Номер 45, страница 95 - гдз по алгебре 11 класс сборник задач Арефьева, Пирютко

Алгебра, 11 класс Сборник задач, авторы: Арефьева Ирина Глебовна, Пирютко Ольга Николаевна, издательство Народная асвета, Минск, 2020, белого цвета

Авторы: Арефьева И. Г., Пирютко О. Н.

Тип: Сборник задач

Издательство: Народная асвета

Год издания: 2020 - 2026

Уровень обучения: базовый и повышенный

Цвет обложки: белый с графиком

Допущено Министерством образования Республики Беларусь

Популярные ГДЗ в 11 классе

Глава 3. Логарифмическая функция. Параграф 10. Логарифмические неравенства - номер 45, страница 95.

№45 (с. 95)
Условие. №45 (с. 95)
скриншот условия
Алгебра, 11 класс Сборник задач, авторы: Арефьева Ирина Глебовна, Пирютко Ольга Николаевна, издательство Народная асвета, Минск, 2020, белого цвета, страница 95, номер 45, Условие

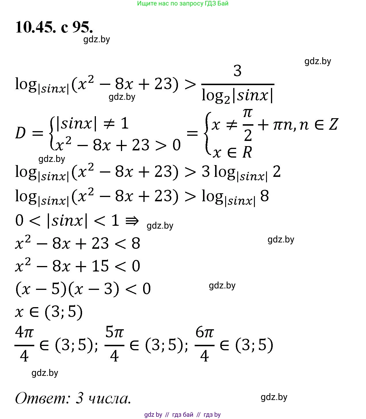
10.45. Найдите количество чисел вида $ \frac{\pi m}{4} $, $ m \in \mathbb{Z} $, являющихся решением неравенства $ \log_{|\sin x|} (x^2 - 8x + 23)> \frac{3}{\log_2|\sin x|} $.

Решение. №45 (с. 95)
Алгебра, 11 класс Сборник задач, авторы: Арефьева Ирина Глебовна, Пирютко Ольга Николаевна, издательство Народная асвета, Минск, 2020, белого цвета, страница 95, номер 45, Решение
Решение 2. №45 (с. 95)

Для решения неравенства $\log_{|\sin x|} (x^2 - 8x + 23) > \frac{3}{\log_2 |\sin x|}$ найдем сначала область допустимых значений (ОДЗ).

  1. Основание логарифма $|\sin x|$ должно быть положительным и не равным единице:
    • $|\sin x| > 0 \implies \sin x \neq 0 \implies x \neq \pi k$, где $k \in \mathbb{Z}$.
    • $|\sin x| \neq 1 \implies \sin x \neq \pm 1 \implies x \neq \frac{\pi}{2} + \pi k$, где $k \in \mathbb{Z}$.
    Объединяя эти условия, получаем, что $x \neq \frac{\pi n}{2}$ для любого целого $n$.
  2. Аргумент логарифма $x^2 - 8x + 23$ должен быть строго положительным. Найдем дискриминант этого квадратного трехчлена: $D = (-8)^2 - 4 \cdot 1 \cdot 23 = 64 - 92 = -28$. Так как $D < 0$ и старший коэффициент ($1$) положителен, выражение $x^2 - 8x + 23$ положительно при всех действительных значениях $x$.
  3. Знаменатель в правой части неравенства не должен быть равен нулю: $\log_2|\sin x| \neq 0$, что эквивалентно $|\sin x| \neq 1$. Это условие уже учтено в пункте 1.

Таким образом, ОДЗ: $x \neq \frac{\pi n}{2}$, где $n \in \mathbb{Z}$.

Преобразуем исходное неравенство, используя формулу перехода к новому основанию логарифма $\log_a b = \frac{\log_c b}{\log_c a}$ для основания 2:

$\frac{\log_2(x^2 - 8x + 23)}{\log_2|\sin x|} > \frac{3}{\log_2|\sin x|}$

Перенесем все члены в левую часть и приведем к общему знаменателю:

$\frac{\log_2(x^2 - 8x + 23) - 3}{\log_2|\sin x|} > 0$

Из ОДЗ следует, что $0 < |\sin x| < 1$. Так как логарифмическая функция с основанием $2 > 1$ является возрастающей, то из $0 < |\sin x| < 1$ следует $\log_2|\sin x| < \log_2 1$, то есть $\log_2|\sin x| < 0$.

Поскольку знаменатель дроби отрицателен, для выполнения неравенства необходимо, чтобы числитель также был отрицательным:

$\log_2(x^2 - 8x + 23) - 3 < 0$

$\log_2(x^2 - 8x + 23) < 3$

Так как основание логарифма $2 > 1$, мы можем потенцировать неравенство, сохраняя его знак:

$x^2 - 8x + 23 < 2^3$

$x^2 - 8x + 23 < 8$

$x^2 - 8x + 15 < 0$

Найдем корни квадратного уравнения $x^2 - 8x + 15 = 0$. По теореме Виета, корни равны $x_1 = 3$ и $x_2 = 5$. Так как парабола $y = x^2 - 8x + 15$ направлена ветвями вверх, неравенство выполняется на интервале между корнями:$3 < x < 5$.

Теперь необходимо найти количество чисел вида $x = \frac{\pi m}{4}$, где $m \in \mathbb{Z}$, которые удовлетворяют как полученному интервалу $3 < x < 5$, так и ОДЗ ($x \neq \frac{\pi n}{2}$).

Подставим $x = \frac{\pi m}{4}$ в двойное неравенство:

$3 < \frac{\pi m}{4} < 5$

Умножим все части на 4 и разделим на $\pi$:

$12 < \pi m < 20$

$\frac{12}{\pi} < m < \frac{20}{\pi}$

Используя приближенное значение $\pi \approx 3.14159$, получаем:

$\frac{12}{3.14159} \approx 3.82$

$\frac{20}{3.14159} \approx 6.37$

Следовательно, $3.82 < m < 6.37$. Целые значения $m$, удовлетворяющие этому условию: $m = 4, 5, 6$.

Проверим каждое из этих значений на соответствие ОДЗ ($x \neq \frac{\pi n}{2}$):

  • При $m=4$: $x = \frac{4\pi}{4} = \pi$. Это значение не входит в ОДЗ, так как $\sin(\pi) = 0$.
  • При $m=5$: $x = \frac{5\pi}{4}$. Для этого значения $\sin(\frac{5\pi}{4}) = -\frac{\sqrt{2}}{2}$, следовательно $|\sin x| = \frac{\sqrt{2}}{2}$. Это значение удовлетворяет ОДЗ, так как $0 < \frac{\sqrt{2}}{2} < 1$.
  • При $m=6$: $x = \frac{6\pi}{4} = \frac{3\pi}{2}$. Это значение не входит в ОДЗ, так как $|\sin(\frac{3\pi}{2})| = |-1| = 1$.

Таким образом, только одно значение $m=5$ приводит к решению, удовлетворяющему всем условиям задачи. Следовательно, существует только одно такое число.

Ответ: 1.

Помогло решение? Оставьте отзыв в комментариях ниже.

Присоединяйтесь к Телеграм-группе @gdz_by_belarus

Присоединиться

Мы подготовили для вас ответ c подробным объяснением домашего задания по алгебре за 11 класс, для упражнения номер 45 расположенного на странице 95 к сборнику задач 2020 года издания для учащихся школ и гимназий.

Теперь на нашем сайте ГДЗ.ТОП вы всегда легко и бесплатно найдёте условие с правильным ответом на вопрос «Как решить ДЗ» и «Как сделать» задание по алгебре к упражнению №45 (с. 95), авторов: Арефьева (Ирина Глебовна), Пирютко (Ольга Николаевна), базовый и повышенный уровень обучения учебного пособия издательства Народная асвета.