Номер 7, страница 92 - гдз по алгебре 11 класс сборник задач Арефьева, Пирютко

Алгебра, 11 класс Сборник задач, авторы: Арефьева Ирина Глебовна, Пирютко Ольга Николаевна, издательство Народная асвета, Минск, 2020, белого цвета

Авторы: Арефьева И. Г., Пирютко О. Н.

Тип: Сборник задач

Издательство: Народная асвета

Год издания: 2020 - 2026

Уровень обучения: базовый и повышенный

Цвет обложки: белый с графиком

Допущено Министерством образования Республики Беларусь

Популярные ГДЗ в 11 классе

Глава 3. Логарифмическая функция. Параграф 10. Логарифмические неравенства - номер 7, страница 92.

№7 (с. 92)
Условие. №7 (с. 92)
скриншот условия
Алгебра, 11 класс Сборник задач, авторы: Арефьева Ирина Глебовна, Пирютко Ольга Николаевна, издательство Народная асвета, Минск, 2020, белого цвета, страница 92, номер 7, Условие

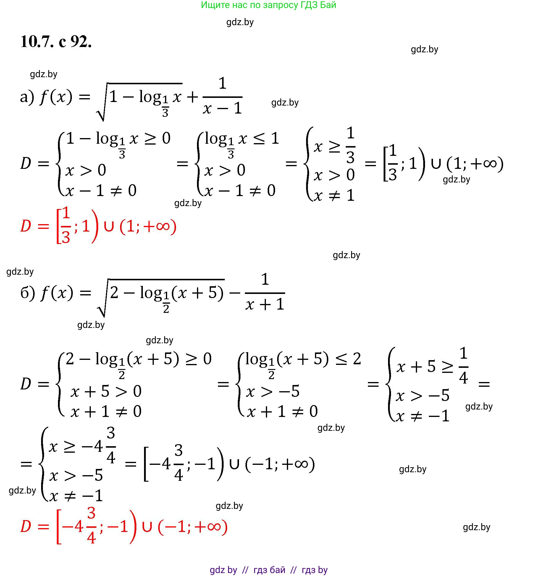
10.7. Найдите область определения функции:

a) $f(x) = \sqrt{1 - \log_{\frac{1}{3}} x + \frac{1}{x - 1}}$;

б) $f(x) = \sqrt{2 - \log_{\frac{1}{2}} (x + 5)} - \frac{1}{x + 1}$.

Решение. №7 (с. 92)
Алгебра, 11 класс Сборник задач, авторы: Арефьева Ирина Глебовна, Пирютко Ольга Николаевна, издательство Народная асвета, Минск, 2020, белого цвета, страница 92, номер 7, Решение
Решение 2. №7 (с. 92)

а) $f(x) = \sqrt{1 - \log_{\frac{1}{3}} x} + \frac{1}{x-1}$

Область определения функции (ОДЗ) находится из системы условий, которые должны выполняться одновременно:

$\begin{cases} 1 - \log_{\frac{1}{3}} x \ge 0 & \text{(выражение под корнем должно быть неотрицательным)} \\ x > 0 & \text{(аргумент логарифма должен быть строго положительным)} \\ x - 1 \ne 0 & \text{(знаменатель дроби не должен быть равен нулю)} \end{cases}$

1. Решим первое неравенство:

$1 - \log_{\frac{1}{3}} x \ge 0 \implies \log_{\frac{1}{3}} x \le 1$

Представим $1$ в виде логарифма с основанием $\frac{1}{3}$: $1 = \log_{\frac{1}{3}} (\frac{1}{3})$.

$\log_{\frac{1}{3}} x \le \log_{\frac{1}{3}} (\frac{1}{3})$

Так как основание логарифма $0 < \frac{1}{3} < 1$, логарифмическая функция является убывающей. Поэтому при переходе от логарифмов к их аргументам знак неравенства меняется на противоположный:

$x \ge \frac{1}{3}$

2. Из второго и третьего условий системы имеем $x > 0$ и $x \ne 1$.

Объединяя все полученные условия ($x \ge \frac{1}{3}$, $x > 0$ и $x \ne 1$), находим их пересечение. Условие $x \ge \frac{1}{3}$ уже включает в себя условие $x > 0$. Таким образом, область определения задается условиями $x \ge \frac{1}{3}$ и $x \ne 1$.

Ответ: $x \in [\frac{1}{3}, 1) \cup (1, +\infty)$.

б) $f(x) = \sqrt{2 - \log_{\frac{1}{2}} (x+5)} - \frac{1}{x+1}$

Область определения функции находится из системы условий:

$\begin{cases} 2 - \log_{\frac{1}{2}} (x+5) \ge 0 & \text{(выражение под корнем должно быть неотрицательным)} \\ x + 5 > 0 & \text{(аргумент логарифма должен быть строго положительным)} \\ x + 1 \ne 0 & \text{(знаменатель дроби не должен быть равен нулю)} \end{cases}$

1. Решим первое неравенство:

$2 - \log_{\frac{1}{2}} (x+5) \ge 0 \implies \log_{\frac{1}{2}} (x+5) \le 2$

Представим $2$ в виде логарифма с основанием $\frac{1}{2}$: $2 = \log_{\frac{1}{2}} ((\frac{1}{2})^2) = \log_{\frac{1}{2}} (\frac{1}{4})$.

$\log_{\frac{1}{2}} (x+5) \le \log_{\frac{1}{2}} (\frac{1}{4})$

Так как основание логарифма $0 < \frac{1}{2} < 1$, функция является убывающей, поэтому знак неравенства меняется на противоположный:

$x+5 \ge \frac{1}{4}$

$x \ge \frac{1}{4} - 5 \implies x \ge \frac{1 - 20}{4} \implies x \ge -\frac{19}{4}$

2. Из второго и третьего условий системы имеем $x > -5$ и $x \ne -1$.

Объединяем все условия: $x \ge -\frac{19}{4}$, $x > -5$ и $x \ne -1$.

Сравним $-\frac{19}{4}$ и $-5$. Так как $-\frac{19}{4} = -4.75$, то $-4.75 > -5$. Следовательно, условие $x \ge -\frac{19}{4}$ является более строгим, и оно поглощает условие $x > -5$. Остаются условия $x \ge -\frac{19}{4}$ и $x \ne -1$. Точка $x=-1$ принадлежит промежутку $[-\frac{19}{4}, +\infty)$, поэтому ее необходимо исключить.

Выделим целую часть из неправильной дроби $-\frac{19}{4}$: $-\frac{19}{4} = -4\frac{3}{4}$.

Ответ: $x \in [-4\frac{3}{4}, -1) \cup (-1, +\infty)$.

Помогло решение? Оставьте отзыв в комментариях ниже.

Присоединяйтесь к Телеграм-группе @gdz_by_belarus

Присоединиться

Мы подготовили для вас ответ c подробным объяснением домашего задания по алгебре за 11 класс, для упражнения номер 7 расположенного на странице 92 к сборнику задач 2020 года издания для учащихся школ и гимназий.

Теперь на нашем сайте ГДЗ.ТОП вы всегда легко и бесплатно найдёте условие с правильным ответом на вопрос «Как решить ДЗ» и «Как сделать» задание по алгебре к упражнению №7 (с. 92), авторов: Арефьева (Ирина Глебовна), Пирютко (Ольга Николаевна), базовый и повышенный уровень обучения учебного пособия издательства Народная асвета.