Номер 14, страница 53 - гдз по алгебре 11 класс сборник задач Арефьева, Пирютко

Алгебра, 11 класс Сборник задач, авторы: Арефьева Ирина Глебовна, Пирютко Ольга Николаевна, издательство Народная асвета, Минск, 2020, белого цвета

Авторы: Арефьева И. Г., Пирютко О. Н.

Тип: Сборник задач

Издательство: Народная асвета

Год издания: 2020 - 2026

Уровень обучения: базовый и повышенный

Цвет обложки: белый с графиком

Допущено Министерством образования Республики Беларусь

Популярные ГДЗ в 11 классе

Глава 3. Логарифмическая функция. Параграф 7. Свойства логарифмов - номер 14, страница 53.

№14 (с. 53)
Условие. №14 (с. 53)
скриншот условия
Алгебра, 11 класс Сборник задач, авторы: Арефьева Ирина Глебовна, Пирютко Ольга Николаевна, издательство Народная асвета, Минск, 2020, белого цвета, страница 53, номер 14, Условие

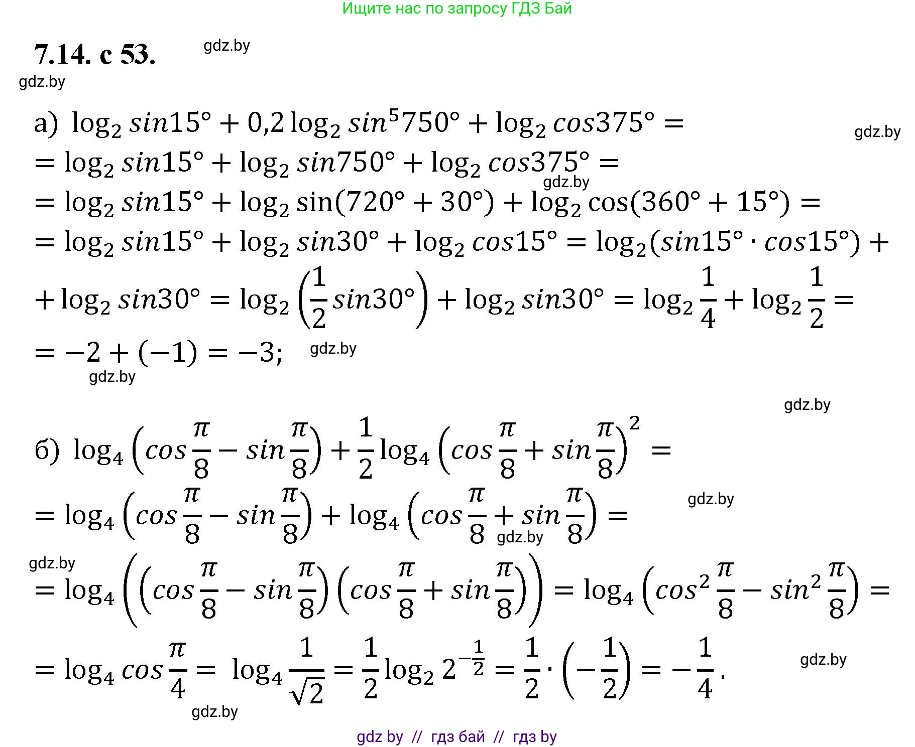
7.14. Вычислите:

a) $\log_2 \sin 15^\circ + 0,2\log_2 \sin^5 750^\circ + \log_2 \cos 375^\circ;$

б) $\log_4 \left(\cos \frac{\pi}{8} - \sin \frac{\pi}{8}\right) + \frac{1}{2}\log_4 \left(\cos \frac{\pi}{8} + \sin \frac{\pi}{8}\right)^2.$

Решение. №14 (с. 53)
Алгебра, 11 класс Сборник задач, авторы: Арефьева Ирина Глебовна, Пирютко Ольга Николаевна, издательство Народная асвета, Минск, 2020, белого цвета, страница 53, номер 14, Решение
Решение 2. №14 (с. 53)

а) $ \log_2 \sin15^\circ + 0,2\log_2 \sin^5 750^\circ + \log_2 \cos375^\circ $

Для решения данной задачи мы последовательно упростим каждый член выражения, используя свойства логарифмов и тригонометрические формулы.

1. Начнем со второго члена: $0,2\log_2 \sin^5 750^\circ$. Используем свойство логарифма $k \cdot \log_b(a^n) = k \cdot n \cdot \log_b a$. Учитывая, что $0,2 = \frac{1}{5}$, получаем:
$0,2\log_2 \sin^5 750^\circ = \frac{1}{5} \log_2 (\sin 750^\circ)^5 = \frac{1}{5} \cdot 5 \log_2 (\sin 750^\circ) = \log_2 (\sin 750^\circ)$.

2. Теперь упростим аргументы тригонометрических функций, используя их периодичность (период для синуса и косинуса равен $360^\circ$):
$\sin 750^\circ = \sin(2 \cdot 360^\circ + 30^\circ) = \sin 30^\circ = \frac{1}{2}$.
$\cos 375^\circ = \cos(360^\circ + 15^\circ) = \cos 15^\circ$.

3. Подставим упрощенные выражения обратно в исходное уравнение:
$\log_2 \sin 15^\circ + \log_2\left(\frac{1}{2}\right) + \log_2 \cos 15^\circ$.

4. Объединим логарифмы, используя свойство суммы логарифмов $\log_b x + \log_b y + \log_b z = \log_b(xyz)$:
$\log_2 \left(\sin 15^\circ \cdot \frac{1}{2} \cdot \cos 15^\circ\right) = \log_2 \left(\frac{1}{2} \sin 15^\circ \cos 15^\circ\right)$.

5. Применим формулу синуса двойного угла $\sin(2\alpha) = 2\sin\alpha\cos\alpha$, из которой следует, что $\sin\alpha\cos\alpha = \frac{\sin(2\alpha)}{2}$:
$\sin 15^\circ \cos 15^\circ = \frac{\sin(2 \cdot 15^\circ)}{2} = \frac{\sin 30^\circ}{2} = \frac{1/2}{2} = \frac{1}{4}$.

6. Подставим полученное значение в логарифм:
$\log_2 \left(\frac{1}{2} \cdot \frac{1}{4}\right) = \log_2\left(\frac{1}{8}\right)$.

7. Вычислим итоговое значение логарифма:
$\log_2\left(\frac{1}{8}\right) = \log_2(2^{-3}) = -3$.

Ответ: -3


б) $ \log_4 \left(\cos\frac{\pi}{8} - \sin\frac{\pi}{8}\right) + \frac{1}{2}\log_4 \left(\cos\frac{\pi}{8} + \sin\frac{\pi}{8}\right)^2 $

1. Упростим второй член выражения, используя свойство логарифма $k \cdot \log_b(a^n) = k \cdot n \cdot \log_b a$ :
$\frac{1}{2}\log_4 \left(\cos\frac{\pi}{8} + \sin\frac{\pi}{8}\right)^2 = \frac{1}{2} \cdot 2 \cdot \log_4 \left(\cos\frac{\pi}{8} + \sin\frac{\pi}{8}\right) = \log_4 \left(\cos\frac{\pi}{8} + \sin\frac{\pi}{8}\right)$.

2. Исходное выражение принимает вид суммы двух логарифмов:
$\log_4 \left(\cos\frac{\pi}{8} - \sin\frac{\pi}{8}\right) + \log_4 \left(\cos\frac{\pi}{8} + \sin\frac{\pi}{8}\right)$.

3. Используем свойство суммы логарифмов $\log_b x + \log_b y = \log_b(xy)$:
$\log_4 \left[ \left(\cos\frac{\pi}{8} - \sin\frac{\pi}{8}\right) \left(\cos\frac{\pi}{8} + \sin\frac{\pi}{8}\right) \right]$.

4. Выражение в скобках является разностью квадратов $(a-b)(a+b) = a^2 - b^2$:
$\log_4 \left( \cos^2\frac{\pi}{8} - \sin^2\frac{\pi}{8} \right)$.

5. Применим формулу косинуса двойного угла $\cos(2\alpha) = \cos^2\alpha - \sin^2\alpha$:
$\log_4 \left( \cos\left(2 \cdot \frac{\pi}{8}\right) \right) = \log_4 \left( \cos\frac{\pi}{4} \right)$.

6. Мы знаем, что $\cos\frac{\pi}{4} = \frac{\sqrt{2}}{2}$. Подставляем это значение:
$\log_4 \left( \frac{\sqrt{2}}{2} \right)$.

7. Для вычисления итогового значения, представим аргумент логарифма $\frac{\sqrt{2}}{2}$ в виде степени с основанием 4:
$\frac{\sqrt{2}}{2} = \frac{2^{1/2}}{2^1} = 2^{1/2 - 1} = 2^{-1/2}$.
Так как $4 = 2^2$, то $2 = 4^{1/2}$.
Следовательно, $2^{-1/2} = (4^{1/2})^{-1/2} = 4^{(1/2) \cdot (-1/2)} = 4^{-1/4}$.

8. Теперь вычисляем логарифм:
$\log_4(4^{-1/4}) = -\frac{1}{4}$.

Ответ: $-\frac{1}{4}$

Помогло решение? Оставьте отзыв в комментариях ниже.

Присоединяйтесь к Телеграм-группе @gdz_by_belarus

Присоединиться

Мы подготовили для вас ответ c подробным объяснением домашего задания по алгебре за 11 класс, для упражнения номер 14 расположенного на странице 53 к сборнику задач 2020 года издания для учащихся школ и гимназий.

Теперь на нашем сайте ГДЗ.ТОП вы всегда легко и бесплатно найдёте условие с правильным ответом на вопрос «Как решить ДЗ» и «Как сделать» задание по алгебре к упражнению №14 (с. 53), авторов: Арефьева (Ирина Глебовна), Пирютко (Ольга Николаевна), базовый и повышенный уровень обучения учебного пособия издательства Народная асвета.