Номер 219, страница 192 - гдз по алгебре 11 класс учебник Арефьева, Пирютко

Алгебра, 11 класс Учебник, авторы: Арефьева Ирина Глебовна, Пирютко Ольга Николаевна, издательство Народная асвета, Минск, 2020, бирюзового цвета

Авторы: Арефьева И. Г., Пирютко О. Н.

Тип: Учебник

Издательство: Народная асвета

Год издания: 2020 - 2026

Цвет обложки: бирюзовый, зелёный с графиком

ISBN: 978-985-03-3165-6

Популярные ГДЗ в 11 классе

Упражнения для итогового повторения. Выражения и их преобразования - номер 219, страница 192.

№219 (с. 192)
Условие. №219 (с. 192)
скриншот условия
Алгебра, 11 класс Учебник, авторы: Арефьева Ирина Глебовна, Пирютко Ольга Николаевна, издательство Народная асвета, Минск, 2020, бирюзового цвета, страница 192, номер 219, Условие

219. Решите уравнение двумя способами:

а) $\sqrt{12 - x} = x;$

б) $\sqrt{x - 2} = x - 2;$

в) $\sqrt{x + 1} + 1 = x;$

г) $\sqrt{x + 1} + 5 - x = 0.$

Решение. №219 (с. 192)
Алгебра, 11 класс Учебник, авторы: Арефьева Ирина Глебовна, Пирютко Ольга Николаевна, издательство Народная асвета, Минск, 2020, бирюзового цвета, страница 192, номер 219, Решение Алгебра, 11 класс Учебник, авторы: Арефьева Ирина Глебовна, Пирютко Ольга Николаевна, издательство Народная асвета, Минск, 2020, бирюзового цвета, страница 192, номер 219, Решение (продолжение 2)
Решение 2. №219 (с. 192)

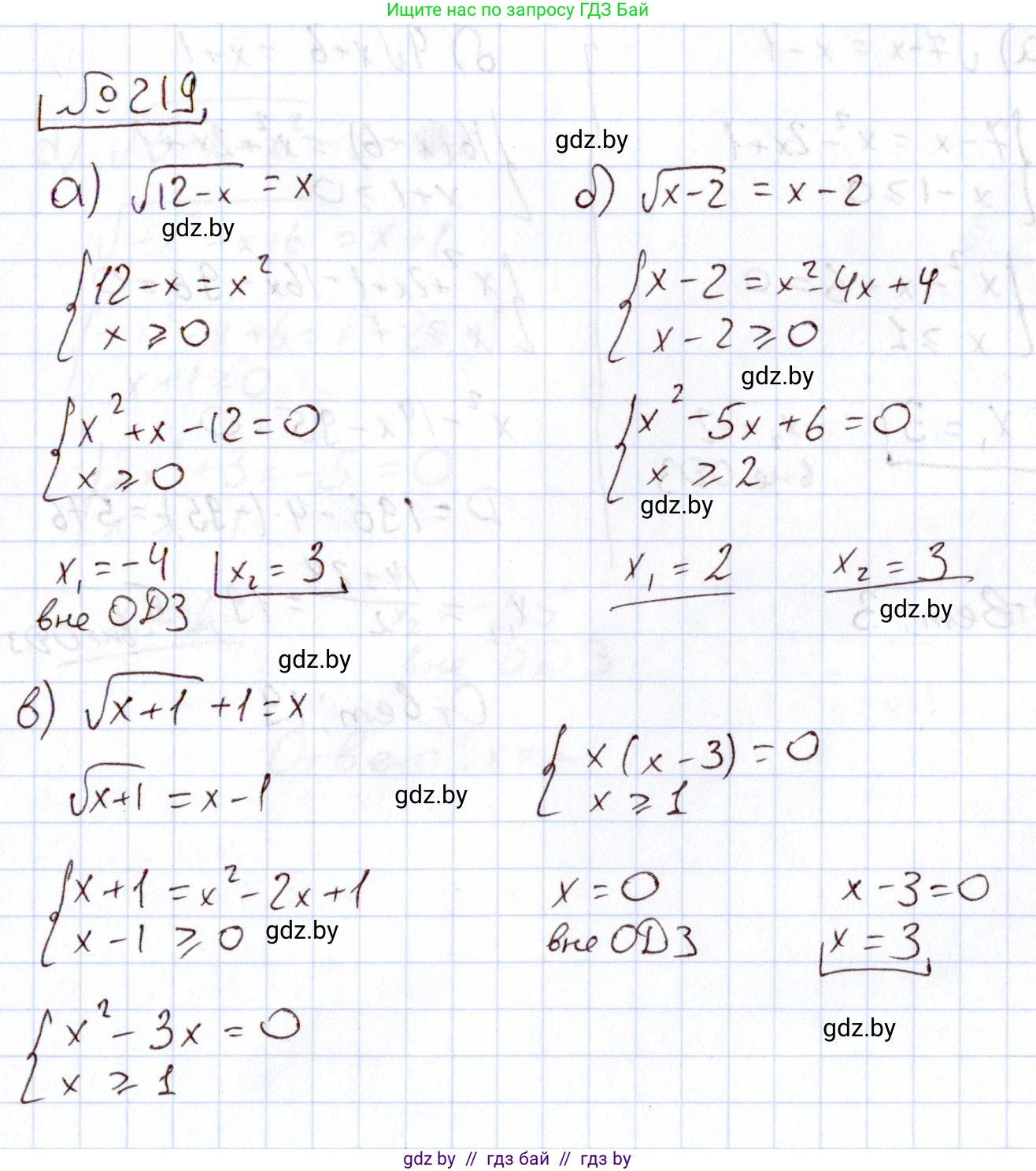
а) $\sqrt{12 - x} = x$

Способ 1: Алгебраический метод

1. Найдем область допустимых значений (ОДЗ). Выражение под корнем должно быть неотрицательным: $12 - x \ge 0$, что дает $x \le 12$. Также, поскольку корень арифметический, его значение должно быть неотрицательным, поэтому правая часть уравнения $x$ должна быть неотрицательной: $x \ge 0$. Объединяя условия, получаем ОДЗ: $0 \le x \le 12$.
2. Возведем обе части уравнения в квадрат, чтобы избавиться от иррациональности:
$(\sqrt{12 - x})^2 = x^2$
$12 - x = x^2$
3. Приведем уравнение к стандартному квадратному виду:
$x^2 + x - 12 = 0$
4. Решим квадратное уравнение с помощью теоремы Виета. Сумма корней равна $-1$, а произведение равно $-12$. Корни: $x_1 = 3$ и $x_2 = -4$.
5. Проверим найденные корни на соответствие ОДЗ. Корень $x_1 = 3$ удовлетворяет условию $0 \le 3 \le 12$. Корень $x_2 = -4$ не удовлетворяет условию $x \ge 0$, поэтому является посторонним.
Таким образом, единственное решение уравнения — это $x=3$.

Способ 2: Графический метод

Решение уравнения можно найти как абсциссу точки пересечения графиков двух функций: $y_1 = \sqrt{12 - x}$ и $y_2 = x$.
1. График функции $y_2 = x$ — это прямая, являющаяся биссектрисой первого и третьего координатных углов.
2. График функции $y_1 = \sqrt{12 - x}$ — это ветвь параболы $x = 12 - y^2$, расположенная в верхней полуплоскости ($y_1 \ge 0$), с вершиной в точке $(12, 0)$.
Построив оба графика в одной системе координат, мы увидим, что они пересекаются в единственной точке с координатами $(3, 3)$. Абсцисса этой точки $x = 3$ и является решением уравнения.

Ответ: 3

б) $\sqrt{x - 2} = x - 2$

Способ 1: Метод введения новой переменной

1. Пусть $t = \sqrt{x - 2}$. По определению арифметического квадратного корня, $t \ge 0$.
2. Из этого следует, что $x - 2 = t^2$. Подставим $t$ и $t^2$ в исходное уравнение:
$t = t^2$
3. Решим полученное уравнение:
$t^2 - t = 0$
$t(t - 1) = 0$
Отсюда получаем два возможных значения для $t$: $t_1 = 0$ или $t_2 = 1$. Оба значения удовлетворяют условию $t \ge 0$.
4. Выполним обратную замену для каждого значения $t$:
Если $t = 0$, то $\sqrt{x - 2} = 0$, возводим в квадрат и получаем $x - 2 = 0$, откуда $x = 2$.
Если $t = 1$, то $\sqrt{x - 2} = 1$, возводим в квадрат и получаем $x - 2 = 1$, откуда $x = 3$.
Оба найденных значения являются решениями.

Способ 2: Алгебраический метод (возведение в квадрат)

1. Найдем ОДЗ: подкоренное выражение должно быть неотрицательным, $x - 2 \ge 0$, что дает $x \ge 2$.
2. Возведем обе части уравнения в квадрат:
$(\sqrt{x - 2})^2 = (x - 2)^2$
$x - 2 = (x - 2)^2$
3. Перенесем все члены в одну сторону и разложим на множители, вынеся общий множитель $(x-2)$ за скобки:
$(x - 2)^2 - (x - 2) = 0$
$(x - 2)((x - 2) - 1) = 0$
$(x - 2)(x - 3) = 0$
4. Произведение равно нулю, когда хотя бы один из множителей равен нулю:
$x - 2 = 0 \implies x = 2$
$x - 3 = 0 \implies x = 3$
5. Оба корня, $x=2$ и $x=3$, удовлетворяют ОДЗ ($x \ge 2$).

Ответ: 2; 3

в) $\sqrt{x + 1} + 1 = x$

Способ 1: Алгебраический метод

1. Уединим корень в левой части уравнения:
$\sqrt{x + 1} = x - 1$
2. Найдем ОДЗ. Из условия существования корня имеем $x + 1 \ge 0 \implies x \ge -1$. Из условия неотрицательности правой части ($x-1$) имеем $x - 1 \ge 0 \implies x \ge 1$. Объединяя эти два условия, получаем ОДЗ: $x \ge 1$.
3. Возведем обе части уравнения в квадрат:
$(\sqrt{x + 1})^2 = (x - 1)^2$
$x + 1 = x^2 - 2x + 1$
4. Приведем к стандартному виду и решим полученное квадратное уравнение:
$x^2 - 3x = 0$
$x(x - 3) = 0$
Корни: $x_1 = 0$ и $x_2 = 3$.
5. Проверим корни на соответствие ОДЗ ($x \ge 1$). Корень $x_1 = 0$ не удовлетворяет ОДЗ, значит, это посторонний корень. Корень $x_2 = 3$ удовлетворяет ОДЗ.

Способ 2: Метод введения новой переменной

1. Пусть $t = \sqrt{x + 1}$, при этом $t \ge 0$. Тогда $t^2 = x + 1$, откуда $x = t^2 - 1$.
2. Подставим выражения для корня и $x$ в исходное уравнение $\sqrt{x + 1} + 1 = x$:
$t + 1 = (t^2 - 1)$
3. Решим полученное уравнение относительно $t$:
$t^2 - t - 2 = 0$
По теореме Виета, корни $t_1 = 2$ и $t_2 = -1$.
4. Условию $t \ge 0$ удовлетворяет только корень $t = 2$.
5. Выполним обратную замену: $\sqrt{x + 1} = 2$.
Возведем в квадрат: $x + 1 = 4$.
Отсюда $x = 3$.

Ответ: 3

г) $\sqrt{x + 1} + 5 - x = 0$

Способ 1: Алгебраический метод

1. Уединим корень в левой части уравнения, перенеся остальные члены вправо:
$\sqrt{x + 1} = x - 5$
2. Найдем ОДЗ. Условие для подкоренного выражения: $x + 1 \ge 0 \implies x \ge -1$. Условие для правой части: $x - 5 \ge 0 \implies x \ge 5$. Общее ОДЗ: $x \ge 5$.
3. Возведем обе части в квадрат:
$(\sqrt{x + 1})^2 = (x - 5)^2$
$x + 1 = x^2 - 10x + 25$
4. Приведем к стандартному виду и решим квадратное уравнение:
$x^2 - 11x + 24 = 0$
По теореме Виета, сумма корней равна 11, а произведение 24. Отсюда корни: $x_1 = 3$ и $x_2 = 8$.
5. Проверим корни на соответствие ОДЗ ($x \ge 5$). Корень $x_1 = 3$ не удовлетворяет ОДЗ, поэтому является посторонним. Корень $x_2 = 8$ удовлетворяет ОДЗ.

Способ 2: Графический метод

Представим уравнение в виде $\sqrt{x + 1} = x - 5$. Решение можно найти как абсциссу точки пересечения графиков функций $y_1 = \sqrt{x + 1}$ и $y_2 = x - 5$.
1. График функции $y_1 = \sqrt{x + 1}$ — это верхняя ветвь параболы, выходящая из точки $(-1, 0)$.
2. График функции $y_2 = x - 5$ — это прямая, проходящая через точки $(5, 0)$ и $(0, -5)$.
При построении графиков в одной системе координат видно, что они пересекаются в единственной точке. Найдем ее координаты: $y_1(8) = \sqrt{8+1} = 3$ и $y_2(8) = 8-5=3$. Точка пересечения — $(8, 3)$. Абсцисса этой точки $x = 8$ и является решением уравнения.

Ответ: 8

Помогло решение? Оставьте отзыв в комментариях ниже.

Присоединяйтесь к Телеграм-группе @gdz_by_belarus

Присоединиться

Мы подготовили для вас ответ c подробным объяснением домашего задания по алгебре за 11 класс, для упражнения номер 219 расположенного на странице 192 к учебнику 2020 года издания для учащихся школ и гимназий.

Теперь на нашем сайте ГДЗ.ТОП вы всегда легко и бесплатно найдёте условие с правильным ответом на вопрос «Как решить ДЗ» и «Как сделать» задание по алгебре к упражнению №219 (с. 192), авторов: Арефьева (Ирина Глебовна), Пирютко (Ольга Николаевна), учебного пособия издательства Народная асвета.