Номер 42, страница 95 - гдз по алгебре 11 класс сборник задач Арефьева, Пирютко

Алгебра, 11 класс Сборник задач, авторы: Арефьева Ирина Глебовна, Пирютко Ольга Николаевна, издательство Народная асвета, Минск, 2020, белого цвета

Авторы: Арефьева И. Г., Пирютко О. Н.

Тип: Сборник задач

Издательство: Народная асвета

Год издания: 2020 - 2026

Уровень обучения: базовый и повышенный

Цвет обложки: белый с графиком

Допущено Министерством образования Республики Беларусь

Популярные ГДЗ в 11 классе

Глава 3. Логарифмическая функция. Параграф 10. Логарифмические неравенства - номер 42, страница 95.

№42 (с. 95)
Условие. №42 (с. 95)
скриншот условия
Алгебра, 11 класс Сборник задач, авторы: Арефьева Ирина Глебовна, Пирютко Ольга Николаевна, издательство Народная асвета, Минск, 2020, белого цвета, страница 95, номер 42, Условие

10.42. Решите неравенство:

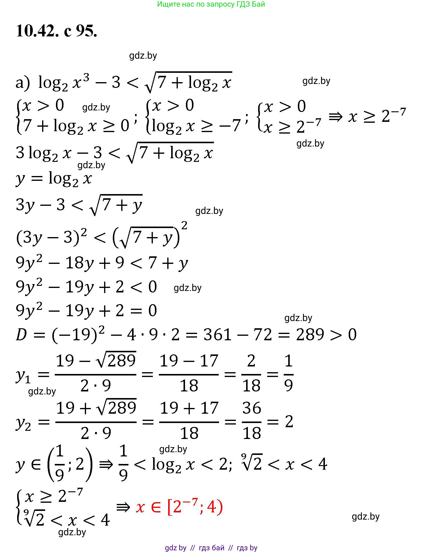
a) $log_{2} x^{3}-3<\sqrt{7+\log_{2} x}$;

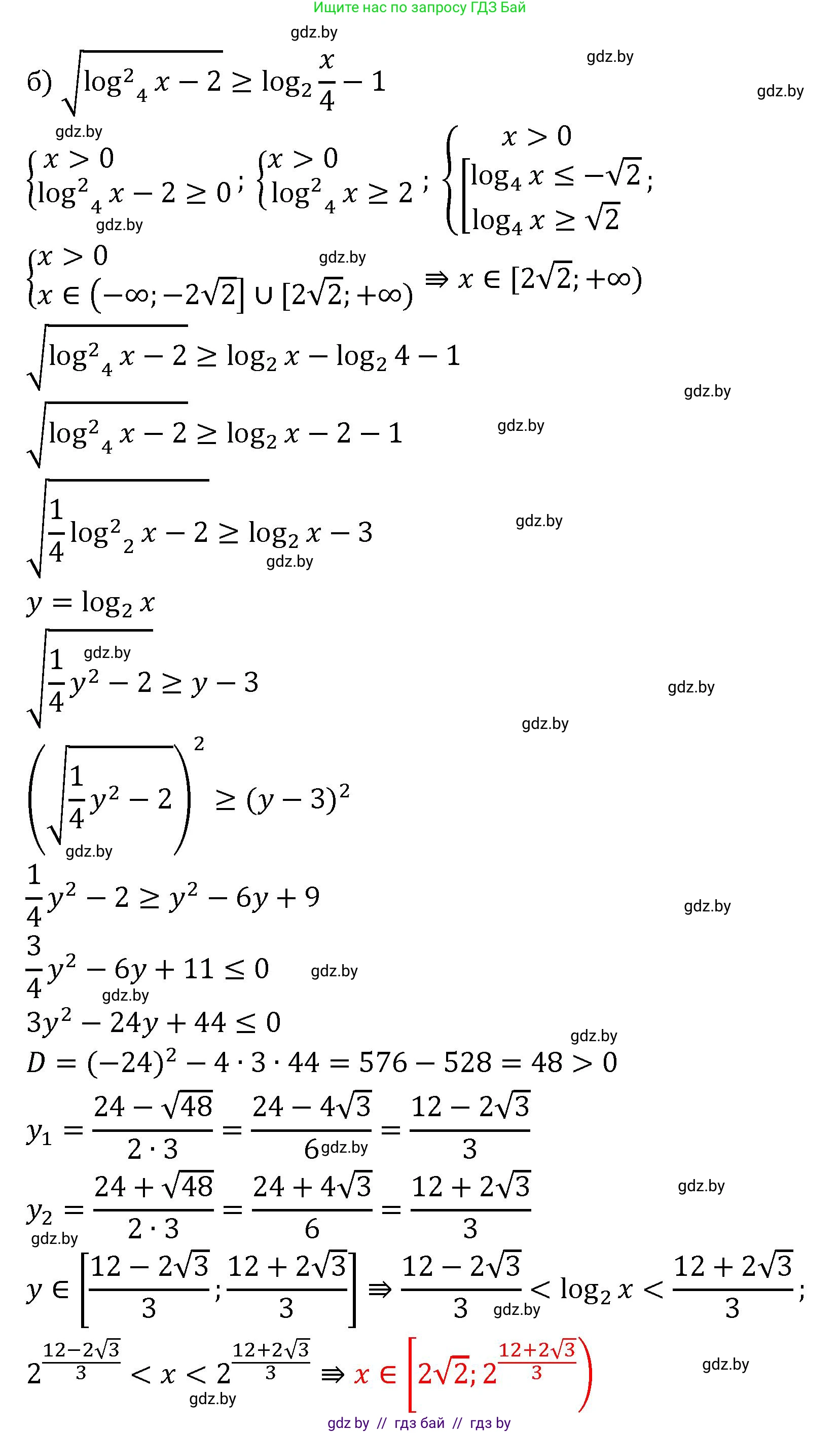
б) $\sqrt{\log_{4}^2 x-2} \geq \log_{2} \frac{x}{4}-1$.

Решение. №42 (с. 95)
Алгебра, 11 класс Сборник задач, авторы: Арефьева Ирина Глебовна, Пирютко Ольга Николаевна, издательство Народная асвета, Минск, 2020, белого цвета, страница 95, номер 42, Решение Алгебра, 11 класс Сборник задач, авторы: Арефьева Ирина Глебовна, Пирютко Ольга Николаевна, издательство Народная асвета, Минск, 2020, белого цвета, страница 95, номер 42, Решение (продолжение 2)
Решение 2. №42 (с. 95)

а) Исходное неравенство: $ \log_2 x^3 - 3 < \sqrt{7 + \log_2 x} $.

1. Упростим левую часть, используя свойство логарифма $ \log_a b^c = c \log_a b $:

$ 3\log_2 x - 3 < \sqrt{7 + \log_2 x} $

2. Найдем область допустимых значений (ОДЗ).
Во-первых, аргумент логарифма должен быть положителен: $ x > 0 $.
Во-вторых, выражение под корнем должно быть неотрицательным:
$ 7 + \log_2 x \ge 0 $
$ \log_2 x \ge -7 $
$ x \ge 2^{-7} $
$ x \ge \frac{1}{128} $
Объединяя условия, получаем ОДЗ: $ x \ge \frac{1}{128} $.

3. Сделаем замену переменной. Пусть $ t = \log_2 x $. С учетом ОДЗ, $ t \ge -7 $.
Неравенство принимает вид:
$ 3t - 3 < \sqrt{7 + t} $

4. Решим полученное иррациональное неравенство. Рассмотрим два случая.

Случай 1: Левая часть отрицательна.
$ 3t - 3 < 0 \implies 3t < 3 \implies t < 1 $.
В этом случае неравенство выполняется для всех $ t $ из области определения, так как отрицательное число всегда меньше неотрицательного (значения квадратного корня).
Учитывая условие $ t \ge -7 $, получаем решение для первого случая: $ -7 \le t < 1 $.

Случай 2: Левая часть неотрицательна.
$ 3t - 3 \ge 0 \implies 3t \ge 3 \implies t \ge 1 $.
В этом случае обе части неравенства неотрицательны, поэтому можно возвести их в квадрат:
$ (3t - 3)^2 < (\sqrt{7 + t})^2 $
$ 9(t-1)^2 < 7+t $
$ 9(t^2 - 2t + 1) < 7+t $
$ 9t^2 - 18t + 9 < 7+t $
$ 9t^2 - 19t + 2 < 0 $
Найдем корни квадратного трехчлена $ 9t^2 - 19t + 2 = 0 $.
Дискриминант $ D = (-19)^2 - 4 \cdot 9 \cdot 2 = 361 - 72 = 289 = 17^2 $.
$ t_1 = \frac{19 - 17}{2 \cdot 9} = \frac{2}{18} = \frac{1}{9} $
$ t_2 = \frac{19 + 17}{2 \cdot 9} = \frac{36}{18} = 2 $
Так как ветви параболы $ y = 9t^2 - 19t + 2 $ направлены вверх, неравенство $ 9t^2 - 19t + 2 < 0 $ выполняется между корнями: $ \frac{1}{9} < t < 2 $.
Учитывая условие этого случая $ t \ge 1 $, получаем решение: $ 1 \le t < 2 $.

5. Объединим решения обоих случаев для переменной $ t $:
$ [-7, 1) \cup [1, 2) = [-7, 2) $.
Итак, $ -7 \le t < 2 $.

6. Вернемся к исходной переменной $ x $, сделав обратную замену $ t = \log_2 x $:
$ -7 \le \log_2 x < 2 $
Так как основание логарифма $ 2 > 1 $, знаки неравенства сохраняются при потенцировании:
$ 2^{-7} \le x < 2^2 $
$ \frac{1}{128} \le x < 4 $
Это решение удовлетворяет ОДЗ.

Ответ: $ x \in [\frac{1}{128}, 4) $.

б) Исходное неравенство: $ \sqrt{\log_4^2 x - 2} \ge \log_2 \frac{x}{4} - 1 $.

1. Преобразуем правую часть неравенства:
$ \log_2 \frac{x}{4} - 1 = (\log_2 x - \log_2 4) - 1 = (\log_2 x - 2) - 1 = \log_2 x - 3 $.

2. Для удобства приведем все логарифмы к одному основанию. Сделаем замену переменной. Пусть $ t = \log_4 x $.
Тогда $ \log_2 x = \log_2 (4^t) = t \cdot \log_2 4 = 2t $.
Подставим $ t $ в неравенство:
$ \sqrt{t^2 - 2} \ge 2t - 3 $.

3. Найдем область определения для $ t $. Выражение под корнем должно быть неотрицательным:
$ t^2 - 2 \ge 0 \implies t^2 \ge 2 \implies t \in (-\infty, -\sqrt{2}] \cup [\sqrt{2}, \infty) $.

4. Решим полученное иррациональное неравенство. Рассмотрим два случая.

Случай 1: Правая часть отрицательна.
$ 2t - 3 < 0 \implies 2t < 3 \implies t < 1.5 $.
В этом случае неравенство выполняется для всех $t$ из его области определения, так как значение квадратного корня всегда неотрицательно. Найдем пересечение $ t < 1.5 $ с областью определения $ t \in (-\infty, -\sqrt{2}] \cup [\sqrt{2}, \infty) $.
Получаем: $ t \in (-\infty, -\sqrt{2}] \cup [\sqrt{2}, 1.5) $.

Случай 2: Правая часть неотрицательна.
$ 2t - 3 \ge 0 \implies t \ge 1.5 $.
В этом случае обе части неравенства неотрицательны, и мы можем возвести их в квадрат:
$ (\sqrt{t^2 - 2})^2 \ge (2t - 3)^2 $
$ t^2 - 2 \ge 4t^2 - 12t + 9 $
$ 0 \ge 3t^2 - 12t + 11 $
$ 3t^2 - 12t + 11 \le 0 $
Найдем корни квадратного трехчлена $ 3t^2 - 12t + 11 = 0 $.
Дискриминант $ D = (-12)^2 - 4 \cdot 3 \cdot 11 = 144 - 132 = 12 $.
$ t = \frac{12 \pm \sqrt{12}}{2 \cdot 3} = \frac{12 \pm 2\sqrt{3}}{6} = 2 \pm \frac{\sqrt{3}}{3} $.
$ t_1 = 2 - \frac{\sqrt{3}}{3} $, $ t_2 = 2 + \frac{\sqrt{3}}{3} $.
Неравенство $ 3t^2 - 12t + 11 \le 0 $ выполняется между корнями: $ 2 - \frac{\sqrt{3}}{3} \le t \le 2 + \frac{\sqrt{3}}{3} $.
Приближенные значения корней: $ t_1 \approx 2 - \frac{1.732}{3} \approx 1.423 $, $ t_2 \approx 2 + \frac{1.732}{3} \approx 2.577 $.
Учитывая условие этого случая $ t \ge 1.5 $, получаем решение: $ 1.5 \le t \le 2 + \frac{\sqrt{3}}{3} $.

5. Объединим решения обоих случаев для переменной $ t $:
$ ((-\infty, -\sqrt{2}] \cup [\sqrt{2}, 1.5)) \cup [1.5, 2 + \frac{\sqrt{3}}{3}] = (-\infty, -\sqrt{2}] \cup [\sqrt{2}, 2 + \frac{\sqrt{3}}{3}] $.

6. Вернемся к исходной переменной $ x $, сделав обратную замену $ t = \log_4 x $.
Полученное решение для $ t $ распадается на две части:

I) $ t \le -\sqrt{2} $
$ \log_4 x \le -\sqrt{2} $
Так как основание логарифма $ 4 > 1 $, при потенцировании знак неравенства сохраняется:
$ x \le 4^{-\sqrt{2}} $. С учетом ОДЗ ($ x > 0 $), получаем $ 0 < x \le 4^{-\sqrt{2}} $.

II) $ \sqrt{2} \le t \le 2 + \frac{\sqrt{3}}{3} $
$ \sqrt{2} \le \log_4 x \le 2 + \frac{\sqrt{3}}{3} $
$ 4^{\sqrt{2}} \le x \le 4^{2 + \frac{\sqrt{3}}{3}} $.

Объединяя оба интервала, получаем окончательное решение.

Ответ: $ x \in (0, 4^{-\sqrt{2}}] \cup [4^{\sqrt{2}}, 4^{2 + \frac{\sqrt{3}}{3}}] $.

Помогло решение? Оставьте отзыв в комментариях ниже.

Присоединяйтесь к Телеграм-группе @gdz_by_belarus

Присоединиться

Мы подготовили для вас ответ c подробным объяснением домашего задания по алгебре за 11 класс, для упражнения номер 42 расположенного на странице 95 к сборнику задач 2020 года издания для учащихся школ и гимназий.

Теперь на нашем сайте ГДЗ.ТОП вы всегда легко и бесплатно найдёте условие с правильным ответом на вопрос «Как решить ДЗ» и «Как сделать» задание по алгебре к упражнению №42 (с. 95), авторов: Арефьева (Ирина Глебовна), Пирютко (Ольга Николаевна), базовый и повышенный уровень обучения учебного пособия издательства Народная асвета.