Номер 7, страница 115 - гдз по алгебре 11 класс сборник задач Арефьева, Пирютко

Алгебра, 11 класс Сборник задач, авторы: Арефьева Ирина Глебовна, Пирютко Ольга Николаевна, издательство Народная асвета, Минск, 2020, белого цвета

Авторы: Арефьева И. Г., Пирютко О. Н.

Тип: Сборник задач

Издательство: Народная асвета

Год издания: 2020 - 2026

Уровень обучения: базовый и повышенный

Цвет обложки: белый с графиком

Допущено Министерством образования Республики Беларусь

Популярные ГДЗ в 11 классе

Глава 4. Системы уравнений и неравенств. Параграф 11. Методы решения систем уравнений - номер 7, страница 115.

№7 (с. 115)
Условие. №7 (с. 115)
скриншот условия
Алгебра, 11 класс Сборник задач, авторы: Арефьева Ирина Глебовна, Пирютко Ольга Николаевна, издательство Народная асвета, Минск, 2020, белого цвета, страница 115, номер 7, Условие

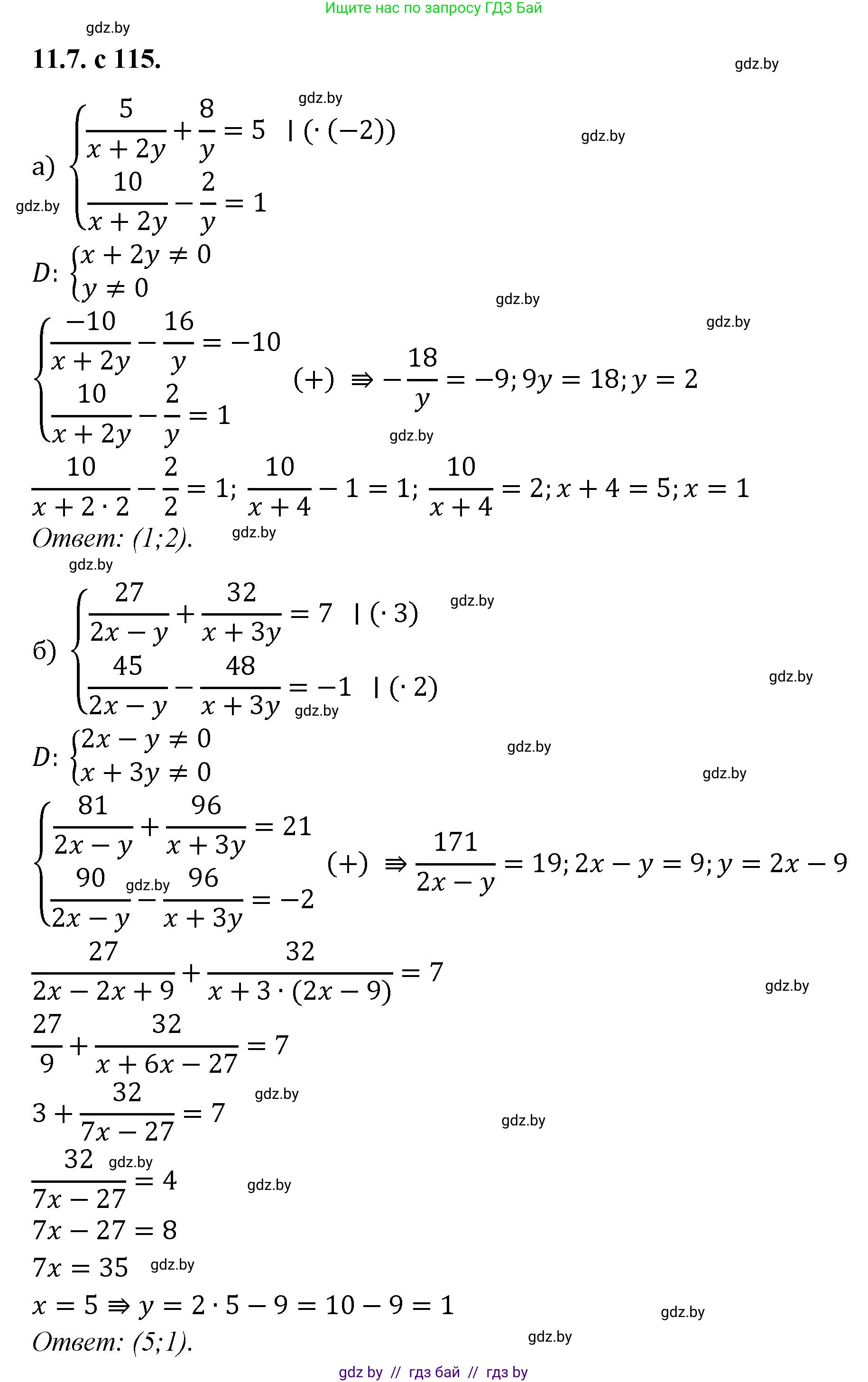
11.7. Решите систему уравнений:

а) $\begin{cases} \frac{5}{x + 2y} + \frac{8}{y} = 5, \\ \frac{10}{x + 2y} - \frac{2}{y} = 1; \end{cases}$

б) $\begin{cases} \frac{27}{2x - y} + \frac{32}{x + 3y} = 7, \\ \frac{45}{2x - y} - \frac{48}{x + 3y} = -1. \end{cases}$

Решение. №7 (с. 115)
Алгебра, 11 класс Сборник задач, авторы: Арефьева Ирина Глебовна, Пирютко Ольга Николаевна, издательство Народная асвета, Минск, 2020, белого цвета, страница 115, номер 7, Решение
Решение 2. №7 (с. 115)

а) Дана система уравнений:

$$ \begin{cases} \frac{5}{x+2y} + \frac{8}{y} = 5, \\ \frac{10}{x+2y} - \frac{2}{y} = 1; \end{cases} $$

Для упрощения решения введем новые переменные. Пусть $u = \frac{1}{x+2y}$ и $v = \frac{1}{y}$. С учетом этих замен система примет следующий вид:

$$ \begin{cases} 5u + 8v = 5, \\ 10u - 2v = 1. \end{cases} $$

Мы получили систему линейных уравнений относительно $u$ и $v$. Решим ее методом алгебраического сложения. Для этого умножим второе уравнение на 4, чтобы коэффициенты при переменной $v$ стали противоположными по знаку:

$$ \begin{cases} 5u + 8v = 5, \\ 4 \cdot (10u - 2v) = 4 \cdot 1; \end{cases} \implies \begin{cases} 5u + 8v = 5, \\ 40u - 8v = 4. \end{cases} $$

Теперь сложим два уравнения системы:

$$ (5u + 8v) + (40u - 8v) = 5 + 4 $$ $$ 45u = 9 $$ $$ u = \frac{9}{45} = \frac{1}{5} $$

Подставим найденное значение $u = \frac{1}{5}$ в уравнение $10u - 2v = 1$ для нахождения $v$:

$$ 10 \cdot \left(\frac{1}{5}\right) - 2v = 1 $$ $$ 2 - 2v = 1 $$ $$ -2v = 1 - 2 $$ $$ -2v = -1 $$ $$ v = \frac{1}{2} $$

Теперь, когда мы нашли значения $u$ и $v$, вернемся к исходным переменным $x$ и $y$, выполнив обратную замену:

$$ \begin{cases} u = \frac{1}{x+2y} = \frac{1}{5}, \\ v = \frac{1}{y} = \frac{1}{2}. \end{cases} $$

Из этих равенств получаем новую, более простую систему уравнений:

$$ \begin{cases} x + 2y = 5, \\ y = 2. \end{cases} $$

Подставим значение $y=2$ в первое уравнение:

$$ x + 2 \cdot 2 = 5 $$ $$ x + 4 = 5 $$ $$ x = 1 $$

Решением системы является пара чисел $(1; 2)$.

Ответ: (1; 2)


б) Дана система уравнений:

$$ \begin{cases} \frac{27}{2x-y} + \frac{32}{x+3y} = 7, \\ \frac{45}{2x-y} - \frac{48}{x+3y} = -1. \end{cases} $$

Как и в предыдущем случае, воспользуемся методом введения новых переменных. Пусть $a = \frac{1}{2x-y}$ и $b = \frac{1}{x+3y}$. Тогда система уравнений преобразуется в линейную систему относительно $a$ и $b$:

$$ \begin{cases} 27a + 32b = 7, \\ 45a - 48b = -1. \end{cases} $$

Решим эту систему методом сложения. Для этого необходимо уравнять модули коэффициентов при одной из переменных. Умножим первое уравнение на 3, а второе на 2, чтобы коэффициенты при $b$ стали $96$ и $-96$:

$$ \begin{cases} 3 \cdot (27a + 32b) = 3 \cdot 7, \\ 2 \cdot (45a - 48b) = 2 \cdot (-1); \end{cases} \implies \begin{cases} 81a + 96b = 21, \\ 90a - 96b = -2. \end{cases} $$

Сложим полученные уравнения:

$$ (81a + 96b) + (90a - 96b) = 21 + (-2) $$ $$ 171a = 19 $$ $$ a = \frac{19}{171} = \frac{1}{9} $$

Подставим найденное значение $a = \frac{1}{9}$ в уравнение $27a + 32b = 7$, чтобы найти $b$:

$$ 27 \cdot \left(\frac{1}{9}\right) + 32b = 7 $$ $$ 3 + 32b = 7 $$ $$ 32b = 4 $$ $$ b = \frac{4}{32} = \frac{1}{8} $$

Выполним обратную замену, чтобы вернуться к переменным $x$ и $y$:

$$ \begin{cases} a = \frac{1}{2x-y} = \frac{1}{9}, \\ b = \frac{1}{x+3y} = \frac{1}{8}. \end{cases} $$

Из этого следует система линейных уравнений:

$$ \begin{cases} 2x - y = 9, \\ x + 3y = 8. \end{cases} $$

Решим эту систему методом подстановки. Из первого уравнения выразим $y$:

$$ y = 2x - 9 $$

Подставим это выражение во второе уравнение:

$$ x + 3(2x - 9) = 8 $$ $$ x + 6x - 27 = 8 $$ $$ 7x = 35 $$ $$ x = 5 $$

Теперь найдем соответствующее значение $y$:

$$ y = 2 \cdot 5 - 9 = 10 - 9 = 1 $$

Решением системы является пара чисел $(5; 1)$.

Ответ: (5; 1)

Помогло решение? Оставьте отзыв в комментариях ниже.

Присоединяйтесь к Телеграм-группе @gdz_by_belarus

Присоединиться

Мы подготовили для вас ответ c подробным объяснением домашего задания по алгебре за 11 класс, для упражнения номер 7 расположенного на странице 115 к сборнику задач 2020 года издания для учащихся школ и гимназий.

Теперь на нашем сайте ГДЗ.ТОП вы всегда легко и бесплатно найдёте условие с правильным ответом на вопрос «Как решить ДЗ» и «Как сделать» задание по алгебре к упражнению №7 (с. 115), авторов: Арефьева (Ирина Глебовна), Пирютко (Ольга Николаевна), базовый и повышенный уровень обучения учебного пособия издательства Народная асвета.