Номер 22, страница 117 - гдз по алгебре 11 класс сборник задач Арефьева, Пирютко

Алгебра, 11 класс Сборник задач, авторы: Арефьева Ирина Глебовна, Пирютко Ольга Николаевна, издательство Народная асвета, Минск, 2020, белого цвета

Авторы: Арефьева И. Г., Пирютко О. Н.

Тип: Сборник задач

Издательство: Народная асвета

Год издания: 2020 - 2026

Уровень обучения: базовый и повышенный

Цвет обложки: белый с графиком

Допущено Министерством образования Республики Беларусь

Глава 4. Системы уравнений и неравенств. Параграф 11. Методы решения систем уравнений - номер 22, страница 117.

№22 (с. 117)
Условие. №22 (с. 117)
скриншот условия
Алгебра, 11 класс Сборник задач, авторы: Арефьева Ирина Глебовна, Пирютко Ольга Николаевна, издательство Народная асвета, Минск, 2020, белого цвета, страница 117, номер 22, Условие

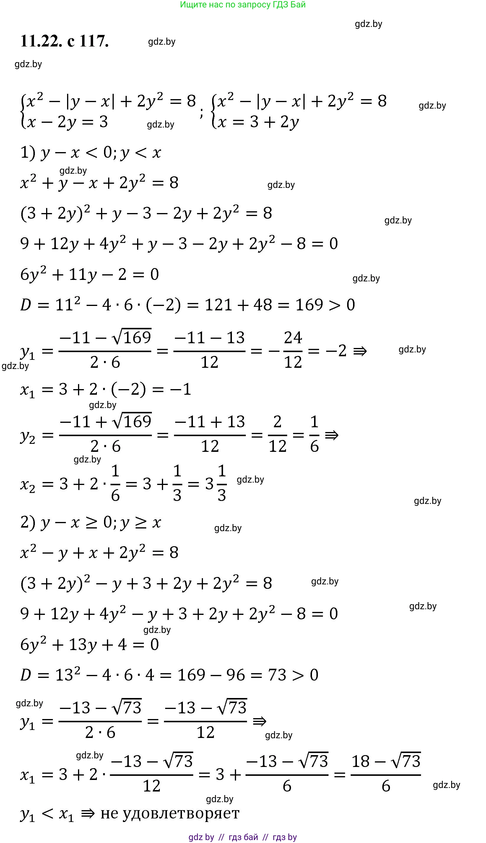
11.22. Решите систему уравнений

$\begin{cases} x^2 - |y - x| + 2y^2 = 8, \\ x - 2y = 3. \end{cases}$

Решение. №22 (с. 117)
Алгебра, 11 класс Сборник задач, авторы: Арефьева Ирина Глебовна, Пирютко Ольга Николаевна, издательство Народная асвета, Минск, 2020, белого цвета, страница 117, номер 22, Решение Алгебра, 11 класс Сборник задач, авторы: Арефьева Ирина Глебовна, Пирютко Ольга Николаевна, издательство Народная асвета, Минск, 2020, белого цвета, страница 117, номер 22, Решение (продолжение 2)
Решение 2. №22 (с. 117)

Для решения системы уравнений$$ \begin{cases} x^2 - |y - x| + 2y^2 = 8, \\ x - 2y = 3 \end{cases}$$сначала выразим переменную $x$ из второго уравнения:

$x = 3 + 2y$

Теперь подставим это выражение для $x$ в первое уравнение системы:

$(3 + 2y)^2 - |y - (3 + 2y)| + 2y^2 = 8$

Упростим выражение под знаком модуля:

$(3 + 2y)^2 - |y - 3 - 2y| + 2y^2 = 8$

$(3 + 2y)^2 - |-y - 3| + 2y^2 = 8$

Используя свойство модуля $|-a| = |a|$, получаем:

$(3 + 2y)^2 - |y + 3| + 2y^2 = 8$

Для дальнейшего решения необходимо раскрыть модуль. Рассмотрим два случая в зависимости от знака выражения под модулем.

1) $y + 3 \ge 0$, то есть $y \ge -3$

При этом условии $|y + 3| = y + 3$. Подставляем это в уравнение:

$(3 + 2y)^2 - (y + 3) + 2y^2 = 8$

Раскрываем скобки и приводим подобные слагаемые:

$9 + 12y + 4y^2 - y - 3 + 2y^2 = 8$

$6y^2 + 11y + 6 = 8$

$6y^2 + 11y - 2 = 0$

Решим полученное квадратное уравнение. Вычислим дискриминант:

$D = b^2 - 4ac = 11^2 - 4 \cdot 6 \cdot (-2) = 121 + 48 = 169 = 13^2$

Находим корни для $y$:

$y_1 = \frac{-b - \sqrt{D}}{2a} = \frac{-11 - 13}{2 \cdot 6} = \frac{-24}{12} = -2$

$y_2 = \frac{-b + \sqrt{D}}{2a} = \frac{-11 + 13}{2 \cdot 6} = \frac{2}{12} = \frac{1}{6}$

Оба найденных значения удовлетворяют условию $y \ge -3$. Теперь найдем соответствующие значения $x$ для каждого $y$:

Если $y_1 = -2$, то $x_1 = 3 + 2(-2) = 3 - 4 = -1$.

Если $y_2 = \frac{1}{6}$, то $x_2 = 3 + 2(\frac{1}{6}) = 3 + \frac{1}{3} = \frac{10}{3}$.

Таким образом, в этом случае мы получили две пары решений.

Ответ: $(-1; -2)$ и $(3\frac{1}{3}; \frac{1}{6})$.

2) $y + 3 < 0$, то есть $y < -3$

При этом условии $|y + 3| = -(y + 3)$. Уравнение принимает вид:

$(3 + 2y)^2 - (-(y + 3)) + 2y^2 = 8$

$9 + 12y + 4y^2 + y + 3 + 2y^2 = 8$

$6y^2 + 13y + 12 = 8$

$6y^2 + 13y + 4 = 0$

Решим это квадратное уравнение. Вычислим дискриминант:

$D = b^2 - 4ac = 13^2 - 4 \cdot 6 \cdot 4 = 169 - 96 = 73$

Корни уравнения:

$y_3 = \frac{-13 - \sqrt{73}}{12}$ и $y_4 = \frac{-13 + \sqrt{73}}{12}$

Проверим, удовлетворяют ли эти корни условию $y < -3$.

Поскольку $\sqrt{64} < \sqrt{73} < \sqrt{81}$, то $8 < \sqrt{73} < 9$.

Для $y_3$: $y_3 = \frac{-13 - \sqrt{73}}{12} \approx \frac{-13 - 8.5}{12} \approx -1.79$. Это значение не меньше -3.

Для $y_4$: $y_4 = \frac{-13 + \sqrt{73}}{12} \approx \frac{-13 + 8.5}{12} \approx -0.375$. Это значение также не меньше -3.

Ни один из корней не удовлетворяет условию $y < -3$.

Ответ: решений нет.

Помогло решение? Оставьте отзыв в комментариях ниже.

Присоединяйтесь к Телеграм-группе @gdz_by_belarus

Присоединиться

Мы подготовили для вас ответ c подробным объяснением домашего задания по алгебре за 11 класс, для упражнения номер 22 расположенного на странице 117 к сборнику задач 2020 года издания для учащихся школ и гимназий.

Теперь на нашем сайте ГДЗ.ТОП вы всегда легко и бесплатно найдёте условие с правильным ответом на вопрос «Как решить ДЗ» и «Как сделать» задание по алгебре к упражнению №22 (с. 117), авторов: Арефьева (Ирина Глебовна), Пирютко (Ольга Николаевна), базовый и повышенный уровень обучения учебного пособия издательства Народная асвета.