Номер 17, страница 117 - гдз по алгебре 11 класс сборник задач Арефьева, Пирютко

Алгебра, 11 класс Сборник задач, авторы: Арефьева Ирина Глебовна, Пирютко Ольга Николаевна, издательство Народная асвета, Минск, 2020, белого цвета

Авторы: Арефьева И. Г., Пирютко О. Н.

Тип: Сборник задач

Издательство: Народная асвета

Год издания: 2020 - 2026

Уровень обучения: базовый и повышенный

Цвет обложки: белый с графиком

Допущено Министерством образования Республики Беларусь

Популярные ГДЗ в 11 классе

Глава 4. Системы уравнений и неравенств. Параграф 11. Методы решения систем уравнений - номер 17, страница 117.

№17 (с. 117)
Условие. №17 (с. 117)
скриншот условия
Алгебра, 11 класс Сборник задач, авторы: Арефьева Ирина Глебовна, Пирютко Ольга Николаевна, издательство Народная асвета, Минск, 2020, белого цвета, страница 117, номер 17, Условие

11.17. Найдите наименьшее значение выражения $x_0 - y_0$, где $(x_0; y_0)$ — решение системы уравнений $\begin{cases} x^2 + y^2 = 17, \\ x + xy + y = 9. \end{cases}$

Решение. №17 (с. 117)
Алгебра, 11 класс Сборник задач, авторы: Арефьева Ирина Глебовна, Пирютко Ольга Николаевна, издательство Народная асвета, Минск, 2020, белого цвета, страница 117, номер 17, Решение
Решение 2. №17 (с. 117)

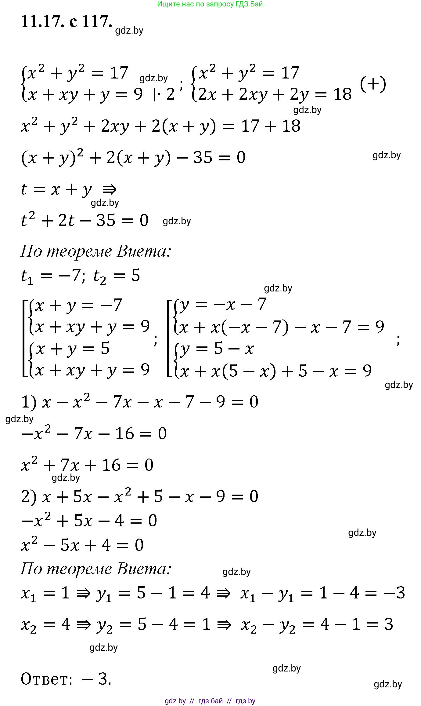
Дана система уравнений:

$$\begin{cases}x^2 + y^2 = 17 \\x + xy + y = 9\end{cases}$$

Для решения данной симметрической системы уравнений введем замену переменных. Пусть $S = x + y$ и $P = xy$.

Преобразуем каждое уравнение системы, выразив его через $S$ и $P$.

Первое уравнение: $x^2 + y^2 = (x+y)^2 - 2xy$. Подставив наши переменные, получаем:

$S^2 - 2P = 17$

Второе уравнение: $(x+y) + xy = 9$. Подставив наши переменные, получаем:

$S + P = 9$

Теперь у нас есть новая система уравнений относительно $S$ и $P$:

$$\begin{cases}S^2 - 2P = 17 \\S + P = 9\end{cases}$$

Из второго уравнения выразим $P$ через $S$:

$P = 9 - S$

Подставим это выражение для $P$ в первое уравнение системы:

$S^2 - 2(9 - S) = 17$

$S^2 - 18 + 2S = 17$

$S^2 + 2S - 35 = 0$

Мы получили квадратное уравнение относительно $S$. Решим его. Можно использовать теорему Виета или найти корни через дискриминант. Корни этого уравнения: $S_1 = 5$ и $S_2 = -7$, так как $5 \cdot (-7) = -35$ и $5 + (-7) = -2$.

Теперь рассмотрим два возможных случая.

Случай 1: $S = 5$

Находим соответствующее значение $P$:

$P = 9 - S = 9 - 5 = 4$

Теперь возвращаемся к исходным переменным. Мы имеем систему:

$x+y = 5$

$xy = 4$

По обратной теореме Виета, $x$ и $y$ являются корнями квадратного уравнения $t^2 - St + P = 0$, то есть:

$t^2 - 5t + 4 = 0$

Корни этого уравнения: $t_1 = 1$, $t_2 = 4$.

Следовательно, решениями $(x_0; y_0)$ в этом случае являются пары $(1; 4)$ и $(4; 1)$.

Случай 2: $S = -7$

Находим соответствующее значение $P$:

$P = 9 - S = 9 - (-7) = 16$

Возвращаемся к исходным переменным:

$x+y = -7$

$xy = 16$

$x$ и $y$ являются корнями квадратного уравнения $t^2 - St + P = 0$:

$t^2 - (-7)t + 16 = 0$

$t^2 + 7t + 16 = 0$

Найдем дискриминант этого уравнения: $D = b^2 - 4ac = 7^2 - 4 \cdot 1 \cdot 16 = 49 - 64 = -15$.

Так как дискриминант $D < 0$, данное уравнение не имеет действительных корней. Значит, в этом случае система не имеет действительных решений.

Таким образом, мы нашли все действительные решения $(x_0; y_0)$ исходной системы: $(1; 4)$ и $(4; 1)$.

Теперь необходимо найти наименьшее значение выражения $x_0 - y_0$.

1. Для решения $(1; 4)$: $x_0 - y_0 = 1 - 4 = -3$.

2. Для решения $(4; 1)$: $x_0 - y_0 = 4 - 1 = 3$.

Сравнивая полученные значения, $-3$ и $3$, видим, что наименьшим является $-3$.

Ответ: -3

Помогло решение? Оставьте отзыв в комментариях ниже.

Присоединяйтесь к Телеграм-группе @gdz_by_belarus

Присоединиться

Мы подготовили для вас ответ c подробным объяснением домашего задания по алгебре за 11 класс, для упражнения номер 17 расположенного на странице 117 к сборнику задач 2020 года издания для учащихся школ и гимназий.

Теперь на нашем сайте ГДЗ.ТОП вы всегда легко и бесплатно найдёте условие с правильным ответом на вопрос «Как решить ДЗ» и «Как сделать» задание по алгебре к упражнению №17 (с. 117), авторов: Арефьева (Ирина Глебовна), Пирютко (Ольга Николаевна), базовый и повышенный уровень обучения учебного пособия издательства Народная асвета.