Номер 20, страница 53 - гдз по алгебре 11 класс сборник задач Арефьева, Пирютко

Алгебра, 11 класс Сборник задач, авторы: Арефьева Ирина Глебовна, Пирютко Ольга Николаевна, издательство Народная асвета, Минск, 2020, белого цвета

Авторы: Арефьева И. Г., Пирютко О. Н.

Тип: Сборник задач

Издательство: Народная асвета

Год издания: 2020 - 2026

Уровень обучения: базовый и повышенный

Цвет обложки: белый с графиком

Допущено Министерством образования Республики Беларусь

Популярные ГДЗ в 11 классе

Глава 3. Логарифмическая функция. Параграф 7. Свойства логарифмов - номер 20, страница 53.

№20 (с. 53)
Условие. №20 (с. 53)
скриншот условия
Алгебра, 11 класс Сборник задач, авторы: Арефьева Ирина Глебовна, Пирютко Ольга Николаевна, издательство Народная асвета, Минск, 2020, белого цвета, страница 53, номер 20, Условие

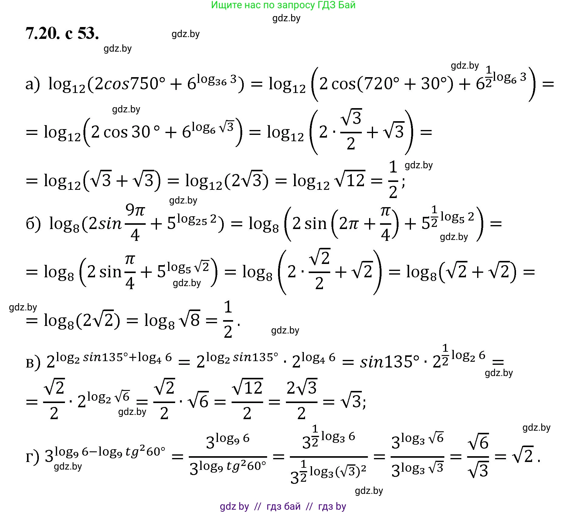
7.20. Вычислите:

а) $\log_{12}(2\cos750^\circ + 6^{\log_{36} 3});$

б) $\log_8(2\sin\frac{9\pi}{4} + 5^{\log_{25} 2});$

в) $2^{\log_2 \sin135^\circ} + \log_4 6;$

г) $3^{\log_9 6} - \log_9 \operatorname{tg}^2 60^\circ$

Решение. №20 (с. 53)
Алгебра, 11 класс Сборник задач, авторы: Арефьева Ирина Глебовна, Пирютко Ольга Николаевна, издательство Народная асвета, Минск, 2020, белого цвета, страница 53, номер 20, Решение
Решение 2. №20 (с. 53)

а) $\log_{12}(2\cos750^\circ + 6^{\log_{36}3})$

Решим по шагам, упрощая выражение в скобках:

  1. Вычислим $2\cos750^\circ$. Используем периодичность функции косинус, период которой равен $360^\circ$:
    $750^\circ = 2 \cdot 360^\circ + 30^\circ$.
    $\cos750^\circ = \cos(2 \cdot 360^\circ + 30^\circ) = \cos30^\circ = \frac{\sqrt{3}}{2}$.
    Таким образом, $2\cos750^\circ = 2 \cdot \frac{\sqrt{3}}{2} = \sqrt{3}$.
  2. Вычислим $6^{\log_{36}3}$. Используем свойство логарифма $\log_{a^k}b = \frac{1}{k}\log_a b$ и основное логарифмическое тождество $a^{\log_a b} = b$:
    $\log_{36}3 = \log_{6^2}3 = \frac{1}{2}\log_6 3$.
    $6^{\log_{36}3} = 6^{\frac{1}{2}\log_6 3} = (6^{\log_6 3})^{\frac{1}{2}} = 3^{\frac{1}{2}} = \sqrt{3}$.
  3. Подставим полученные значения в исходное выражение:
    $\log_{12}(\sqrt{3} + \sqrt{3}) = \log_{12}(2\sqrt{3})$.
  4. Для вычисления логарифма представим $2\sqrt{3}$ как степень числа 12:
    $12^{\frac{1}{2}} = \sqrt{12} = \sqrt{4 \cdot 3} = 2\sqrt{3}$.
    Следовательно, $\log_{12}(2\sqrt{3}) = \log_{12}(12^{\frac{1}{2}}) = \frac{1}{2}$.

Ответ: $\frac{1}{2}$.


б) $\log_8(2\sin\frac{9\pi}{4} + 5^{\log_{25}2})$

Решим по шагам, упрощая выражение в скобках:

  1. Вычислим $2\sin\frac{9\pi}{4}$. Используем периодичность функции синус, период которой равен $2\pi$:
    $\frac{9\pi}{4} = \frac{8\pi + \pi}{4} = 2\pi + \frac{\pi}{4}$.
    $\sin\frac{9\pi}{4} = \sin(2\pi + \frac{\pi}{4}) = \sin\frac{\pi}{4} = \frac{\sqrt{2}}{2}$.
    Таким образом, $2\sin\frac{9\pi}{4} = 2 \cdot \frac{\sqrt{2}}{2} = \sqrt{2}$.
  2. Вычислим $5^{\log_{25}2}$. Используем свойство логарифма и основное логарифмическое тождество:
    $\log_{25}2 = \log_{5^2}2 = \frac{1}{2}\log_5 2$.
    $5^{\log_{25}2} = 5^{\frac{1}{2}\log_5 2} = (5^{\log_5 2})^{\frac{1}{2}} = 2^{\frac{1}{2}} = \sqrt{2}$.
  3. Подставим полученные значения в исходное выражение:
    $\log_8(\sqrt{2} + \sqrt{2}) = \log_8(2\sqrt{2})$.
  4. Для вычисления логарифма представим основание и аргумент как степени числа 2:
    $8 = 2^3$.
    $2\sqrt{2} = 2^1 \cdot 2^{\frac{1}{2}} = 2^{1+\frac{1}{2}} = 2^{\frac{3}{2}}$.
    $\log_8(2\sqrt{2}) = \log_{2^3}(2^{\frac{3}{2}}) = \frac{3/2}{3}\log_2 2 = \frac{3}{2 \cdot 3} = \frac{1}{2}$.

Ответ: $\frac{1}{2}$.


в) $2^{\log_2 \sin135^\circ + \log_4 6}$

Упростим показатель степени, используя свойства логарифмов:

  1. Найдем значение $\sin135^\circ$:
    $\sin135^\circ = \sin(180^\circ - 45^\circ) = \sin45^\circ = \frac{\sqrt{2}}{2}$.
  2. Преобразуем второй логарифм в показателе к основанию 2:
    $\log_4 6 = \log_{2^2} 6 = \frac{1}{2}\log_2 6 = \log_2(6^{\frac{1}{2}}) = \log_2\sqrt{6}$.
  3. Сложим логарифмы в показателе, используя свойство $\log_a b + \log_a c = \log_a(bc)$:
    $\log_2 \sin135^\circ + \log_4 6 = \log_2(\frac{\sqrt{2}}{2}) + \log_2\sqrt{6} = \log_2(\frac{\sqrt{2}}{2} \cdot \sqrt{6}) = \log_2(\frac{\sqrt{12}}{2})$.
  4. Упростим аргумент логарифма:
    $\frac{\sqrt{12}}{2} = \frac{\sqrt{4 \cdot 3}}{2} = \frac{2\sqrt{3}}{2} = \sqrt{3}$.
    Показатель степени равен $\log_2\sqrt{3}$.
  5. Подставим упрощенный показатель в исходное выражение и используем основное логарифмическое тождество $a^{\log_a b} = b$:
    $2^{\log_2\sqrt{3}} = \sqrt{3}$.

Ответ: $\sqrt{3}$.


г) $3^{\log_9 6 - \log_9 \tg^2 60^\circ}$

Упростим показатель степени, используя свойства логарифмов:

  1. Найдем значение $\tg^2 60^\circ$:
    $\tg 60^\circ = \sqrt{3}$.
    $\tg^2 60^\circ = (\sqrt{3})^2 = 3$.
  2. Вычтем логарифмы в показателе, используя свойство $\log_a b - \log_a c = \log_a(\frac{b}{c})$:
    $\log_9 6 - \log_9 3 = \log_9(\frac{6}{3}) = \log_9 2$.
  3. Подставим упрощенный показатель в исходное выражение:
    $3^{\log_9 2}$.
  4. Преобразуем логарифм к основанию 3 и вычислим значение:
    $\log_9 2 = \log_{3^2} 2 = \frac{1}{2}\log_3 2$.
    $3^{\log_9 2} = 3^{\frac{1}{2}\log_3 2} = (3^{\log_3 2})^{\frac{1}{2}} = 2^{\frac{1}{2}} = \sqrt{2}$.

Ответ: $\sqrt{2}$.

Помогло решение? Оставьте отзыв в комментариях ниже.

Присоединяйтесь к Телеграм-группе @gdz_by_belarus

Присоединиться

Мы подготовили для вас ответ c подробным объяснением домашего задания по алгебре за 11 класс, для упражнения номер 20 расположенного на странице 53 к сборнику задач 2020 года издания для учащихся школ и гимназий.

Теперь на нашем сайте ГДЗ.ТОП вы всегда легко и бесплатно найдёте условие с правильным ответом на вопрос «Как решить ДЗ» и «Как сделать» задание по алгебре к упражнению №20 (с. 53), авторов: Арефьева (Ирина Глебовна), Пирютко (Ольга Николаевна), базовый и повышенный уровень обучения учебного пособия издательства Народная асвета.