Номер 14, страница 116 - гдз по алгебре 11 класс сборник задач Арефьева, Пирютко

Алгебра, 11 класс Сборник задач, авторы: Арефьева Ирина Глебовна, Пирютко Ольга Николаевна, издательство Народная асвета, Минск, 2020, белого цвета

Авторы: Арефьева И. Г., Пирютко О. Н.

Тип: Сборник задач

Издательство: Народная асвета

Год издания: 2020 - 2026

Уровень обучения: базовый и повышенный

Цвет обложки: белый с графиком

Допущено Министерством образования Республики Беларусь

Популярные ГДЗ в 11 классе

Глава 4. Системы уравнений и неравенств. Параграф 11. Методы решения систем уравнений - номер 14, страница 116.

№14 (с. 116)
Условие. №14 (с. 116)
скриншот условия
Алгебра, 11 класс Сборник задач, авторы: Арефьева Ирина Глебовна, Пирютко Ольга Николаевна, издательство Народная асвета, Минск, 2020, белого цвета, страница 116, номер 14, Условие

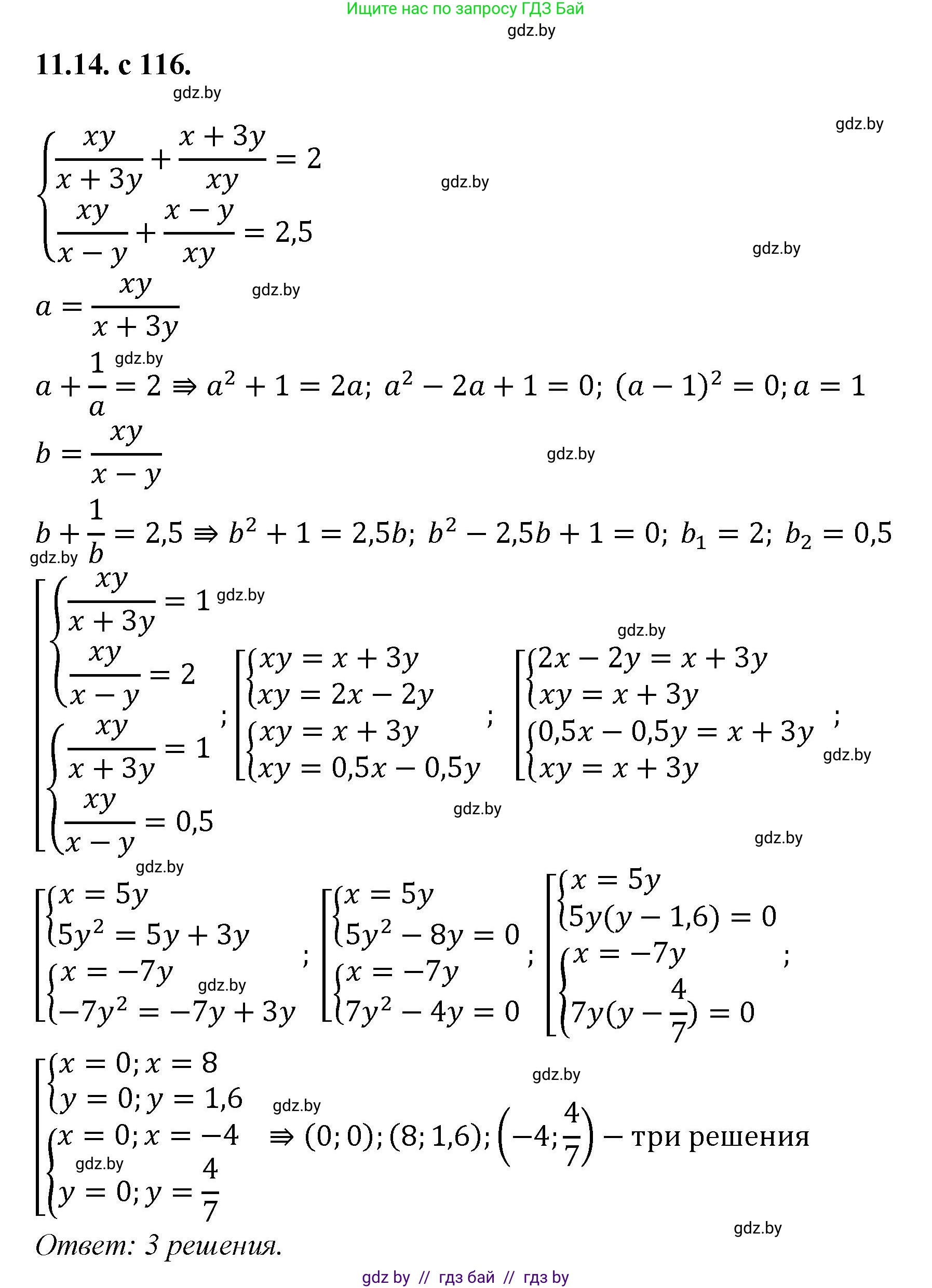
11.14. Найдите количество решений системы уравнений

$$\begin{cases} \frac{xy}{x+3y} + \frac{x+3y}{xy} = 2, \\ \frac{xy}{x-y} + \frac{x-y}{xy} = 2,5. \end{cases}$$

Решение. №14 (с. 116)
Алгебра, 11 класс Сборник задач, авторы: Арефьева Ирина Глебовна, Пирютко Ольга Николаевна, издательство Народная асвета, Минск, 2020, белого цвета, страница 116, номер 14, Решение
Решение 2. №14 (с. 116)

Обозначим область допустимых значений (ОДЗ). Знаменатели в уравнениях не могут быть равны нулю, поэтому:

  • $xy \neq 0$, что означает $x \neq 0$ и $y \neq 0$.
  • $x + 3y \neq 0$
  • $x - y \neq 0$

Для решения системы введем замены. Пусть $a = \frac{xy}{x + 3y}$ и $b = \frac{xy}{x - y}$. Тогда исходная система уравнений принимает вид:

$$\begin{cases}a + \frac{1}{a} = 2 \\b + \frac{1}{b} = 2,5\end{cases}$$

Решим каждое уравнение относительно новых переменных.

Первое уравнение:

$a + \frac{1}{a} = 2$

Умножим обе части уравнения на $a$ (мы знаем, что $a \neq 0$ из ОДЗ):

$a^2 + 1 = 2a$

$a^2 - 2a + 1 = 0$

$(a - 1)^2 = 0$

Отсюда следует, что $a = 1$.

Второе уравнение:

$b + \frac{1}{b} = 2,5$

Представим 2,5 в виде дроби $\frac{5}{2}$:

$b + \frac{1}{b} = \frac{5}{2}$

Умножим обе части уравнения на $2b$ (мы знаем, что $b \neq 0$ из ОДЗ):

$2b^2 + 2 = 5b$

$2b^2 - 5b + 2 = 0$

Это квадратное уравнение. Найдем его корни, например, через дискриминант:

$D = (-5)^2 - 4 \cdot 2 \cdot 2 = 25 - 16 = 9$

$b_{1,2} = \frac{-(-5) \pm \sqrt{9}}{2 \cdot 2} = \frac{5 \pm 3}{4}$

Корни уравнения:

$b_1 = \frac{5 + 3}{4} = \frac{8}{4} = 2$

$b_2 = \frac{5 - 3}{4} = \frac{2}{4} = \frac{1}{2}$

Теперь вернемся к исходным переменным. Мы получили, что $a=1$ и $b$ может быть равно $2$ или $\frac{1}{2}$. Это приводит к двум системам уравнений:

Случай 1: $a = 1$ и $b = 2$

$$\begin{cases}\frac{xy}{x + 3y} = 1 \\\frac{xy}{x - y} = 2\end{cases}$$

Из этой системы получаем:

$$\begin{cases}xy = x + 3y \\xy = 2(x - y)\end{cases}$$

Приравняем правые части уравнений:

$x + 3y = 2x - 2y$

$5y = x$

Подставим $x=5y$ в первое уравнение $xy = x + 3y$:

$(5y)y = 5y + 3y$

$5y^2 = 8y$

$5y^2 - 8y = 0 \implies y(5y - 8) = 0$

Так как $y \neq 0$ (по ОДЗ), то $5y - 8 = 0 \implies y = \frac{8}{5}$.

Тогда $x = 5y = 5 \cdot \frac{8}{5} = 8$.

Первое решение: $(8, \frac{8}{5})$. Проверка по ОДЗ показывает, что все условия выполняются. $y = \frac{8}{5} = 1\frac{3}{5}$.

Случай 2: $a = 1$ и $b = \frac{1}{2}$

$$\begin{cases}\frac{xy}{x + 3y} = 1 \\\frac{xy}{x - y} = \frac{1}{2}\end{cases}$$

Из этой системы получаем:

$$\begin{cases}xy = x + 3y \\2xy = x - y\end{cases}$$

Подставим выражение для $xy$ из первого уравнения во второе:

$2(x + 3y) = x - y$

$2x + 6y = x - y$

$x = -7y$

Подставим $x = -7y$ в первое уравнение $xy = x + 3y$:

$(-7y)y = -7y + 3y$

$-7y^2 = -4y$

$7y^2 - 4y = 0 \implies y(7y - 4) = 0$

Так как $y \neq 0$ (по ОДЗ), то $7y - 4 = 0 \implies y = \frac{4}{7}$.

Тогда $x = -7y = -7 \cdot \frac{4}{7} = -4$.

Второе решение: $(-4, \frac{4}{7})$. Это решение также удовлетворяет ОДЗ.

Мы нашли два различных действительных решения системы уравнений. Таким образом, система имеет два решения.

Количество решений: Ответ: 2

Помогло решение? Оставьте отзыв в комментариях ниже.

Присоединяйтесь к Телеграм-группе @gdz_by_belarus

Присоединиться

Мы подготовили для вас ответ c подробным объяснением домашего задания по алгебре за 11 класс, для упражнения номер 14 расположенного на странице 116 к сборнику задач 2020 года издания для учащихся школ и гимназий.

Теперь на нашем сайте ГДЗ.ТОП вы всегда легко и бесплатно найдёте условие с правильным ответом на вопрос «Как решить ДЗ» и «Как сделать» задание по алгебре к упражнению №14 (с. 116), авторов: Арефьева (Ирина Глебовна), Пирютко (Ольга Николаевна), базовый и повышенный уровень обучения учебного пособия издательства Народная асвета.