Номер 217, страница 192 - гдз по алгебре 11 класс учебник Арефьева, Пирютко

Алгебра, 11 класс Учебник, авторы: Арефьева Ирина Глебовна, Пирютко Ольга Николаевна, издательство Народная асвета, Минск, 2020, бирюзового цвета

Авторы: Арефьева И. Г., Пирютко О. Н.

Тип: Учебник

Издательство: Народная асвета

Год издания: 2020 - 2026

Цвет обложки: бирюзовый, зелёный с графиком

ISBN: 978-985-03-3165-6

Популярные ГДЗ в 11 классе

Упражнения для итогового повторения. Выражения и их преобразования - номер 217, страница 192.

№217 (с. 192)
Условие. №217 (с. 192)
скриншот условия
Алгебра, 11 класс Учебник, авторы: Арефьева Ирина Глебовна, Пирютко Ольга Николаевна, издательство Народная асвета, Минск, 2020, бирюзового цвета, страница 192, номер 217, Условие

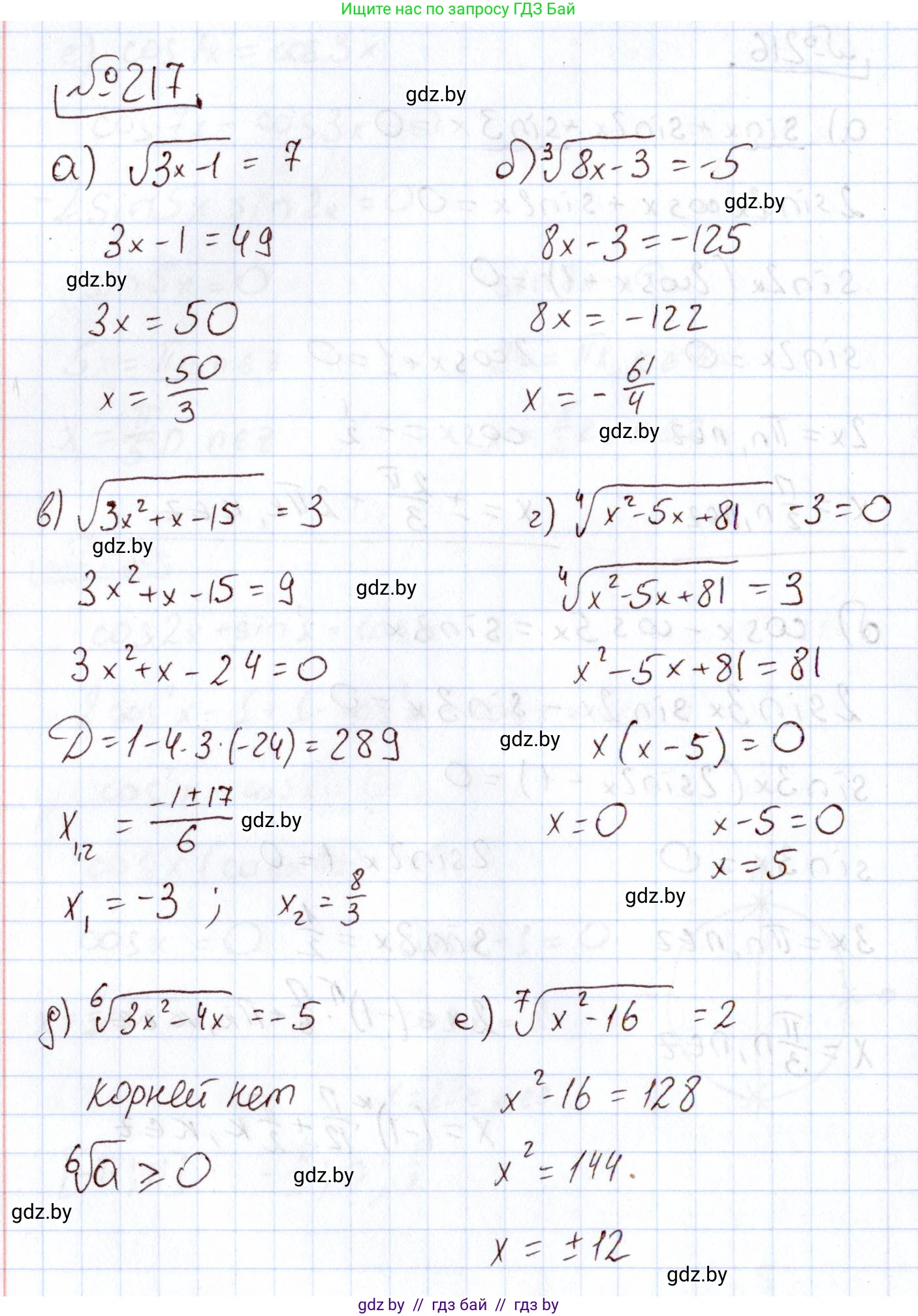
217. Решите иррациональное уравнение:

а) $\sqrt{3x - 1} = 7;$

б) $\sqrt[3]{8x - 3} = -5;$

в) $\sqrt{3x^2 + x - 15} = 3;$

г) $\sqrt[4]{x^2 - 5x + 81} - 3 = 0;$

д) $\sqrt[6]{3x^2 - 4x} = -5;$

е) $\sqrt[7]{x^2 - 16} = 2.$

Решение. №217 (с. 192)
Алгебра, 11 класс Учебник, авторы: Арефьева Ирина Глебовна, Пирютко Ольга Николаевна, издательство Народная асвета, Минск, 2020, бирюзового цвета, страница 192, номер 217, Решение
Решение 2. №217 (с. 192)

а) Дано иррациональное уравнение $\sqrt{3x - 1} = 7$.
Поскольку корень четной степени (квадратный) должен быть неотрицательным, а правая часть уравнения $7 > 0$, мы можем возвести обе части уравнения в квадрат. Также необходимо, чтобы подкоренное выражение было неотрицательным (область допустимых значений, ОДЗ).
ОДЗ: $3x - 1 \geq 0$, что означает $3x \geq 1$, или $x \geq \frac{1}{3}$.
Возводим обе части уравнения в квадрат:
$(\sqrt{3x - 1})^2 = 7^2$
$3x - 1 = 49$
$3x = 49 + 1$
$3x = 50$
$x = \frac{50}{3}$
Проверим, удовлетворяет ли найденный корень условию ОДЗ: $\frac{50}{3} = 16\frac{2}{3}$, что больше, чем $\frac{1}{3}$. Условие выполняется.
Ответ: $\frac{50}{3}$.

б) Дано иррациональное уравнение $\sqrt[3]{8x - 3} = -5$.
Так как корень нечетной степени (кубический), подкоренное выражение может быть любым действительным числом. Ограничений на ОДЗ нет.
Возводим обе части уравнения в куб:
$(\sqrt[3]{8x - 3})^3 = (-5)^3$
$8x - 3 = -125$
$8x = -125 + 3$
$8x = -122$
$x = -\frac{122}{8} = -\frac{61}{4}$
Ответ: $-\frac{61}{4}$.

в) Дано иррациональное уравнение $\sqrt{3x^2 + x - 15} = 3$.
Правая часть уравнения положительна, поэтому можем возвести обе части в квадрат. При этом найденные решения автоматически будут удовлетворять ОДЗ ($3x^2 + x - 15 \geq 0$), так как подкоренное выражение будет равно $3^2=9$, что является неотрицательным числом.
Возводим обе части в квадрат:
$(\sqrt{3x^2 + x - 15})^2 = 3^2$
$3x^2 + x - 15 = 9$
$3x^2 + x - 24 = 0$
Решаем квадратное уравнение через дискриминант:
$D = b^2 - 4ac = 1^2 - 4 \cdot 3 \cdot (-24) = 1 + 288 = 289 = 17^2$
$x_1 = \frac{-b + \sqrt{D}}{2a} = \frac{-1 + 17}{2 \cdot 3} = \frac{16}{6} = \frac{8}{3}$
$x_2 = \frac{-b - \sqrt{D}}{2a} = \frac{-1 - 17}{2 \cdot 3} = \frac{-18}{6} = -3$
Оба корня являются решениями.
Ответ: $-3; \frac{8}{3}$.

г) Дано иррациональное уравнение $\sqrt[4]{x^2 - 5x + 81} - 3 = 0$.
Перенесем 3 в правую часть:
$\sqrt[4]{x^2 - 5x + 81} = 3$
Так как корень четной степени, а правая часть положительна, можем возвести обе части в четвертую степень. Найденные решения будут удовлетворять ОДЗ, так как подкоренное выражение окажется равным $3^4 = 81 \geq 0$.
Возводим обе части в четвертую степень:
$(\sqrt[4]{x^2 - 5x + 81})^4 = 3^4$
$x^2 - 5x + 81 = 81$
$x^2 - 5x = 0$
Выносим $x$ за скобки:
$x(x - 5) = 0$
Отсюда получаем два корня: $x_1 = 0$ и $x_2 = 5$.
Ответ: $0; 5$.

д) Дано иррациональное уравнение $\sqrt[6]{3x^2 - 4x} = -5$.
По определению, арифметический корень четной степени (в данном случае шестой) является неотрицательным числом. То есть, $\sqrt[6]{A} \geq 0$ для любого $A \geq 0$.
В уравнении корень шестой степени приравнивается к отрицательному числу -5. Это невозможно.
Следовательно, уравнение не имеет действительных решений.
Ответ: нет решений.

е) Дано иррациональное уравнение $\sqrt[7]{x^2 - 16} = 2$.
Так как корень нечетной степени (седьмой), ограничений на подкоренное выражение нет.
Возводим обе части уравнения в седьмую степень:
$(\sqrt[7]{x^2 - 16})^7 = 2^7$
$x^2 - 16 = 128$
$x^2 = 128 + 16$
$x^2 = 144$
$x = \pm \sqrt{144}$
$x_1 = 12, x_2 = -12$
Ответ: $-12; 12$.

Помогло решение? Оставьте отзыв в комментариях ниже.

Присоединяйтесь к Телеграм-группе @gdz_by_belarus

Присоединиться

Мы подготовили для вас ответ c подробным объяснением домашего задания по алгебре за 11 класс, для упражнения номер 217 расположенного на странице 192 к учебнику 2020 года издания для учащихся школ и гимназий.

Теперь на нашем сайте ГДЗ.ТОП вы всегда легко и бесплатно найдёте условие с правильным ответом на вопрос «Как решить ДЗ» и «Как сделать» задание по алгебре к упражнению №217 (с. 192), авторов: Арефьева (Ирина Глебовна), Пирютко (Ольга Николаевна), учебного пособия издательства Народная асвета.