Номер 5, страница 115 - гдз по алгебре 11 класс сборник задач Арефьева, Пирютко

Алгебра, 11 класс Сборник задач, авторы: Арефьева Ирина Глебовна, Пирютко Ольга Николаевна, издательство Народная асвета, Минск, 2020, белого цвета

Авторы: Арефьева И. Г., Пирютко О. Н.

Тип: Сборник задач

Издательство: Народная асвета

Год издания: 2020 - 2026

Уровень обучения: базовый и повышенный

Цвет обложки: белый с графиком

Допущено Министерством образования Республики Беларусь

Популярные ГДЗ в 11 классе

Глава 4. Системы уравнений и неравенств. Параграф 11. Методы решения систем уравнений - номер 5, страница 115.

№5 (с. 115)
Условие. №5 (с. 115)
скриншот условия
Алгебра, 11 класс Сборник задач, авторы: Арефьева Ирина Глебовна, Пирютко Ольга Николаевна, издательство Народная асвета, Минск, 2020, белого цвета, страница 115, номер 5, Условие

11.5. Решите систему уравнений:

a) $\begin{cases} x^2 + xy = 2, \\ y - 3x = 7; \end{cases}$

б) $\begin{cases} (x + 2)(y + 1) = 12, \\ x + 2y = 6; \end{cases}$

в) $\begin{cases} (x + 2y)^2 - (3x + y)^2 = 8, \\ y - 2x = 4; \end{cases}$

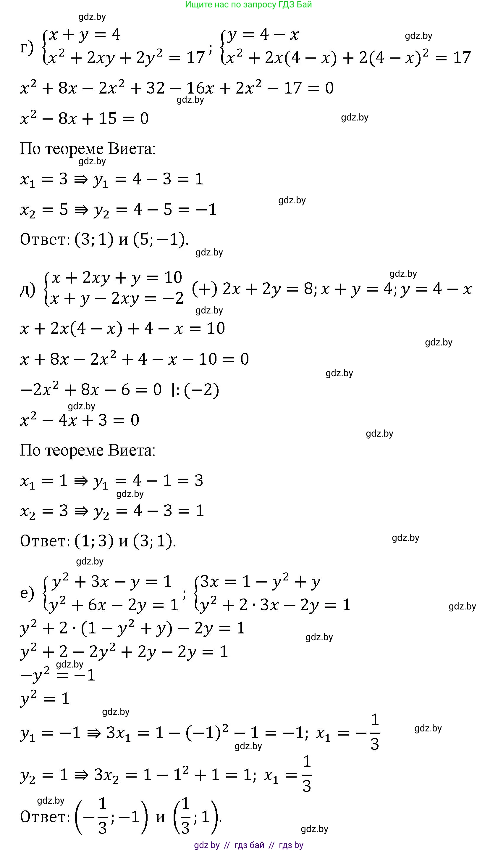
г) $\begin{cases} x + y = 4, \\ x^2 + 2xy + 2y^2 = 17; \end{cases}$

д) $\begin{cases} x + 2xy + y = 10, \\ x + y - 2xy = -2; \end{cases}$

е) $\begin{cases} y^2 + 3x - y = 1, \\ y^2 + 6x - 2y = 1. \end{cases}$

Решение. №5 (с. 115)
Алгебра, 11 класс Сборник задач, авторы: Арефьева Ирина Глебовна, Пирютко Ольга Николаевна, издательство Народная асвета, Минск, 2020, белого цвета, страница 115, номер 5, Решение Алгебра, 11 класс Сборник задач, авторы: Арефьева Ирина Глебовна, Пирютко Ольга Николаевна, издательство Народная асвета, Минск, 2020, белого цвета, страница 115, номер 5, Решение (продолжение 2)
Решение 2. №5 (с. 115)

а) Дана система уравнений: $$ \begin{cases} x^2 + xy = 2 \\ y - 3x = 7 \end{cases} $$ Решим систему методом подстановки. Из второго уравнения выразим $y$ через $x$: $$ y = 3x + 7 $$ Подставим это выражение в первое уравнение: $$ x^2 + x(3x + 7) = 2 $$ $$ x^2 + 3x^2 + 7x - 2 = 0 $$ $$ 4x^2 + 7x - 2 = 0 $$ Это квадратное уравнение. Найдем его корни с помощью дискриминанта $D = b^2 - 4ac$: $$ D = 7^2 - 4 \cdot 4 \cdot (-2) = 49 + 32 = 81 $$ $$ x_{1,2} = \frac{-b \pm \sqrt{D}}{2a} = \frac{-7 \pm \sqrt{81}}{2 \cdot 4} = \frac{-7 \pm 9}{8} $$ Получаем два корня для $x$: $$ x_1 = \frac{-7 + 9}{8} = \frac{2}{8} = \frac{1}{4} $$ $$ x_2 = \frac{-7 - 9}{8} = \frac{-16}{8} = -2 $$ Теперь найдем соответствующие значения $y$, используя формулу $y = 3x + 7$:
Для $x_1 = \frac{1}{4}$: $$ y_1 = 3 \cdot \frac{1}{4} + 7 = \frac{3}{4} + \frac{28}{4} = \frac{31}{4} = 7\frac{3}{4} $$ Первое решение: $(\frac{1}{4}, 7\frac{3}{4})$.
Для $x_2 = -2$: $$ y_2 = 3 \cdot (-2) + 7 = -6 + 7 = 1 $$ Второе решение: $(-2, 1)$.

Ответ: $ (\frac{1}{4}; 7\frac{3}{4}), (-2; 1) $.

б) Дана система уравнений: $$ \begin{cases} (x+2)(y+1) = 12 \\ x + 2y = 6 \end{cases} $$ Решим систему методом подстановки. Из второго уравнения выразим $x$ через $y$: $$ x = 6 - 2y $$ Подставим это выражение в первое уравнение: $$ ((6 - 2y) + 2)(y + 1) = 12 $$ $$ (8 - 2y)(y + 1) = 12 $$ $$ 8y + 8 - 2y^2 - 2y = 12 $$ $$ -2y^2 + 6y - 4 = 0 $$ Разделим обе части уравнения на $-2$: $$ y^2 - 3y + 2 = 0 $$ Корни этого квадратного уравнения (например, по теореме Виета) $y_1=1$ и $y_2=2$.
Найдем соответствующие значения $x$:
При $y_1 = 1$: $$ x_1 = 6 - 2(1) = 4 $$ Первое решение: $(4, 1)$.
При $y_2 = 2$: $$ x_2 = 6 - 2(2) = 2 $$ Второе решение: $(2, 2)$.

Ответ: $ (4; 1), (2; 2) $.

в) Дана система уравнений: $$ \begin{cases} (x+2y)^2 - (3x+y)^2 = 8 \\ y - 2x = 4 \end{cases} $$ Применим в первом уравнении формулу разности квадратов $a^2 - b^2 = (a-b)(a+b)$: $$ ((x+2y) - (3x+y))((x+2y) + (3x+y)) = 8 $$ $$ (x+2y-3x-y)(x+2y+3x+y) = 8 $$ $$ (-2x+y)(4x+3y) = 8 $$ Из второго уравнения системы нам известно, что $y - 2x = 4$. Подставим это значение в преобразованное первое уравнение: $$ 4 \cdot (4x+3y) = 8 $$ $$ 4x + 3y = 2 $$ Теперь у нас есть система линейных уравнений: $$ \begin{cases} y - 2x = 4 \\ 4x + 3y = 2 \end{cases} $$ Из первого уравнения выразим $y = 2x + 4$ и подставим во второе: $$ 4x + 3(2x+4) = 2 $$ $$ 4x + 6x + 12 = 2 $$ $$ 10x = -10 $$ $$ x = -1 $$ Теперь найдем $y$: $$ y = 2(-1) + 4 = -2 + 4 = 2 $$ Решение: $(-1, 2)$.

Ответ: $ (-1; 2) $.

г) Дана система уравнений: $$ \begin{cases} x + y = 4 \\ x^2 + 2xy + 2y^2 = 17 \end{cases} $$ Преобразуем второе уравнение, выделив полный квадрат: $$ (x^2 + 2xy + y^2) + y^2 = 17 $$ $$ (x+y)^2 + y^2 = 17 $$ Из первого уравнения системы известно, что $x+y=4$. Подставим это значение в преобразованное второе уравнение: $$ 4^2 + y^2 = 17 $$ $$ 16 + y^2 = 17 $$ $$ y^2 = 1 $$ Отсюда $y_1 = 1$ и $y_2 = -1$.
Найдем соответствующие значения $x$ из уравнения $x+y=4$:
При $y_1 = 1$: $$ x_1 + 1 = 4 \implies x_1 = 3 $$ Первое решение: $(3, 1)$.
При $y_2 = -1$: $$ x_2 + (-1) = 4 \implies x_2 = 5 $$ Второе решение: $(5, -1)$.

Ответ: $ (3; 1), (5; -1) $.

д) Дана система уравнений: $$ \begin{cases} x + 2xy + y = 10 \\ x - 2xy + y = -2 \end{cases} $$ Это симметрическая система. Сгруппируем члены: $$ \begin{cases} (x+y) + 2xy = 10 \\ (x+y) - 2xy = -2 \end{cases} $$ Сложим два уравнения: $$ 2(x+y) = 8 \implies x+y = 4 $$ Вычтем второе уравнение из первого: $$ 4xy = 12 \implies xy = 3 $$ Получили новую, более простую систему: $$ \begin{cases} x+y=4 \\ xy=3 \end{cases} $$ Согласно теореме, обратной теореме Виета, $x$ и $y$ являются корнями квадратного уравнения $t^2 - 4t + 3 = 0$. Корни этого уравнения $t_1=1, t_2=3$. Следовательно, решениями системы являются пары $(1, 3)$ и $(3, 1)$.

Ответ: $ (1; 3), (3; 1) $.

е) Дана система уравнений: $$ \begin{cases} y^2 + 3x - y = 1 \\ y^2 + 6x - 2y = 1 \end{cases} $$ Вычтем первое уравнение из второго: $$ (y^2 + 6x - 2y) - (y^2 + 3x - y) = 1 - 1 $$ $$ y^2 + 6x - 2y - y^2 - 3x + y = 0 $$ $$ 3x - y = 0 \implies y = 3x $$ Подставим выражение $y = 3x$ в первое уравнение исходной системы: $$ (3x)^2 + 3x - (3x) = 1 $$ $$ 9x^2 = 1 $$ $$ x^2 = \frac{1}{9} $$ Отсюда $x_1 = \frac{1}{3}$ и $x_2 = -\frac{1}{3}$.
Найдем соответствующие значения $y$ из $y=3x$:
При $x_1 = \frac{1}{3}$: $$ y_1 = 3 \cdot \frac{1}{3} = 1 $$ Первое решение: $(\frac{1}{3}, 1)$.
При $x_2 = -\frac{1}{3}$: $$ y_2 = 3 \cdot \left(-\frac{1}{3}\right) = -1 $$ Второе решение: $(-\frac{1}{3}, -1)$.

Ответ: $ (\frac{1}{3}; 1), (-\frac{1}{3}; -1) $.

Помогло решение? Оставьте отзыв в комментариях ниже.

Присоединяйтесь к Телеграм-группе @gdz_by_belarus

Присоединиться

Мы подготовили для вас ответ c подробным объяснением домашего задания по алгебре за 11 класс, для упражнения номер 5 расположенного на странице 115 к сборнику задач 2020 года издания для учащихся школ и гимназий.

Теперь на нашем сайте ГДЗ.ТОП вы всегда легко и бесплатно найдёте условие с правильным ответом на вопрос «Как решить ДЗ» и «Как сделать» задание по алгебре к упражнению №5 (с. 115), авторов: Арефьева (Ирина Глебовна), Пирютко (Ольга Николаевна), базовый и повышенный уровень обучения учебного пособия издательства Народная асвета.