Номер 12, страница 92 - гдз по алгебре 11 класс сборник задач Арефьева, Пирютко

Алгебра, 11 класс Сборник задач, авторы: Арефьева Ирина Глебовна, Пирютко Ольга Николаевна, издательство Народная асвета, Минск, 2020, белого цвета

Авторы: Арефьева И. Г., Пирютко О. Н.

Тип: Сборник задач

Издательство: Народная асвета

Год издания: 2020 - 2026

Уровень обучения: базовый и повышенный

Цвет обложки: белый с графиком

Допущено Министерством образования Республики Беларусь

Популярные ГДЗ в 11 классе

Глава 3. Логарифмическая функция. Параграф 10. Логарифмические неравенства - номер 12, страница 92.

№12 (с. 92)
Условие. №12 (с. 92)
скриншот условия
Алгебра, 11 класс Сборник задач, авторы: Арефьева Ирина Глебовна, Пирютко Ольга Николаевна, издательство Народная асвета, Минск, 2020, белого цвета, страница 92, номер 12, Условие

10.12. Решите неравенство:

a) $\lg^2(100x) + \lg^2(10x) \le 14 + \lg\frac{1}{x}$;

б) $\log_3^2(3x) + \log_3 x \le 2\log_{\sqrt{3}} 3.$

Решение. №12 (с. 92)
Алгебра, 11 класс Сборник задач, авторы: Арефьева Ирина Глебовна, Пирютко Ольга Николаевна, издательство Народная асвета, Минск, 2020, белого цвета, страница 92, номер 12, Решение Алгебра, 11 класс Сборник задач, авторы: Арефьева Ирина Глебовна, Пирютко Ольга Николаевна, издательство Народная асвета, Минск, 2020, белого цвета, страница 92, номер 12, Решение (продолжение 2)
Решение 2. №12 (с. 92)

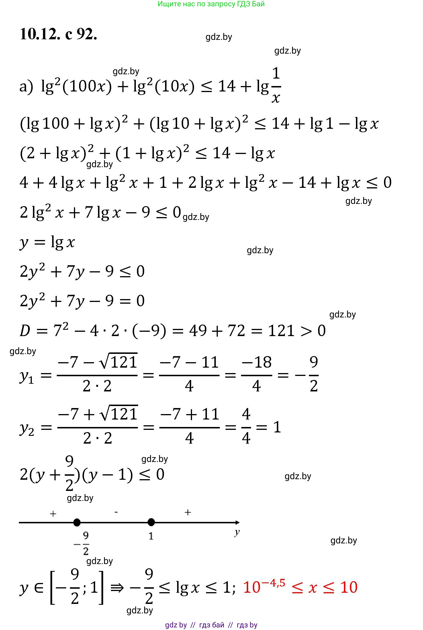
а) Исходное неравенство: $ \lg^2(100x) + \lg^2(10x) \le 14 + \lg \frac{1}{x} $.

Область допустимых значений (ОДЗ) определяется условиями положительности аргументов логарифмов: $100x > 0$, $10x > 0$ и $\frac{1}{x} > 0$. Все эти условия эквивалентны $x > 0$.

Используя свойства логарифмов $\lg(ab) = \lg a + \lg b$ и $\lg(1/c) = -\lg c$, преобразуем неравенство:

$(\lg 100 + \lg x)^2 + (\lg 10 + \lg x)^2 \le 14 - \lg x$

Так как $\lg 100 = 2$ и $\lg 10 = 1$, получаем:

$(2 + \lg x)^2 + (1 + \lg x)^2 \le 14 - \lg x$

Сделаем замену переменной. Пусть $t = \lg x$. Неравенство примет вид:

$(2 + t)^2 + (1 + t)^2 \le 14 - t$

Раскроем скобки и приведем подобные слагаемые:

$(4 + 4t + t^2) + (1 + 2t + t^2) \le 14 - t$

$2t^2 + 6t + 5 \le 14 - t$

$2t^2 + 7t - 9 \le 0$

Для решения квадратного неравенства найдем корни уравнения $2t^2 + 7t - 9 = 0$.
Дискриминант $D = 7^2 - 4 \cdot 2 \cdot (-9) = 49 + 72 = 121 = 11^2$.
Корни: $t_1 = \frac{-7 - 11}{2 \cdot 2} = -\frac{18}{4} = -\frac{9}{2}$ и $t_2 = \frac{-7 + 11}{2 \cdot 2} = \frac{4}{4} = 1$.

Так как парабола $y = 2t^2 + 7t - 9$ имеет ветви, направленные вверх, неравенство $2t^2 + 7t - 9 \le 0$ выполняется на промежутке между корнями: $-\frac{9}{2} \le t \le 1$.

Выполним обратную замену:

$-\frac{9}{2} \le \lg x \le 1$

Так как основание десятичного логарифма $10 > 1$, функция является возрастающей. Потенцируя неравенство, получаем:

$10^{-9/2} \le x \le 10^1$

Данный интервал полностью входит в ОДЗ ($x>0$). Выделим целую часть из неправильной дроби в показателе степени: $-\frac{9}{2} = -4\frac{1}{2}$.

Ответ: $x \in [10^{-4\frac{1}{2}}, 10]$.

б) Исходное неравенство: $ \log_3^2(3x) + \log_3 x \le 2\log_{\sqrt{3}} 3 - 3 $.

ОДЗ определяется условиями $3x > 0$ и $x > 0$, что дает $x > 0$.

Преобразуем левую и правую части неравенства.

Левая часть: используя свойство логарифма произведения $\log_a(bc) = \log_a b + \log_a c$, получаем:
$\log_3(3x) = \log_3 3 + \log_3 x = 1 + \log_3 x$.

Правая часть: используя свойство $\log_{a^k} b = \frac{1}{k} \log_a b$, преобразуем $\log_{\sqrt{3}} 3$:
$2\log_{\sqrt{3}} 3 - 3 = 2\log_{3^{1/2}} 3 - 3 = 2 \cdot \frac{1}{1/2} \log_3 3 - 3 = 2 \cdot 2 \cdot 1 - 3 = 4 - 3 = 1$.

Подставим преобразованные выражения в исходное неравенство:

$(1 + \log_3 x)^2 + \log_3 x \le 1$

Сделаем замену переменной. Пусть $t = \log_3 x$.

$(1 + t)^2 + t \le 1$

Раскроем скобки и упростим:

$1 + 2t + t^2 + t \le 1$

$t^2 + 3t \le 0$

$t(t + 3) \le 0$

Корнями уравнения $t(t+3)=0$ являются $t=0$ и $t=-3$. Так как парабола $y=t^2+3t$ имеет ветви, направленные вверх, неравенство выполняется на промежутке между корнями: $-3 \le t \le 0$.

Выполним обратную замену:

$-3 \le \log_3 x \le 0$

Так как основание логарифма $3 > 1$, функция является возрастающей. Потенцируя неравенство, получаем:

$3^{-3} \le x \le 3^0$

$\frac{1}{27} \le x \le 1$

Данное решение удовлетворяет ОДЗ ($x>0$).

Ответ: $x \in [\frac{1}{27}, 1]$.

Помогло решение? Оставьте отзыв в комментариях ниже.

Присоединяйтесь к Телеграм-группе @gdz_by_belarus

Присоединиться

Мы подготовили для вас ответ c подробным объяснением домашего задания по алгебре за 11 класс, для упражнения номер 12 расположенного на странице 92 к сборнику задач 2020 года издания для учащихся школ и гимназий.

Теперь на нашем сайте ГДЗ.ТОП вы всегда легко и бесплатно найдёте условие с правильным ответом на вопрос «Как решить ДЗ» и «Как сделать» задание по алгебре к упражнению №12 (с. 92), авторов: Арефьева (Ирина Глебовна), Пирютко (Ольга Николаевна), базовый и повышенный уровень обучения учебного пособия издательства Народная асвета.