Номер 22, страница 54 - гдз по алгебре 11 класс сборник задач Арефьева, Пирютко

Алгебра, 11 класс Сборник задач, авторы: Арефьева Ирина Глебовна, Пирютко Ольга Николаевна, издательство Народная асвета, Минск, 2020, белого цвета

Авторы: Арефьева И. Г., Пирютко О. Н.

Тип: Сборник задач

Издательство: Народная асвета

Год издания: 2020 - 2026

Уровень обучения: базовый и повышенный

Цвет обложки: белый с графиком

Допущено Министерством образования Республики Беларусь

Популярные ГДЗ в 11 классе

Глава 3. Логарифмическая функция. Параграф 7. Свойства логарифмов - номер 22, страница 54.

№22 (с. 54)
Условие. №22 (с. 54)
скриншот условия
Алгебра, 11 класс Сборник задач, авторы: Арефьева Ирина Глебовна, Пирютко Ольга Николаевна, издательство Народная асвета, Минск, 2020, белого цвета, страница 54, номер 22, Условие

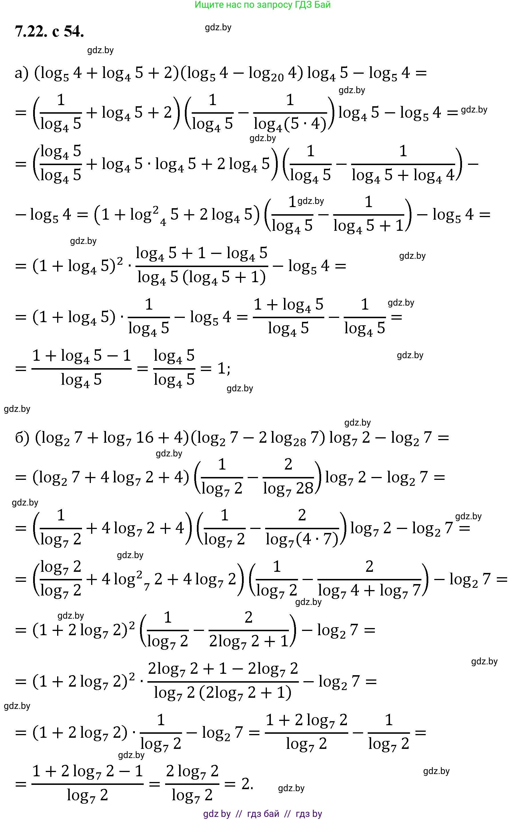
7.22. Вычислите:

a) $(\log_5 4 + \log_4 5 + 2)(\log_5 4 - \log_{20} 4)\log_4 5 - \log_5 4;$

б) $(\log_2 7 + \log_7 16 + 4)(\log_2 7 - 2\log_{28} 7)\log_7 2 - \log_2 7.$

Решение. №22 (с. 54)
Алгебра, 11 класс Сборник задач, авторы: Арефьева Ирина Глебовна, Пирютко Ольга Николаевна, издательство Народная асвета, Минск, 2020, белого цвета, страница 54, номер 22, Решение
Решение 2. №22 (с. 54)

а) Вычислим значение выражения $(\log_5 4 + \log_4 5 + 2)(\log_5 4 - \log_{20} 4)\log_4 5 - \log_5 4$ по шагам.

  1. Преобразуем первую скобку $(\log_5 4 + \log_4 5 + 2)$. Используем свойство логарифма $\log_b a = \frac{1}{\log_a b}$ и представим $2$ как $2\log_5 5 = \log_5 25$.
    $\log_5 4 + \frac{1}{\log_5 4} + 2 = \frac{(\log_5 4)^2 + 1 + 2\log_5 4}{\log_5 4} = \frac{(\log_5 4 + 1)^2}{\log_5 4}$.
    Преобразуем выражение в числителе: $\log_5 4 + 1 = \log_5 4 + \log_5 5 = \log_5 (4 \cdot 5) = \log_5 20$.
    Таким образом, первая скобка равна: $\frac{(\log_5 20)^2}{\log_5 4}$.
  2. Преобразуем вторую скобку $(\log_5 4 - \log_{20} 4)$. Используем формулу перехода к новому основанию $\log_b a = \frac{\log_c a}{\log_c b}$:
    $\log_5 4 - \frac{\log_5 4}{\log_5 20} = \log_5 4 \left(1 - \frac{1}{\log_5 20}\right) = \log_5 4 \left(\frac{\log_5 20 - 1}{\log_5 20}\right)$.
    Преобразуем числитель дроби в скобках: $\log_5 20 - 1 = \log_5 20 - \log_5 5 = \log_5\left(\frac{20}{5}\right) = \log_5 4$.
    Таким образом, вторая скобка равна: $\log_5 4 \cdot \frac{\log_5 4}{\log_5 20} = \frac{(\log_5 4)^2}{\log_5 20}$.
  3. Подставим преобразованные скобки в исходное выражение:
    $\left(\frac{(\log_5 20)^2}{\log_5 4}\right) \cdot \left(\frac{(\log_5 4)^2}{\log_5 20}\right) \cdot \log_4 5 - \log_5 4$.
  4. Сократим дроби:
    $(\log_5 20 \cdot \log_5 4) \cdot \log_4 5 - \log_5 4$.
  5. Заменим $\log_4 5 = \frac{1}{\log_5 4}$:
    $(\log_5 20 \cdot \log_5 4) \cdot \frac{1}{\log_5 4} - \log_5 4 = \log_5 20 - \log_5 4$.
  6. Используем свойство разности логарифмов $\log_a b - \log_a c = \log_a\left(\frac{b}{c}\right)$:
    $\log_5\left(\frac{20}{4}\right) = \log_5 5 = 1$.

Ответ: 1

б) Вычислим значение выражения $(\log_2 7 + \log_7 16 + 4)(\log_2 7 - 2\log_{28} 7)\log_7 2 - \log_2 7$ по шагам.

  1. Преобразуем первую скобку $(\log_2 7 + \log_7 16 + 4)$. Используем свойства логарифмов $\log_a(b^c) = c\log_a b$ и $\log_b a = \frac{1}{\log_a b}$:
    $\log_2 7 + \log_7(2^4) + 4 = \log_2 7 + 4\log_7 2 + 4 = \log_2 7 + \frac{4}{\log_2 7} + 4$.
    Приведем к общему знаменателю:
    $\frac{(\log_2 7)^2 + 4 + 4\log_2 7}{\log_2 7} = \frac{(\log_2 7 + 2)^2}{\log_2 7}$.
    Преобразуем выражение в числителе: $\log_2 7 + 2 = \log_2 7 + \log_2(2^2) = \log_2 7 + \log_2 4 = \log_2(7 \cdot 4) = \log_2 28$.
    Таким образом, первая скобка равна: $\frac{(\log_2 28)^2}{\log_2 7}$.
  2. Преобразуем вторую скобку $(\log_2 7 - 2\log_{28} 7)$. Используем формулу перехода к новому основанию:
    $\log_2 7 - 2\frac{\log_2 7}{\log_2 28} = \log_2 7 \left(1 - \frac{2}{\log_2 28}\right) = \log_2 7 \left(\frac{\log_2 28 - 2}{\log_2 28}\right)$.
    Преобразуем числитель дроби в скобках: $\log_2 28 - 2 = \log_2 28 - \log_2 4 = \log_2\left(\frac{28}{4}\right) = \log_2 7$.
    Таким образом, вторая скобка равна: $\log_2 7 \cdot \frac{\log_2 7}{\log_2 28} = \frac{(\log_2 7)^2}{\log_2 28}$.
  3. Подставим преобразованные скобки в исходное выражение:
    $\left(\frac{(\log_2 28)^2}{\log_2 7}\right) \cdot \left(\frac{(\log_2 7)^2}{\log_2 28}\right) \cdot \log_7 2 - \log_2 7$.
  4. Сократим дроби:
    $(\log_2 28 \cdot \log_2 7) \cdot \log_7 2 - \log_2 7$.
  5. Заменим $\log_7 2 = \frac{1}{\log_2 7}$:
    $(\log_2 28 \cdot \log_2 7) \cdot \frac{1}{\log_2 7} - \log_2 7 = \log_2 28 - \log_2 7$.
  6. Используем свойство разности логарифмов:
    $\log_2\left(\frac{28}{7}\right) = \log_2 4 = \log_2(2^2) = 2$.

Ответ: 2

Помогло решение? Оставьте отзыв в комментариях ниже.

Присоединяйтесь к Телеграм-группе @gdz_by_belarus

Присоединиться

Мы подготовили для вас ответ c подробным объяснением домашего задания по алгебре за 11 класс, для упражнения номер 22 расположенного на странице 54 к сборнику задач 2020 года издания для учащихся школ и гимназий.

Теперь на нашем сайте ГДЗ.ТОП вы всегда легко и бесплатно найдёте условие с правильным ответом на вопрос «Как решить ДЗ» и «Как сделать» задание по алгебре к упражнению №22 (с. 54), авторов: Арефьева (Ирина Глебовна), Пирютко (Ольга Николаевна), базовый и повышенный уровень обучения учебного пособия издательства Народная асвета.