Номер 5, страница 92 - гдз по алгебре 11 класс сборник задач Арефьева, Пирютко

Алгебра, 11 класс Сборник задач, авторы: Арефьева Ирина Глебовна, Пирютко Ольга Николаевна, издательство Народная асвета, Минск, 2020, белого цвета

Авторы: Арефьева И. Г., Пирютко О. Н.

Тип: Сборник задач

Издательство: Народная асвета

Год издания: 2020 - 2026

Уровень обучения: базовый и повышенный

Цвет обложки: белый с графиком

Допущено Министерством образования Республики Беларусь

Популярные ГДЗ в 11 классе

Глава 3. Логарифмическая функция. Параграф 10. Логарифмические неравенства - номер 5, страница 92.

№5 (с. 92)
Условие. №5 (с. 92)
скриншот условия
Алгебра, 11 класс Сборник задач, авторы: Арефьева Ирина Глебовна, Пирютко Ольга Николаевна, издательство Народная асвета, Минск, 2020, белого цвета, страница 92, номер 5, Условие

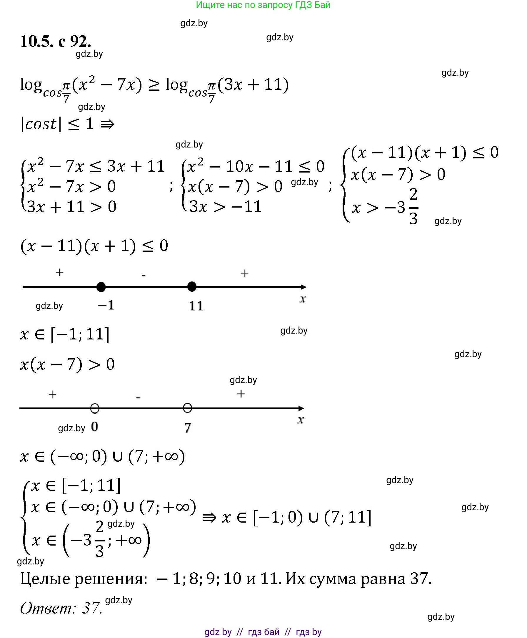
10.5. Найдите сумму целых решений неравенства

$\log_{\cos \frac{\pi}{7}} (x^2 - 7x) \ge \log_{\cos \frac{\pi}{7}} (3x + 11)$

Решение. №5 (с. 92)
Алгебра, 11 класс Сборник задач, авторы: Арефьева Ирина Глебовна, Пирютко Ольга Николаевна, издательство Народная асвета, Минск, 2020, белого цвета, страница 92, номер 5, Решение
Решение 2. №5 (с. 92)

Для решения неравенства $$ \log_{\cos\frac{\pi}{7}}(x^2 - 7x) \ge \log_{\cos\frac{\pi}{7}}(3x + 11) $$ необходимо сначала проанализировать основание логарифма.

Основание $a = \cos\frac{\pi}{7}$. Так как угол $\frac{\pi}{7}$ находится в первой четверти ($0 < \frac{\pi}{7} < \frac{\pi}{2}$), то его косинус удовлетворяет условию $0 < \cos\frac{\pi}{7} < 1$.

Поскольку основание логарифма находится в интервале $(0, 1)$, логарифмическая функция является убывающей. Это означает, что при переходе к неравенству для аргументов логарифмов знак неравенства меняется на противоположный. Также необходимо учесть область допустимых значений (ОДЗ), согласно которой аргументы логарифмов должны быть строго положительными.

Таким образом, исходное неравенство равносильно системе:

$$\begin{cases}x^2 - 7x > 0 \\3x + 11 > 0 \\x^2 - 7x \le 3x + 11\end{cases}$$

Решим каждое неравенство системы по отдельности:

1. Неравенство $x^2 - 7x > 0$ разложим на множители: $x(x - 7) > 0$. Корнями являются $x=0$ и $x=7$. Решением является объединение интервалов $x \in (-\infty, 0) \cup (7, +\infty)$.

2. Неравенство $3x + 11 > 0$ решается следующим образом: $3x > -11$, откуда $x > -\frac{11}{3}$.

3. Неравенство $x^2 - 7x \le 3x + 11$ приводим к виду $x^2 - 10x - 11 \le 0$. Найдем корни квадратного уравнения $x^2 - 10x - 11 = 0$. По теореме Виета или через дискриминант находим корни $x_1 = -1$ и $x_2 = 11$. Так как ветви параболы направлены вверх, решением неравенства является отрезок $x \in [-1, 11]$.

Теперь найдем пересечение всех трех полученных решений. Общее решение системы — это множество $x$, удовлетворяющее всем трем условиям одновременно. Это соответствует пересечению множеств $x \in (-\infty, 0) \cup (7, +\infty)$, $x \in (-\frac{11}{3}, +\infty)$ и $x \in [-1, 11]$.

Итоговое множество решений неравенства: $x \in [-1, 0) \cup (7, 11]$.

Далее найдем все целые решения, принадлежащие этому множеству.

  • Из интервала $[-1, 0)$ целым решением является $x = -1$.
  • Из интервала $(7, 11]$ целыми решениями являются $x = 8, 9, 10, 11$.

Множество всех целых решений: $\{-1, 8, 9, 10, 11\}$.

Требуется найти сумму этих целых решений:

Сумма = $-1 + 8 + 9 + 10 + 11 = 37$.

Ответ: 37.

Помогло решение? Оставьте отзыв в комментариях ниже.

Присоединяйтесь к Телеграм-группе @gdz_by_belarus

Присоединиться

Мы подготовили для вас ответ c подробным объяснением домашего задания по алгебре за 11 класс, для упражнения номер 5 расположенного на странице 92 к сборнику задач 2020 года издания для учащихся школ и гимназий.

Теперь на нашем сайте ГДЗ.ТОП вы всегда легко и бесплатно найдёте условие с правильным ответом на вопрос «Как решить ДЗ» и «Как сделать» задание по алгебре к упражнению №5 (с. 92), авторов: Арефьева (Ирина Глебовна), Пирютко (Ольга Николаевна), базовый и повышенный уровень обучения учебного пособия издательства Народная асвета.