Номер 214, страница 191 - гдз по алгебре 11 класс учебник Арефьева, Пирютко

Алгебра, 11 класс Учебник, авторы: Арефьева Ирина Глебовна, Пирютко Ольга Николаевна, издательство Народная асвета, Минск, 2020, бирюзового цвета

Авторы: Арефьева И. Г., Пирютко О. Н.

Тип: Учебник

Издательство: Народная асвета

Год издания: 2020 - 2026

Цвет обложки: бирюзовый, зелёный с графиком

ISBN: 978-985-03-3165-6

Популярные ГДЗ в 11 классе

Упражнения для итогового повторения. Выражения и их преобразования - номер 214, страница 191.

№214 (с. 191)
Условие. №214 (с. 191)
скриншот условия
Алгебра, 11 класс Учебник, авторы: Арефьева Ирина Глебовна, Пирютко Ольга Николаевна, издательство Народная асвета, Минск, 2020, бирюзового цвета, страница 191, номер 214, Условие

214. Решите уравнение, используя различные тригонометрические формулы:

а) $\sin5x\cos3x - \cos5x\sin3x = 1$;

б) $\cos x\cos3x = \sin x\sin3x$;

в) $\sin2x = \cos^2 x$;

г) $4\sin^2 x - \cos2x = 5$;

д) $\sin4x - \sin10x = 0$;

е) $\cos7x = \cos3x$.

Решение. №214 (с. 191)
Алгебра, 11 класс Учебник, авторы: Арефьева Ирина Глебовна, Пирютко Ольга Николаевна, издательство Народная асвета, Минск, 2020, бирюзового цвета, страница 191, номер 214, Решение Алгебра, 11 класс Учебник, авторы: Арефьева Ирина Глебовна, Пирютко Ольга Николаевна, издательство Народная асвета, Минск, 2020, бирюзового цвета, страница 191, номер 214, Решение (продолжение 2)
Решение 2. №214 (с. 191)

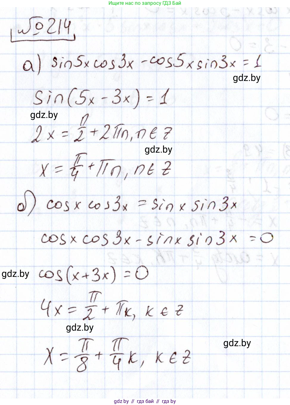
а) $sin5x \cdot cos3x - cos5x \cdot sin3x = 1$

Левая часть уравнения представляет собой развернутую формулу синуса разности двух углов: $sin(\alpha - \beta) = sin\alpha \cdot cos\beta - cos\alpha \cdot sin\beta$.

Применим эту формулу, где $\alpha = 5x$ и $\beta = 3x$:

$sin(5x - 3x) = 1$

$sin(2x) = 1$

Это простейшее тригонометрическое уравнение. Его решение имеет вид:

$2x = \frac{\pi}{2} + 2\pi n$, где $n \in \mathbb{Z}$.

Разделив обе части на 2, получим $x$:

$x = \frac{\pi}{4} + \pi n$, где $n \in \mathbb{Z}$.

Ответ: $x = \frac{\pi}{4} + \pi n, n \in \mathbb{Z}$.


б) $cosx \cdot cos3x = sinx \cdot sin3x$

Перенесем все члены уравнения в левую часть:

$cosx \cdot cos3x - sinx \cdot sin3x = 0$

Левая часть уравнения является формулой косинуса суммы двух углов: $cos(\alpha + \beta) = cos\alpha \cdot cos\beta - sin\alpha \cdot sin\beta$.

Применим эту формулу, где $\alpha = x$ и $\beta = 3x$:

$cos(x + 3x) = 0$

$cos(4x) = 0$

Решение этого простейшего тригонометрического уравнения:

$4x = \frac{\pi}{2} + \pi n$, где $n \in \mathbb{Z}$.

Найдем $x$, разделив обе части на 4:

$x = \frac{\pi}{8} + \frac{\pi n}{4}$, где $n \in \mathbb{Z}$.

Ответ: $x = \frac{\pi}{8} + \frac{\pi n}{4}, n \in \mathbb{Z}$.


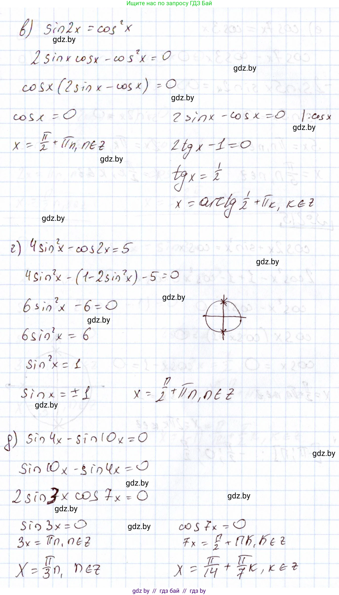
в) $sin2x = cos^2x$

Используем формулу синуса двойного угла: $sin2x = 2sinx \cdot cosx$.

$2sinx \cdot cosx = cos^2x$

Перенесем все в левую часть и вынесем общий множитель за скобки:

$2sinx \cdot cosx - cos^2x = 0$

$cosx \cdot (2sinx - cosx) = 0$

Произведение равно нулю, когда хотя бы один из множителей равен нулю. Получаем два случая:

1) $cosx = 0$

Решение: $x = \frac{\pi}{2} + \pi n$, где $n \in \mathbb{Z}$.

2) $2sinx - cosx = 0$

$2sinx = cosx$

Заметим, что $cosx \ne 0$ (иначе $sinx$ тоже был бы равен 0, что невозможно), поэтому можно разделить обе части на $cosx$:

$\frac{2sinx}{cosx} = 1$

$2tanx = 1 \implies tanx = \frac{1}{2}$

Решение: $x = arctan(\frac{1}{2}) + \pi k$, где $k \in \mathbb{Z}$.

Объединяем решения обоих случаев.

Ответ: $x = \frac{\pi}{2} + \pi n, n \in \mathbb{Z}$; $x = arctan(\frac{1}{2}) + \pi k, k \in \mathbb{Z}$.


г) $4sin^2x - cos2x = 5$

Используем формулу косинуса двойного угла $cos2x = 1 - 2sin^2x$, чтобы привести уравнение к одной функции $sinx$.

$4sin^2x - (1 - 2sin^2x) = 5$

Раскроем скобки и упростим:

$4sin^2x - 1 + 2sin^2x = 5$

$6sin^2x = 6$

$sin^2x = 1$

Отсюда следует, что $sinx = 1$ или $sinx = -1$.

Это частные случаи, которые можно объединить в одну серию решений:

$x = \frac{\pi}{2} + \pi m$, где $m \in \mathbb{Z}$.

Ответ: $x = \frac{\pi}{2} + \pi m, m \in \mathbb{Z}$.


д) $sin4x - sin10x = 0$

Воспользуемся формулой преобразования разности синусов в произведение: $sin\alpha - sin\beta = 2sin(\frac{\alpha-\beta}{2})cos(\frac{\alpha+\beta}{2})$.

Применим ее, где $\alpha = 4x$ и $\beta = 10x$:

$2sin(\frac{4x-10x}{2})cos(\frac{4x+10x}{2}) = 0$

$2sin(-3x)cos(7x) = 0$

Так как $sin(-y) = -sin(y)$, получаем:

$-2sin(3x)cos(7x) = 0$

Произведение равно нулю, когда один из множителей равен нулю:

1) $sin(3x) = 0$

$3x = \pi n$, где $n \in \mathbb{Z}$

$x = \frac{\pi n}{3}$, где $n \in \mathbb{Z}$.

2) $cos(7x) = 0$

$7x = \frac{\pi}{2} + \pi k$, где $k \in \mathbb{Z}$

$x = \frac{\pi}{14} + \frac{\pi k}{7}$, где $k \in \mathbb{Z}$.

Ответ: $x = \frac{\pi n}{3}, n \in \mathbb{Z}$; $x = \frac{\pi}{14} + \frac{\pi k}{7}, k \in \mathbb{Z}$.


е) $cos7x = cos3x$

Перенесем $cos3x$ в левую часть:

$cos7x - cos3x = 0$

Используем формулу преобразования разности косинусов в произведение: $cos\alpha - cos\beta = -2sin(\frac{\alpha+\beta}{2})sin(\frac{\alpha-\beta}{2})$.

Применим ее, где $\alpha = 7x$ и $\beta = 3x$:

$-2sin(\frac{7x+3x}{2})sin(\frac{7x-3x}{2}) = 0$

$-2sin(5x)sin(2x) = 0$

Получаем совокупность двух уравнений:

1) $sin(5x) = 0$

$5x = \pi n$, где $n \in \mathbb{Z}$

$x = \frac{\pi n}{5}$, где $n \in \mathbb{Z}$.

2) $sin(2x) = 0$

$2x = \pi k$, где $k \in \mathbb{Z}$

$x = \frac{\pi k}{2}$, где $k \in \mathbb{Z}$.

Ответ: $x = \frac{\pi n}{5}, n \in \mathbb{Z}$; $x = \frac{\pi k}{2}, k \in \mathbb{Z}$.

Помогло решение? Оставьте отзыв в комментариях ниже.

Присоединяйтесь к Телеграм-группе @gdz_by_belarus

Присоединиться

Мы подготовили для вас ответ c подробным объяснением домашего задания по алгебре за 11 класс, для упражнения номер 214 расположенного на странице 191 к учебнику 2020 года издания для учащихся школ и гимназий.

Теперь на нашем сайте ГДЗ.ТОП вы всегда легко и бесплатно найдёте условие с правильным ответом на вопрос «Как решить ДЗ» и «Как сделать» задание по алгебре к упражнению №214 (с. 191), авторов: Арефьева (Ирина Глебовна), Пирютко (Ольга Николаевна), учебного пособия издательства Народная асвета.