Номер 16, страница 53 - гдз по алгебре 11 класс сборник задач Арефьева, Пирютко

Алгебра, 11 класс Сборник задач, авторы: Арефьева Ирина Глебовна, Пирютко Ольга Николаевна, издательство Народная асвета, Минск, 2020, белого цвета

Авторы: Арефьева И. Г., Пирютко О. Н.

Тип: Сборник задач

Издательство: Народная асвета

Год издания: 2020 - 2026

Уровень обучения: базовый и повышенный

Цвет обложки: белый с графиком

Допущено Министерством образования Республики Беларусь

Популярные ГДЗ в 11 классе

Глава 3. Логарифмическая функция. Параграф 7. Свойства логарифмов - номер 16, страница 53.

№16 (с. 53)
Условие. №16 (с. 53)
скриншот условия
Алгебра, 11 класс Сборник задач, авторы: Арефьева Ирина Глебовна, Пирютко Ольга Николаевна, издательство Народная асвета, Минск, 2020, белого цвета, страница 53, номер 16, Условие

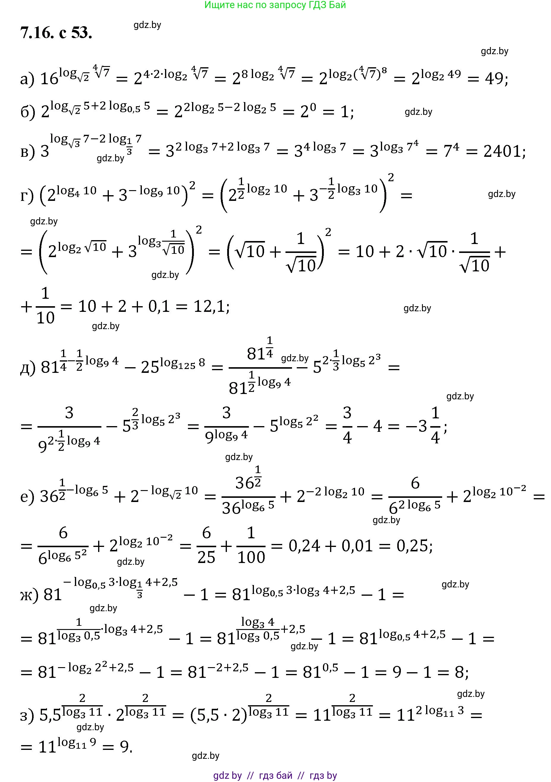
7.16. Найдите значение выражения:

а) $16^{\log_{\sqrt{2}} \frac{4}{7}}$;

б) $2^{\log_{\sqrt{2}} 5 + 2\log_{0,5} 5}$;

в) $3^{\log_{\sqrt{3}} 7 - 2\log_{\frac{1}{3}} 7}$;

г) $(2^{\log_4 10} + 3^{-\log_9 10})^2$;

д) $81^{\frac{1}{4} - \frac{1}{2}\log_9 4} - 25^{\log_{125} 8}$;

е) $36^{\frac{1}{2} - \log_6 5} + 2^{-\log_{\sqrt{2}} 10}$;

ж) $81^{-\log_{0,5} 3 \cdot \log_{\frac{1}{3}} 4 + 2,5} - 1$;

з) $5,5^{\frac{2}{\log_3 11}} \cdot 2^{\frac{2}{\log_3 11}}$.

Решение. №16 (с. 53)
Алгебра, 11 класс Сборник задач, авторы: Арефьева Ирина Глебовна, Пирютко Ольга Николаевна, издательство Народная асвета, Минск, 2020, белого цвета, страница 53, номер 16, Решение
Решение 2. №16 (с. 53)

а) Для решения $16^{\log_{\sqrt{2}} \sqrt[4]{7}}$ преобразуем основание степени, основание логарифма и его аргумент к более удобному виду:
$16 = 2^4$
$\sqrt{2} = 2^{1/2}$
$\sqrt[4]{7} = 7^{1/4}$
Подставим эти значения в исходное выражение: $16^{\log_{\sqrt{2}} \sqrt[4]{7}} = (2^4)^{\log_{2^{1/2}} 7^{1/4}}$
Используем свойство логарифма $\log_{a^k} b^m = \frac{m}{k}\log_a b$: $\log_{2^{1/2}} 7^{1/4} = \frac{1/4}{1/2}\log_2 7 = \frac{1}{2}\log_2 7$
Теперь выражение выглядит так: $(2^4)^{\frac{1}{2}\log_2 7} = 2^{4 \cdot \frac{1}{2}\log_2 7} = 2^{2\log_2 7}$
Используя свойство $c \log_a b = \log_a b^c$, получаем: $2^{\log_2 7^2} = 2^{\log_2 49}$
По основному логарифмическому тождеству $a^{\log_a b} = b$: $2^{\log_2 49} = 49$
Ответ: 49

б) В выражении $2^{\log_{\sqrt{2}} 5 + 2\log_{0.5} 5}$ сначала упростим показатель степени.
Преобразуем каждый логарифм к основанию 2:
$\log_{\sqrt{2}} 5 = \log_{2^{1/2}} 5 = \frac{1}{1/2}\log_2 5 = 2\log_2 5$
$2\log_{0.5} 5 = 2\log_{2^{-1}} 5 = 2 \cdot (-1) \log_2 5 = -2\log_2 5$
Сложим преобразованные логарифмы: $2\log_2 5 + (-2\log_2 5) = 0$
Таким образом, исходное выражение равно: $2^0 = 1$
Ответ: 1

в) В выражении $3^{\log_{\sqrt{3}} 7 - 2\log_{1/3} 7}$ сначала упростим показатель степени.
Преобразуем каждый логарифм к основанию 3:
$\log_{\sqrt{3}} 7 = \log_{3^{1/2}} 7 = \frac{1}{1/2}\log_3 7 = 2\log_3 7$
$-2\log_{1/3} 7 = -2\log_{3^{-1}} 7 = -2 \cdot (-1) \log_3 7 = 2\log_3 7$
Сложим преобразованные части показателя: $2\log_3 7 + 2\log_3 7 = 4\log_3 7$
Исходное выражение равно: $3^{4\log_3 7} = 3^{\log_3 7^4} = 7^4 = (7^2)^2 = 49^2 = 2401$
Ответ: 2401

г) Рассмотрим выражение $(2^{\log_4 10} + 3^{-\log_9 10})^2$. Упростим каждое слагаемое в скобках.
$2^{\log_4 10} = 2^{\log_{2^2} 10} = 2^{\frac{1}{2}\log_2 10} = (2^{\log_2 10})^{1/2} = 10^{1/2} = \sqrt{10}$
$3^{-\log_9 10} = 3^{-\log_{3^2} 10} = 3^{-\frac{1}{2}\log_3 10} = (3^{\log_3 10})^{-1/2} = 10^{-1/2} = \frac{1}{\sqrt{10}}$
Теперь возведем сумму в квадрат: $(\sqrt{10} + \frac{1}{\sqrt{10}})^2 = (\sqrt{10})^2 + 2\cdot\sqrt{10}\cdot\frac{1}{\sqrt{10}} + (\frac{1}{\sqrt{10}})^2 = 10 + 2 + \frac{1}{10} = 12\frac{1}{10} = \frac{121}{10}$
Ответ: $12 \frac{1}{10}$

д) Найдем значение выражения $81^{\frac{1}{4} - \frac{1}{2}\log_9 4} - 25^{\log_{125} 8}$, упростив каждую его часть.
Первая часть: $81^{\frac{1}{4} - \frac{1}{2}\log_9 4} = \frac{81^{1/4}}{81^{\frac{1}{2}\log_9 4}} = \frac{\sqrt[4]{81}}{(9^2)^{\frac{1}{2}\log_9 4}} = \frac{3}{9^{\log_9 4}} = \frac{3}{4}$
Вторая часть: $25^{\log_{125} 8} = (5^2)^{\log_{5^3} 8} = 5^{2 \cdot \frac{1}{3}\log_5 8} = 5^{\log_5 8^{2/3}} = 8^{2/3} = (\sqrt[3]{8})^2 = 2^2 = 4$
Выполним вычитание: $\frac{3}{4} - 4 = \frac{3}{4} - \frac{16}{4} = -\frac{13}{4} = -3\frac{1}{4}$
Ответ: $-3 \frac{1}{4}$

е) Найдем значение выражения $36^{\frac{1}{2} - \log_6 5} + 2^{-\log_{\sqrt{2}} 10}$, упростив каждое слагаемое.
Первое слагаемое: $36^{\frac{1}{2} - \log_6 5} = \frac{36^{1/2}}{36^{\log_6 5}} = \frac{\sqrt{36}}{(6^2)^{\log_6 5}} = \frac{6}{6^{2\log_6 5}} = \frac{6}{6^{\log_6 5^2}} = \frac{6}{25}$
Второе слагаемое: $2^{-\log_{\sqrt{2}} 10} = 2^{-\log_{2^{1/2}} 10} = 2^{-2\log_2 10} = 2^{\log_2 10^{-2}} = 10^{-2} = \frac{1}{100}$
Сложим полученные значения: $\frac{6}{25} + \frac{1}{100} = \frac{24}{100} + \frac{1}{100} = \frac{25}{100} = \frac{1}{4}$
Ответ: $\frac{1}{4}$

ж) Для вычисления $81^{-\log_{0.5} 3 \cdot \log_{1/3} 4 + 2.5} - 1$ упростим показатель степени у числа 81.
Рассмотрим произведение логарифмов: $-\log_{0.5} 3 \cdot \log_{1/3} 4 = -(\log_{2^{-1}} 3) \cdot (\log_{3^{-1}} 4) = -(-\log_2 3) \cdot (-\log_3 4) = -\log_2 3 \cdot \log_3 4$
По свойству $\log_a b \cdot \log_b c = \log_a c$, получаем: $-\log_2 4 = -2$
Тогда весь показатель степени равен: $-2 + 2.5 = 0.5$
Подставим это значение в выражение: $81^{0.5} - 1 = \sqrt{81} - 1 = 9 - 1 = 8$
Ответ: 8

з) В выражении $5.5^{\frac{2}{\log_3 11}} \cdot 2^{\frac{2}{\log_3 11}}$ показатели степени одинаковы, поэтому можно перемножить основания: $(5.5 \cdot 2)^{\frac{2}{\log_3 11}} = 11^{\frac{2}{\log_3 11}}$
Упростим показатель, используя свойство $\frac{1}{\log_a b} = \log_b a$: $\frac{2}{\log_3 11} = 2 \cdot \log_{11} 3$
Выражение принимает вид: $11^{2\log_{11} 3} = 11^{\log_{11} 3^2} = 11^{\log_{11} 9}$
По основному логарифмическому тождеству $a^{\log_a b} = b$: $11^{\log_{11} 9} = 9$
Ответ: 9

Помогло решение? Оставьте отзыв в комментариях ниже.

Присоединяйтесь к Телеграм-группе @gdz_by_belarus

Присоединиться

Мы подготовили для вас ответ c подробным объяснением домашего задания по алгебре за 11 класс, для упражнения номер 16 расположенного на странице 53 к сборнику задач 2020 года издания для учащихся школ и гимназий.

Теперь на нашем сайте ГДЗ.ТОП вы всегда легко и бесплатно найдёте условие с правильным ответом на вопрос «Как решить ДЗ» и «Как сделать» задание по алгебре к упражнению №16 (с. 53), авторов: Арефьева (Ирина Глебовна), Пирютко (Ольга Николаевна), базовый и повышенный уровень обучения учебного пособия издательства Народная асвета.