Номер 11, страница 116 - гдз по алгебре 11 класс сборник задач Арефьева, Пирютко

Алгебра, 11 класс Сборник задач, авторы: Арефьева Ирина Глебовна, Пирютко Ольга Николаевна, издательство Народная асвета, Минск, 2020, белого цвета

Авторы: Арефьева И. Г., Пирютко О. Н.

Тип: Сборник задач

Издательство: Народная асвета

Год издания: 2020 - 2026

Уровень обучения: базовый и повышенный

Цвет обложки: белый с графиком

Допущено Министерством образования Республики Беларусь

Популярные ГДЗ в 11 классе

Глава 4. Системы уравнений и неравенств. Параграф 11. Методы решения систем уравнений - номер 11, страница 116.

№11 (с. 116)
Условие. №11 (с. 116)
скриншот условия
Алгебра, 11 класс Сборник задач, авторы: Арефьева Ирина Глебовна, Пирютко Ольга Николаевна, издательство Народная асвета, Минск, 2020, белого цвета, страница 116, номер 11, Условие

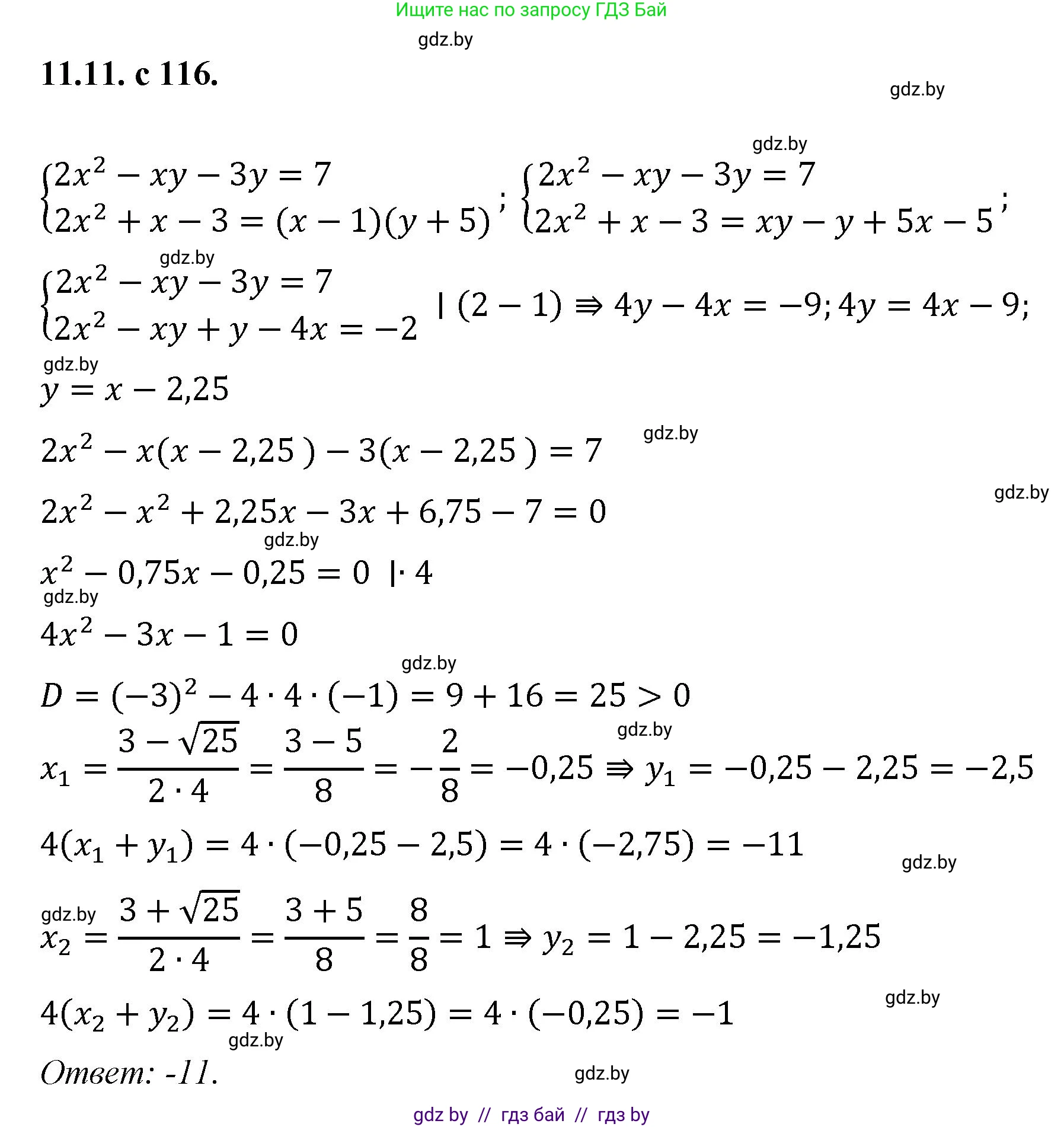
11.11. Найдите наименьшее значение выражения $4(x_0 + y_0)$, где

$(x_0; y_0)$ — решение системы уравнений $ \begin{cases} 2x^2 - xy - 3y = 7, \\ 2x^2 + x - 3 = (x-1)(y+5). \end{cases} $

Решение. №11 (с. 116)
Алгебра, 11 класс Сборник задач, авторы: Арефьева Ирина Глебовна, Пирютко Ольга Николаевна, издательство Народная асвета, Минск, 2020, белого цвета, страница 116, номер 11, Решение
Решение 2. №11 (с. 116)

Для решения задачи сначала упростим систему уравнений. Рассмотрим второе уравнение:

$2x^2 + x - 3 = (x - 1)(y + 5)$

Раскроем скобки в правой части уравнения:

$2x^2 + x - 3 = xy + 5x - y - 5$

Перенесем все члены в левую часть и приведем подобные слагаемые:

$2x^2 + x - 3 - xy - 5x + y + 5 = 0$

$2x^2 - xy - 4x + y + 2 = 0$

Теперь исходная система уравнений может быть переписана в виде:

$$ \begin{cases} 2x^2 - xy - 3y = 7 & (1) \\ 2x^2 - xy - 4x + y + 2 = 0 & (2) \end{cases} $$

Заметим, что в обоих уравнениях присутствует одинаковое выражение $2x^2 - xy$. Выразим его из первого уравнения:

$2x^2 - xy = 7 + 3y$

Теперь подставим это выражение во второе уравнение системы:

$(7 + 3y) - 4x + y + 2 = 0$

Упростим полученное уравнение:

$4y - 4x + 9 = 0$

Из этого линейного уравнения можно выразить переменную $y$ через $x$:

$4y = 4x - 9$

$y = x - \frac{9}{4}$

Подставим полученное выражение для $y$ в первое уравнение исходной системы:

$2x^2 - x(x - \frac{9}{4}) - 3(x - \frac{9}{4}) = 7$

Раскроем скобки:

$2x^2 - x^2 + \frac{9}{4}x - 3x + \frac{27}{4} = 7$

Приведем подобные слагаемые:

$x^2 + (\frac{9}{4} - \frac{12}{4})x + \frac{27}{4} = 7$

$x^2 - \frac{3}{4}x + \frac{27}{4} = 7$

Чтобы избавиться от дробей, умножим обе части уравнения на 4:

$4x^2 - 3x + 27 = 28$

$4x^2 - 3x - 1 = 0$

Мы получили квадратное уравнение. Решим его, найдя корни через дискриминант:

$D = b^2 - 4ac = (-3)^2 - 4 \cdot 4 \cdot (-1) = 9 + 16 = 25$

Корни уравнения:

$x_1 = \frac{-b + \sqrt{D}}{2a} = \frac{3 + 5}{2 \cdot 4} = \frac{8}{8} = 1$

$x_2 = \frac{-b - \sqrt{D}}{2a} = \frac{3 - 5}{2 \cdot 4} = \frac{-2}{8} = -\frac{1}{4}$

Теперь для каждого значения $x_0$ найдем соответствующее значение $y_0$, используя ранее выведенную зависимость $y = x - \frac{9}{4}$:

1. Для $x_0 = 1$:

$y_0 = 1 - \frac{9}{4} = \frac{4}{4} - \frac{9}{4} = -\frac{5}{4}$.
Таким образом, первая пара решений $(x_0; y_0)$ это $(1; -\frac{5}{4})$.

2. Для $x_0 = -\frac{1}{4}$:

$y_0 = -\frac{1}{4} - \frac{9}{4} = -\frac{10}{4} = -\frac{5}{2}$.
Вторая пара решений $(x_0; y_0)$ это $(-\frac{1}{4}; -\frac{5}{2})$.

Нам нужно найти наименьшее значение выражения $4(x_0 + y_0)$. Вычислим его для каждой пары решений:

1. Для пары $(1; -\frac{5}{4})$:

$4(x_0 + y_0) = 4(1 + (-\frac{5}{4})) = 4(1 - \frac{5}{4}) = 4(-\frac{1}{4}) = -1$

2. Для пары $(-\frac{1}{4}; -\frac{5}{2})$:

$4(x_0 + y_0) = 4(-\frac{1}{4} + (-\frac{5}{2})) = 4(-\frac{1}{4} - \frac{10}{4}) = 4(-\frac{11}{4}) = -11$

Сравнивая полученные значения -1 и -11, мы видим, что наименьшим является -11.

Наименьшее значение выражения Ответ: -11

Помогло решение? Оставьте отзыв в комментариях ниже.

Присоединяйтесь к Телеграм-группе @gdz_by_belarus

Присоединиться

Мы подготовили для вас ответ c подробным объяснением домашего задания по алгебре за 11 класс, для упражнения номер 11 расположенного на странице 116 к сборнику задач 2020 года издания для учащихся школ и гимназий.

Теперь на нашем сайте ГДЗ.ТОП вы всегда легко и бесплатно найдёте условие с правильным ответом на вопрос «Как решить ДЗ» и «Как сделать» задание по алгебре к упражнению №11 (с. 116), авторов: Арефьева (Ирина Глебовна), Пирютко (Ольга Николаевна), базовый и повышенный уровень обучения учебного пособия издательства Народная асвета.