 + 25 \cdot 3^{x^2-5} \cdot 5^{x^2-5} - 50 \cdot (5^{x^2-5})^2 = 0$

Разделим уравнение на $(5^{x^2-5})^2$ (не равно нулю):

$3 \cdot (\frac{3^{x^2-5}}{5^{x^2-5}})^2 + 25 \cdot \frac{3^{x^2-5}}{5^{x^2-5}} - 50 = 0$

$3 \cdot ((\frac{3}{5})^{x^2-5})^2 + 25 \cdot (\frac{3}{5})^{x^2-5} - 50 = 0$

Сделаем замену $t = (\frac{3}{5})^{x^2-5}$, где $t > 0$:

$3t^2 + 25t - 50 = 0$

Решим квадратное уравнение. Дискриминант $D = 25^2 - 4 \cdot 3 \cdot (-50) = 625 + 600 = 1225 = 35^2$.

$t_1 = \frac{-25 + 35}{6} = \frac{10}{6} = \frac{5}{3}$

$t_2 = \frac{-25 - 35}{6} = -10 < 0$ (не подходит).

Вернемся к замене:

$(\frac{3}{5})^{x^2-5} = \frac{5}{3} \implies (\frac{3}{5})^{x^2-5} = (\frac{3}{5})^{-1}$

$x^2-5 = -1 \implies x^2 = 4 \implies x = \pm 2$

Ответ: ±2.

д) Исходное уравнение: $3 \cdot 9^{\frac{1}{x}} + 6^{\frac{1}{x}} = 2 \cdot 4^{\frac{1}{x}}$.

Заметим, что $x \neq 0$. Перепишем уравнение, приведя к однородному виду:

$3 \cdot (3^2)^{\frac{1}{x}} + (2 \cdot 3)^{\frac{1}{x}} - 2 \cdot (2^2)^{\frac{1}{x}} = 0$

$3 \cdot (3^{\frac{1}{x}})^2 + 2^{\frac{1}{x}} \cdot 3^{\frac{1}{x}} - 2 \cdot (2^{\frac{1}{x}})^2 = 0$

Разделим уравнение на $(2^{\frac{1}{x}})^2$ (не равно нулю):

$3 \cdot (\frac{3^{\frac{1}{x}}}{2^{\frac{1}{x}}})^2 + \frac{3^{\frac{1}{x}}}{2^{\frac{1}{x}}} - 2 = 0$

$3 \cdot ((\frac{3}{2})^{\frac{1}{x}})^2 + (\frac{3}{2})^{\frac{1}{x}} - 2 = 0$

Сделаем замену $t = (\frac{3}{2})^{\frac{1}{x}}$, где $t > 0$:

$3t^2 + t - 2 = 0$

Решим квадратное уравнение. Дискриминант $D = 1^2 - 4 \cdot 3 \cdot (-2) = 1 + 24 = 25$.

$t_1 = \frac{-1 + 5}{6} = \frac{4}{6} = \frac{2}{3}$

$t_2 = \frac{-1 - 5}{6} = -1 < 0$ (не подходит).

Вернемся к замене:

$(\frac{3}{2})^{\frac{1}{x}} = \frac{2}{3} \implies (\frac{3}{2})^{\frac{1}{x}} = (\frac{3}{2})^{-1}$

$\frac{1}{x} = -1 \implies x = -1$

Ответ: -1.

е) Исходное уравнение: $27^x + 12^x = 2 \cdot 8^x$.

Приведем к однородному уравнению. $27=3^3, 12=3 \cdot 4 = 3 \cdot 2^2, 8=2^3$.

$(3^x)^3 + 3^x \cdot (2^2)^x - 2 \cdot (2^3)^x = 0$

$(3^x)^3 + 3^x \cdot (2^x)^2 - 2 \cdot (2^x)^3 = 0$

Разделим уравнение на $(2^x)^3$ (не равно нулю):

$(\frac{3^x}{2^x})^3 + \frac{3^x \cdot (2^x)^2}{(2^x)^3} - 2 = 0$

$((\frac{3}{2})^x)^3 + (\frac{3}{2})^x - 2 = 0$

Сделаем замену $t = (\frac{3}{2})^x$, где $t > 0$:

$t^3 + t - 2 = 0$

Подбором находим корень $t=1$, так как $1^3 + 1 - 2 = 0$.

Разложим многочлен на множители: $(t-1)(t^2+t+2) = 0$.

Квадратное уравнение $t^2+t+2=0$ не имеет действительных корней, так как его дискриминант $D = 1^2 - 4 \cdot 1 \cdot 2 = -7 < 0$.

Следовательно, единственное решение для $t$ это $t=1$.

Вернемся к замене:

$(\frac{3}{2})^x = 1 \implies (\frac{3}{2})^x = (\frac{3}{2})^0$

$x = 0$

Ответ: 0.

Помогло решение? Оставьте отзыв в комментариях ниже.

Присоединяйтесь к Телеграм-группе @gdz_by_belarus

Присоединиться

Мы подготовили для вас ответ c подробным объяснением домашего задания по алгебре за 11 класс, для упражнения номер 21 расположенного на странице 32 к сборнику задач 2020 года издания для учащихся школ и гимназий.

Теперь на нашем сайте ГДЗ.ТОП вы всегда легко и бесплатно найдёте условие с правильным ответом на вопрос «Как решить ДЗ» и «Как сделать» задание по алгебре к упражнению №21 (с. 32), авторов: Арефьева (Ирина Глебовна), Пирютко (Ольга Николаевна), базовый и повышенный уровень обучения учебного пособия издательства Народная асвета.