Номер 16, страница 116 - гдз по алгебре 11 класс сборник задач Арефьева, Пирютко

Алгебра, 11 класс Сборник задач, авторы: Арефьева Ирина Глебовна, Пирютко Ольга Николаевна, издательство Народная асвета, Минск, 2020, белого цвета

Авторы: Арефьева И. Г., Пирютко О. Н.

Тип: Сборник задач

Издательство: Народная асвета

Год издания: 2020 - 2026

Уровень обучения: базовый и повышенный

Цвет обложки: белый с графиком

Допущено Министерством образования Республики Беларусь

Популярные ГДЗ в 11 классе

Глава 4. Системы уравнений и неравенств. Параграф 11. Методы решения систем уравнений - номер 16, страница 116.

№16 (с. 116)
Условие. №16 (с. 116)
скриншот условия
Алгебра, 11 класс Сборник задач, авторы: Арефьева Ирина Глебовна, Пирютко Ольга Николаевна, издательство Народная асвета, Минск, 2020, белого цвета, страница 116, номер 16, Условие

11.16. Решите систему уравнений:

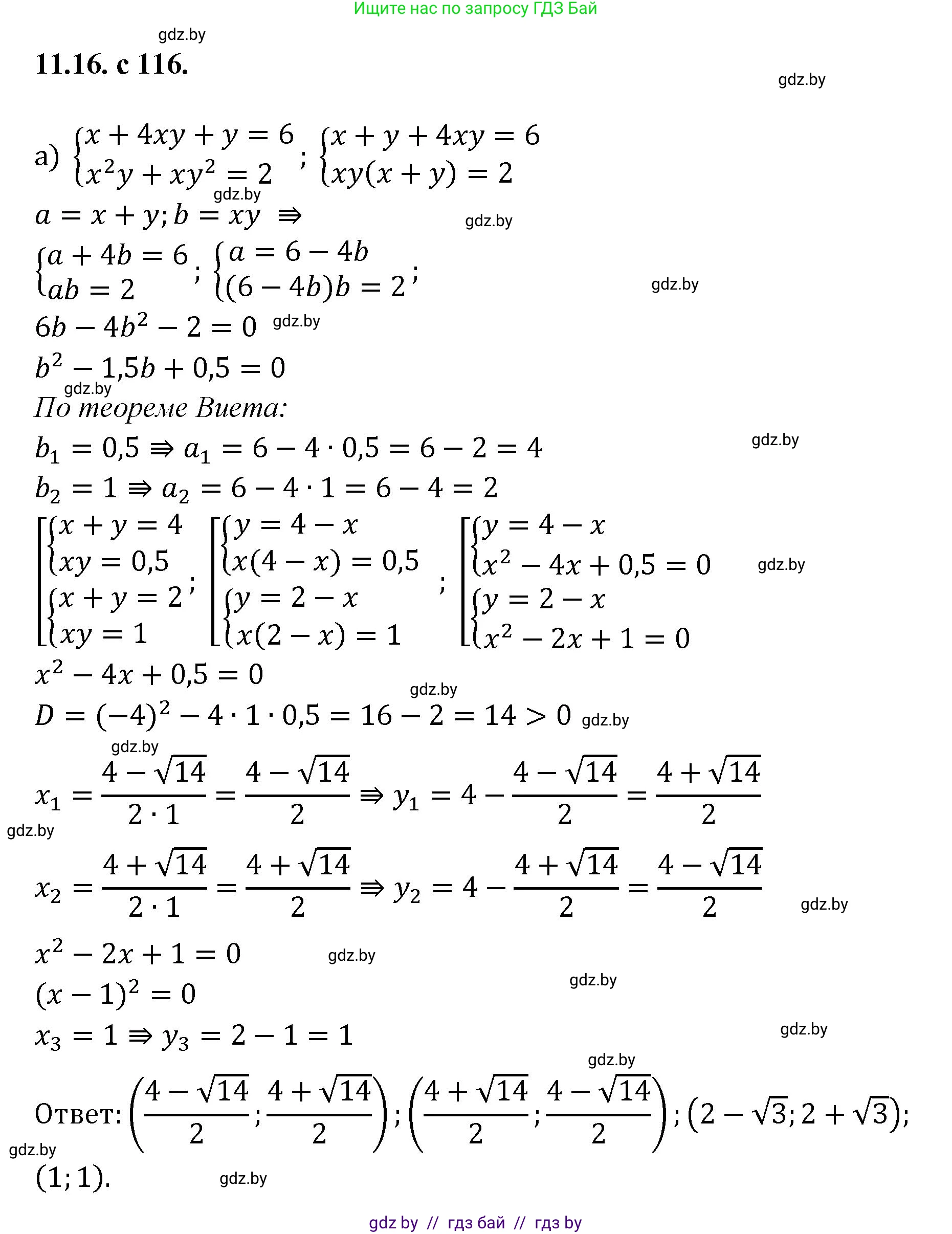
a) $\begin{cases} x + 4xy + y = 6, \\ x^2y + xy^2 = 2; \end{cases}$

б) $\begin{cases} x^2 + y^2 = 25, \\ xy + 1 = x + y; \end{cases}$

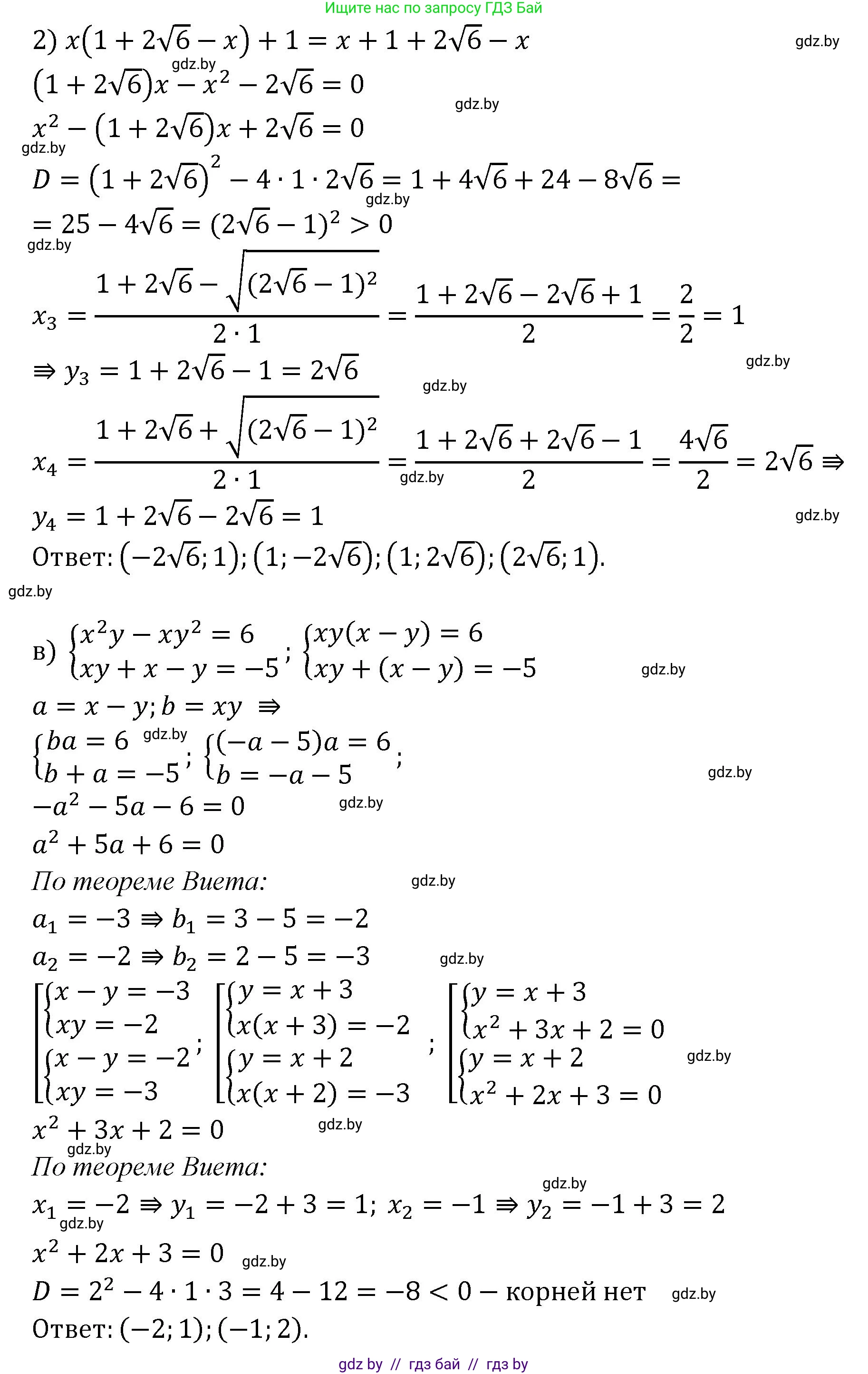
в) $\begin{cases} x^2y - xy^2 = 6, \\ xy + x - y = -5. \end{cases}$

Решение. №16 (с. 116)
Алгебра, 11 класс Сборник задач, авторы: Арефьева Ирина Глебовна, Пирютко Ольга Николаевна, издательство Народная асвета, Минск, 2020, белого цвета, страница 116, номер 16, Решение Алгебра, 11 класс Сборник задач, авторы: Арефьева Ирина Глебовна, Пирютко Ольга Николаевна, издательство Народная асвета, Минск, 2020, белого цвета, страница 116, номер 16, Решение (продолжение 2)
Решение 2. №16 (с. 116)

а) Решим систему уравнений: $$ \begin{cases} x + 4xy + y = 6, \\ x^2y + xy^2 = 2; \end{cases} $$ Преобразуем систему, сгруппировав слагаемые: $$ \begin{cases} (x + y) + 4(xy) = 6, \\ xy(x + y) = 2; \end{cases} $$ Это симметрическая система. Введем новые переменные: пусть $u = x+y$ и $v = xy$. Система примет вид: $$ \begin{cases} u + 4v = 6, \\ uv = 2; \end{cases} $$ Из второго уравнения выразим $u$ через $v$: $u = \frac{2}{v}$ (заметим, что $v \neq 0$, иначе $2=0$, что неверно).
Подставим это выражение в первое уравнение: $$ \frac{2}{v} + 4v = 6 $$ Умножим обе части уравнения на $v$: $$ 2 + 4v^2 = 6v $$ $$ 4v^2 - 6v + 2 = 0 $$ Разделим уравнение на 2: $$ 2v^2 - 3v + 1 = 0 $$ Это квадратное уравнение относительно $v$. Найдем его корни: $$ D = (-3)^2 - 4 \cdot 2 \cdot 1 = 9 - 8 = 1 $$ $$ v_{1,2} = \frac{3 \pm \sqrt{1}}{2 \cdot 2} = \frac{3 \pm 1}{4} $$ Получаем два значения для $v$: $v_1 = \frac{3+1}{4} = 1$ и $v_2 = \frac{3-1}{4} = \frac{1}{2}$.
Теперь найдем соответствующие значения для $u$:

  1. Если $v_1 = 1$, то $u_1 = \frac{2}{1} = 2$.
  2. Если $v_2 = \frac{1}{2}$, то $u_2 = \frac{2}{1/2} = 4$.

Теперь вернемся к исходным переменным $x$ и $y$. У нас есть две системы:

Случай 1: $u=2, v=1$. $$ \begin{cases} x + y = 2, \\ xy = 1; \end{cases} $$ Согласно теореме Виета, $x$ и $y$ являются корнями квадратного уравнения $t^2 - 2t + 1 = 0$. Это уравнение можно записать как $(t-1)^2 = 0$, откуда $t=1$. Следовательно, $x=1$ и $y=1$.

Случай 2: $u=4, v=1/2$. $$ \begin{cases} x + y = 4, \\ xy = \frac{1}{2}; \end{cases} $$ $x$ и $y$ являются корнями квадратного уравнения $t^2 - 4t + \frac{1}{2} = 0$. Умножим на 2, чтобы избавиться от дроби: $2t^2 - 8t + 1 = 0$. Найдем корни: $$ D = (-8)^2 - 4 \cdot 2 \cdot 1 = 64 - 8 = 56 $$ $$ t_{1,2} = \frac{8 \pm \sqrt{56}}{4} = \frac{8 \pm 2\sqrt{14}}{4} = \frac{4 \pm \sqrt{14}}{2} $$ Таким образом, получаем еще две пары решений: $x = \frac{4 + \sqrt{14}}{2}, y = \frac{4 - \sqrt{14}}{2}$ и $x = \frac{4 - \sqrt{14}}{2}, y = \frac{4 + \sqrt{14}}{2}$.
Ответ: $(1, 1)$, $(\frac{4 + \sqrt{14}}{2}, \frac{4 - \sqrt{14}}{2})$, $(\frac{4 - \sqrt{14}}{2}, \frac{4 + \sqrt{14}}{2})$.

б) Решим систему уравнений: $$ \begin{cases} x^2 + y^2 = 25, \\ xy + 1 = x + y; \end{cases} $$ Рассмотрим второе уравнение: $$ xy + 1 = x + y $$ Перенесем все члены в левую часть: $$ xy - x - y + 1 = 0 $$ Сгруппируем и вынесем общие множители: $$ x(y-1) - 1(y-1) = 0 $$ $$ (x-1)(y-1) = 0 $$ Это уравнение истинно, если один из множителей равен нулю, то есть либо $x-1=0$, либо $y-1=0$.

Случай 1: $x-1=0 \implies x=1$. Подставим это значение в первое уравнение системы: $$ 1^2 + y^2 = 25 $$ $$ 1 + y^2 = 25 $$ $$ y^2 = 24 $$ $$ y = \pm\sqrt{24} = \pm 2\sqrt{6} $$ Получаем две пары решений: $(1, 2\sqrt{6})$ и $(1, -2\sqrt{6})$.

Случай 2: $y-1=0 \implies y=1$. Подставим это значение в первое уравнение системы: $$ x^2 + 1^2 = 25 $$ $$ x^2 + 1 = 25 $$ $$ x^2 = 24 $$ $$ x = \pm\sqrt{24} = \pm 2\sqrt{6} $$ Получаем еще две пары решений: $(2\sqrt{6}, 1)$ и $(-2\sqrt{6}, 1)$.
Ответ: $(1, 2\sqrt{6})$, $(1, -2\sqrt{6})$, $(2\sqrt{6}, 1)$, $(-2\sqrt{6}, 1)$.

в) Решим систему уравнений: $$ \begin{cases} x^2y - xy^2 = 6, \\ xy + x - y = -5; \end{cases} $$ Преобразуем систему, вынеся общие множители: $$ \begin{cases} xy(x - y) = 6, \\ xy + (x - y) = -5; \end{cases} $$ Введем новые переменные: пусть $a = x-y$ и $b = xy$. Система примет вид: $$ \begin{cases} ba = 6, \\ b + a = -5; \end{cases} $$ Согласно теореме Виета, $a$ и $b$ являются корнями квадратного уравнения $t^2 - (a+b)t + ab = 0$. Подставляя значения суммы и произведения, получаем: $$ t^2 - (-5)t + 6 = 0 $$ $$ t^2 + 5t + 6 = 0 $$ Найдем корни этого уравнения. По теореме Виета, $t_1+t_2=-5$ и $t_1t_2=6$. Корни: $t_1 = -2$ и $t_2 = -3$. Это дает нам две возможные пары значений для $(a, b)$:

  1. $a = -2, b = -3$
  2. $a = -3, b = -2$

Рассмотрим каждый случай отдельно, возвращаясь к переменным $x$ и $y$.

Случай 1: $a=x-y=-2$ и $b=xy=-3$. $$ \begin{cases} x - y = -2, \\ xy = -3; \end{cases} $$ Из первого уравнения выразим $x = y-2$. Подставим во второе: $$ (y-2)y = -3 $$ $$ y^2 - 2y + 3 = 0 $$ Найдем дискриминант этого квадратного уравнения: $D = (-2)^2 - 4 \cdot 1 \cdot 3 = 4 - 12 = -8$. Так как $D < 0$, в этом случае действительных решений нет.

Случай 2: $a=x-y=-3$ и $b=xy=-2$. $$ \begin{cases} x - y = -3, \\ xy = -2; \end{cases} $$ Из первого уравнения выразим $x = y-3$. Подставим во второе: $$ (y-3)y = -2 $$ $$ y^2 - 3y + 2 = 0 $$ Это квадратное уравнение. Его корни можно найти по теореме Виета (сумма 3, произведение 2), это $y_1=1$ и $y_2=2$. Найдем соответствующие значения $x$:

  • Если $y_1=1$, то $x_1 = 1 - 3 = -2$. Получаем решение $(-2, 1)$.
  • Если $y_2=2$, то $x_2 = 2 - 3 = -1$. Получаем решение $(-1, 2)$.

Проверим оба решения в исходной системе.
Для $(-2, 1)$: $x^2y - xy^2 = (-2)^2(1) - (-2)(1)^2 = 4+2=6$; $xy+x-y = (-2)(1)+(-2)-1 = -2-2-1=-5$. Верно.
Для $(-1, 2)$: $x^2y - xy^2 = (-1)^2(2) - (-1)(2)^2 = 2+4=6$; $xy+x-y = (-1)(2)+(-1)-2 = -2-1-2=-5$. Верно.
Ответ: $(-2, 1)$, $(-1, 2)$.

Помогло решение? Оставьте отзыв в комментариях ниже.

Присоединяйтесь к Телеграм-группе @gdz_by_belarus

Присоединиться

Мы подготовили для вас ответ c подробным объяснением домашего задания по алгебре за 11 класс, для упражнения номер 16 расположенного на странице 116 к сборнику задач 2020 года издания для учащихся школ и гимназий.

Теперь на нашем сайте ГДЗ.ТОП вы всегда легко и бесплатно найдёте условие с правильным ответом на вопрос «Как решить ДЗ» и «Как сделать» задание по алгебре к упражнению №16 (с. 116), авторов: Арефьева (Ирина Глебовна), Пирютко (Ольга Николаевна), базовый и повышенный уровень обучения учебного пособия издательства Народная асвета.