Номер 8, страница 115 - гдз по алгебре 11 класс сборник задач Арефьева, Пирютко

Алгебра, 11 класс Сборник задач, авторы: Арефьева Ирина Глебовна, Пирютко Ольга Николаевна, издательство Народная асвета, Минск, 2020, белого цвета

Авторы: Арефьева И. Г., Пирютко О. Н.

Тип: Сборник задач

Издательство: Народная асвета

Год издания: 2020 - 2026

Уровень обучения: базовый и повышенный

Цвет обложки: белый с графиком

Допущено Министерством образования Республики Беларусь

Популярные ГДЗ в 11 классе

Глава 4. Системы уравнений и неравенств. Параграф 11. Методы решения систем уравнений - номер 8, страница 115.

№8 (с. 115)
Условие. №8 (с. 115)
скриншот условия
Алгебра, 11 класс Сборник задач, авторы: Арефьева Ирина Глебовна, Пирютко Ольга Николаевна, издательство Народная асвета, Минск, 2020, белого цвета, страница 115, номер 8, Условие

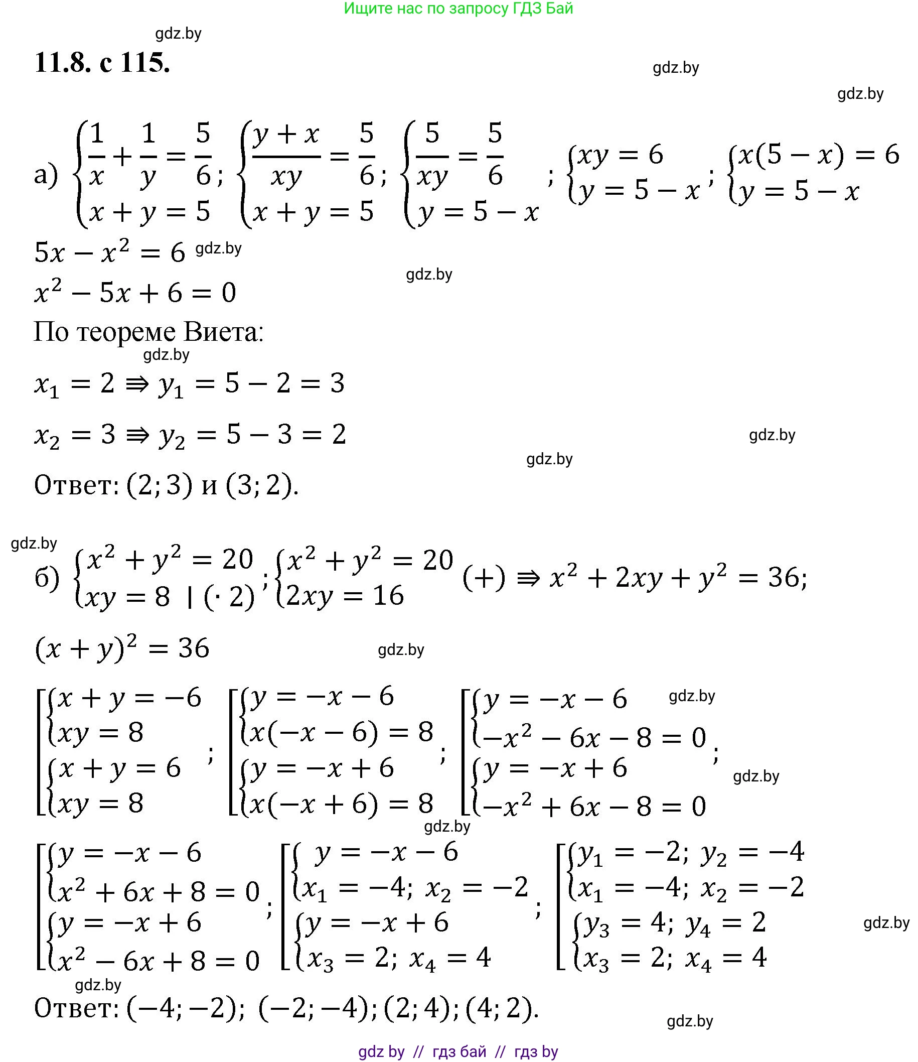
11.8. Решите систему уравнений:

a) $\begin{cases} \frac{1}{x} + \frac{1}{y} = \frac{5}{6}, \\ x + y = 5; \end{cases}$

б) $\begin{cases} x^2 + y^2 = 20, \\ xy = 8. \end{cases}$

Решение. №8 (с. 115)
Алгебра, 11 класс Сборник задач, авторы: Арефьева Ирина Глебовна, Пирютко Ольга Николаевна, издательство Народная асвета, Минск, 2020, белого цвета, страница 115, номер 8, Решение
Решение 2. №8 (с. 115)

а) Дана система уравнений:

$$ \begin{cases} \frac{1}{x} + \frac{1}{y} = \frac{5}{6} \\ x + y = 5 \end{cases} $$

Область допустимых значений: $x \neq 0, y \neq 0$.

Преобразуем первое уравнение системы, приведя левую часть к общему знаменателю:

$$ \frac{y + x}{xy} = \frac{5}{6} $$

Из второго уравнения системы известно, что $x + y = 5$. Подставим это значение в числитель дроби в преобразованном первом уравнении:

$$ \frac{5}{xy} = \frac{5}{6} $$

Из этого равенства следует, что $xy = 6$.

Теперь исходная система эквивалентна следующей системе:

$$ \begin{cases} x + y = 5 \\ xy = 6 \end{cases} $$

Выразим $y$ из первого уравнения: $y = 5 - x$.

Подставим это выражение во второе уравнение:

$$ x(5 - x) = 6 $$

$$ 5x - x^2 = 6 $$

Перенесем все члены в одну сторону, чтобы получить стандартное квадратное уравнение:

$$ x^2 - 5x + 6 = 0 $$

Решим это уравнение. Можно использовать теорему Виета: сумма корней равна 5, а их произведение равно 6. Отсюда легко найти корни:

$$ x_1 = 2, \quad x_2 = 3 $$

Теперь найдем соответствующие значения $y$ для каждого корня $x$:

Если $x_1 = 2$, то $y_1 = 5 - x_1 = 5 - 2 = 3$.

Если $x_2 = 3$, то $y_2 = 5 - x_2 = 5 - 3 = 2$.

Таким образом, система имеет два решения в виде пар чисел.

Ответ: $(2, 3), (3, 2)$.


б) Дана система уравнений:

$$ \begin{cases} x^2 + y^2 = 20 \\ xy = 8 \end{cases} $$

Для решения этой системы удобно использовать тождество квадрата суммы: $(x+y)^2 = x^2 + 2xy + y^2$.

Выразим из тождества сумму квадратов: $x^2 + y^2 = (x+y)^2 - 2xy$.

Подставим известные значения из системы в это выражение. Хотя удобнее подставить прямо в исходное тождество. Перегруппируем его: $(x+y)^2 = (x^2 + y^2) + 2(xy)$.

Подставляем значения из уравнений системы:

$$ (x+y)^2 = 20 + 2 \cdot 8 $$

$$ (x+y)^2 = 20 + 16 $$

$$ (x+y)^2 = 36 $$

Извлекая квадратный корень из обеих частей, получаем два возможных значения для суммы $x+y$:

$$ x+y = 6 \quad \text{или} \quad x+y = -6 $$

Теперь необходимо рассмотреть два случая.

Случай 1: $x+y = 6$.

Получаем систему:

$$ \begin{cases} x+y=6 \\ xy=8 \end{cases} $$

Согласно обратной теореме Виета, $x$ и $y$ являются корнями квадратного уравнения $t^2 - 6t + 8 = 0$.

Находим корни: $t_1 = 2, t_2 = 4$.

Это дает нам две пары решений: $(2, 4)$ и $(4, 2)$.

Случай 2: $x+y = -6$.

Получаем систему:

$$ \begin{cases} x+y=-6 \\ xy=8 \end{cases} $$

Аналогично, $x$ и $y$ являются корнями квадратного уравнения $t^2 - (-6)t + 8 = 0$, то есть $t^2 + 6t + 8 = 0$.

Находим корни: $t_1 = -2, t_2 = -4$.

Это дает нам еще две пары решений: $(-2, -4)$ и $(-4, -2)$.

Объединяя все найденные пары, получаем четыре решения системы.

Ответ: $(2, 4), (4, 2), (-2, -4), (-4, -2)$.

Помогло решение? Оставьте отзыв в комментариях ниже.

Присоединяйтесь к Телеграм-группе @gdz_by_belarus

Присоединиться

Мы подготовили для вас ответ c подробным объяснением домашего задания по алгебре за 11 класс, для упражнения номер 8 расположенного на странице 115 к сборнику задач 2020 года издания для учащихся школ и гимназий.

Теперь на нашем сайте ГДЗ.ТОП вы всегда легко и бесплатно найдёте условие с правильным ответом на вопрос «Как решить ДЗ» и «Как сделать» задание по алгебре к упражнению №8 (с. 115), авторов: Арефьева (Ирина Глебовна), Пирютко (Ольга Николаевна), базовый и повышенный уровень обучения учебного пособия издательства Народная асвета.