Номер 39, страница 95 - гдз по алгебре 11 класс сборник задач Арефьева, Пирютко

Алгебра, 11 класс Сборник задач, авторы: Арефьева Ирина Глебовна, Пирютко Ольга Николаевна, издательство Народная асвета, Минск, 2020, белого цвета

Авторы: Арефьева И. Г., Пирютко О. Н.

Тип: Сборник задач

Издательство: Народная асвета

Год издания: 2020 - 2026

Уровень обучения: базовый и повышенный

Цвет обложки: белый с графиком

Допущено Министерством образования Республики Беларусь

Популярные ГДЗ в 11 классе

Глава 3. Логарифмическая функция. Параграф 10. Логарифмические неравенства - номер 39, страница 95.

№39 (с. 95)
Условие. №39 (с. 95)
скриншот условия
Алгебра, 11 класс Сборник задач, авторы: Арефьева Ирина Глебовна, Пирютко Ольга Николаевна, издательство Народная асвета, Минск, 2020, белого цвета, страница 95, номер 39, Условие

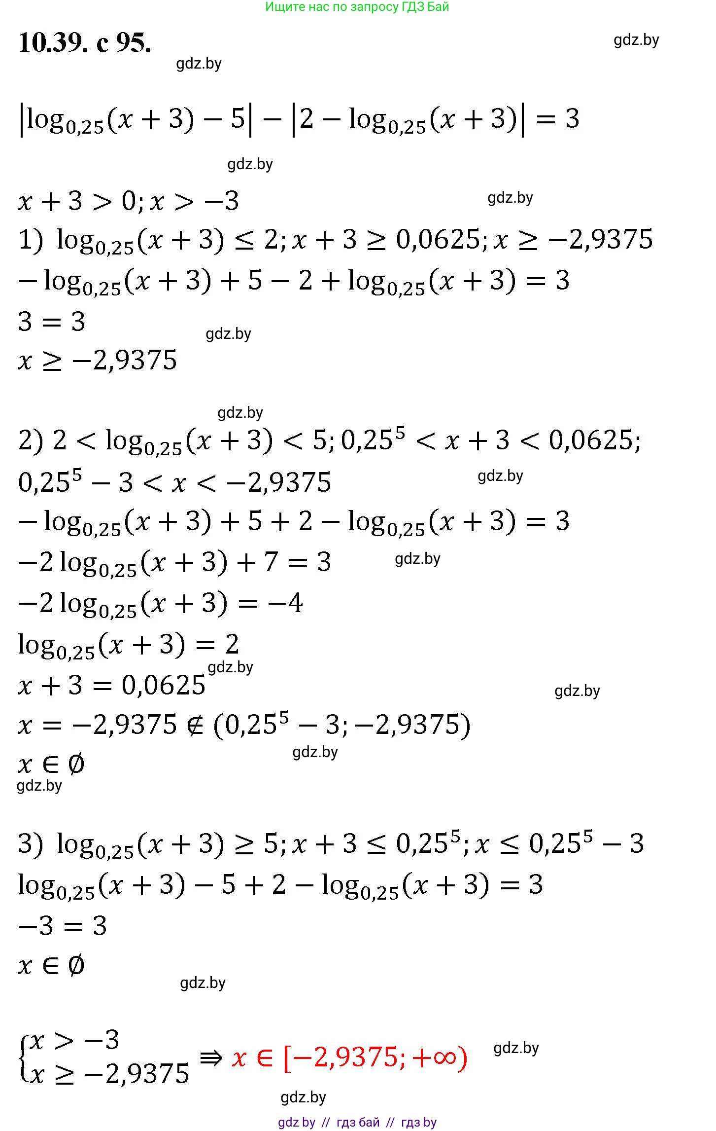
10.39. Решите уравнение $|\log_{0.25}(x+3)-5|-|2-\log_{0.25}(x+3)|=3.$

Решение. №39 (с. 95)
Алгебра, 11 класс Сборник задач, авторы: Арефьева Ирина Глебовна, Пирютко Ольга Николаевна, издательство Народная асвета, Минск, 2020, белого цвета, страница 95, номер 39, Решение
Решение 2. №39 (с. 95)

Исходное уравнение:

$$|\log_{0,25}(x+3) - 5| - |2 - \log_{0,25}(x+3)| = 3$$

1. Определим область допустимых значений (ОДЗ). Выражение под знаком логарифма должно быть строго положительным:

$$x + 3 > 0 \implies x > -3$$

2. Введем замену переменной. Пусть $t = \log_{0,25}(x+3)$. Тогда уравнение примет вид:

$$|t - 5| - |2 - t| = 3$$

Используя свойство модуля $|a| = |-a|$, перепишем $|2 - t|$ как $|t - 2|$:

$$|t - 5| - |t - 2| = 3$$

3. Решим уравнение с модулями методом интервалов. Найдем нули подмодульных выражений: $t=2$ и $t=5$. Эти точки разбивают числовую прямую на три интервала. Рассмотрим каждый случай.

  • Случай 1: $t < 2$
    В этом случае $(t-5) < 0$ и $(t-2) < 0$. Раскрываем модули, меняя знак выражений: $$-(t - 5) - (-(t - 2)) = 3$$ $$-t + 5 + t - 2 = 3$$ $$3 = 3$$ Это верное тождество, значит, все значения $t$ из этого интервала ($t < 2$) являются решением.
  • Случай 2: $2 \le t < 5$
    В этом случае $(t-5) < 0$, а $(t-2) \ge 0$. $$-(t - 5) - (t - 2) = 3$$ $$-t + 5 - t + 2 = 3$$ $$7 - 2t = 3$$ $$2t = 4$$ $$t = 2$$ Значение $t=2$ входит в рассматриваемый промежуток, следовательно, является решением.
  • Случай 3: $t \ge 5$
    В этом случае $(t-5) \ge 0$ и $(t-2) > 0$. $$(t - 5) - (t - 2) = 3$$ $$t - 5 - t + 2 = 3$$ $$-3 = 3$$ Это неверное равенство, решений в этом интервале нет.

4. Объединим решения для $t$. Из первого случая имеем $t < 2$, из второго $t = 2$. Объединяя, получаем $t \le 2$.

5. Выполним обратную замену.

$$\log_{0,25}(x+3) \le 2$$

6. Решим логарифмическое неравенство. Представим $2$ как логарифм по основанию $0,25$:

$$2 = \log_{0,25}((0,25)^2) = \log_{0,25}\left(\left(\frac{1}{4}\right)^2\right) = \log_{0,25}\left(\frac{1}{16}\right)$$

Неравенство принимает вид:

$$\log_{0,25}(x+3) \le \log_{0,25}\left(\frac{1}{16}\right)$$

Поскольку основание логарифма $0,25$ находится в интервале $(0, 1)$, логарифмическая функция является убывающей. Поэтому при переходе к сравнению аргументов знак неравенства меняется на противоположный:

$$x + 3 \ge \frac{1}{16}$$

$$x \ge \frac{1}{16} - 3$$

$$x \ge \frac{1}{16} - \frac{48}{16}$$

$$x \ge -\frac{47}{16}$$

7. Совместим решение с ОДЗ. Мы нашли, что $x \ge -\frac{47}{16}$, а ОДЗ требует $x > -3$.

Сравним $-\frac{47}{16}$ и $-3$. Так как $-\frac{47}{16} = -2\frac{15}{16}$, а $-3 = -2\frac{16}{16}$, то условие $x \ge -2\frac{15}{16}$ является более строгим и уже включает в себя условие ОДЗ.

Таким образом, окончательное решение - это промежуток $\left[-\frac{47}{16}, +\infty\right)$.

Ответ: $x \in [-\textbf{2}\frac{15}{16}; +\infty)$

Помогло решение? Оставьте отзыв в комментариях ниже.

Присоединяйтесь к Телеграм-группе @gdz_by_belarus

Присоединиться

Мы подготовили для вас ответ c подробным объяснением домашего задания по алгебре за 11 класс, для упражнения номер 39 расположенного на странице 95 к сборнику задач 2020 года издания для учащихся школ и гимназий.

Теперь на нашем сайте ГДЗ.ТОП вы всегда легко и бесплатно найдёте условие с правильным ответом на вопрос «Как решить ДЗ» и «Как сделать» задание по алгебре к упражнению №39 (с. 95), авторов: Арефьева (Ирина Глебовна), Пирютко (Ольга Николаевна), базовый и повышенный уровень обучения учебного пособия издательства Народная асвета.