Номер 220, страница 192 - гдз по алгебре 11 класс учебник Арефьева, Пирютко

Алгебра, 11 класс Учебник, авторы: Арефьева Ирина Глебовна, Пирютко Ольга Николаевна, издательство Народная асвета, Минск, 2020, бирюзового цвета

Авторы: Арефьева И. Г., Пирютко О. Н.

Тип: Учебник

Издательство: Народная асвета

Год издания: 2020 - 2026

Цвет обложки: бирюзовый, зелёный с графиком

ISBN: 978-985-03-3165-6

Популярные ГДЗ в 11 классе

Упражнения для итогового повторения. Выражения и их преобразования - номер 220, страница 192.

№220 (с. 192)
Условие. №220 (с. 192)
скриншот условия
Алгебра, 11 класс Учебник, авторы: Арефьева Ирина Глебовна, Пирютко Ольга Николаевна, издательство Народная асвета, Минск, 2020, бирюзового цвета, страница 192, номер 220, Условие

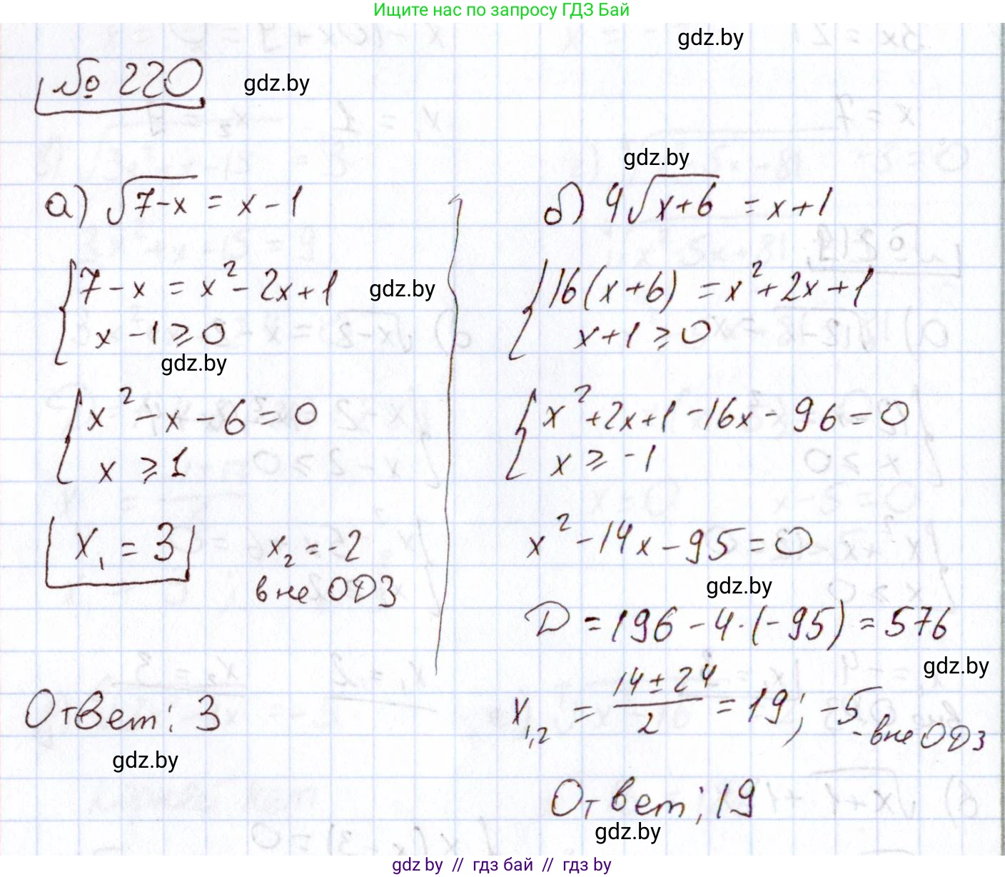
220. Найдите значения переменной, при которых равны значения выражений:

a) $\sqrt{7-x}$ и $x-1$;

б) $4\sqrt{x+6}$ и $x+1$.

Решение. №220 (с. 192)
Алгебра, 11 класс Учебник, авторы: Арефьева Ирина Глебовна, Пирютко Ольга Николаевна, издательство Народная асвета, Минск, 2020, бирюзового цвета, страница 192, номер 220, Решение
Решение 2. №220 (с. 192)

а) Чтобы найти значения переменной, при которых значения выражений равны, нужно приравнять эти выражения и решить получившееся иррациональное уравнение.

$\sqrt{7-x} = x-1$

Определим область допустимых значений (ОДЗ). Во-первых, подкоренное выражение должно быть неотрицательным. Во-вторых, результат извлечения арифметического квадратного корня также должен быть неотрицательным.

Система условий:

$ \begin{cases} 7 - x \ge 0 \\ x - 1 \ge 0 \end{cases} $

Решая систему, получаем:

$ \begin{cases} x \le 7 \\ x \ge 1 \end{cases} $

Таким образом, ОДЗ: $x \in [1; 7]$.

Теперь, когда обе части уравнения неотрицательны, мы можем возвести их в квадрат:

$(\sqrt{7-x})^2 = (x-1)^2$

$7 - x = x^2 - 2x + 1$

Приведем уравнение к стандартному квадратному виду $ax^2+bx+c=0$:

$x^2 - 2x + x + 1 - 7 = 0$

$x^2 - x - 6 = 0$

Решим это уравнение. Можно использовать теорему Виета: сумма корней равна 1, произведение равно -6. Корнями являются $x_1 = 3$ и $x_2 = -2$.

Проверим найденные корни на принадлежность ОДЗ ($x \in [1; 7]$).

  • $x_1 = 3$ — принадлежит ОДЗ, так как $1 \le 3 \le 7$.
  • $x_2 = -2$ — не принадлежит ОДЗ, так как $-2 < 1$. Это посторонний корень.

Следовательно, единственным решением является $x=3$.

Ответ: 3


б) Приравняем выражения $4\sqrt{x}+6$ и $x+1$.

$4\sqrt{x}+6 = x+1$

ОДЗ для этого уравнения определяется только подкоренным выражением: $x \ge 0$.

Изолируем радикал в одной части уравнения:

$4\sqrt{x} = x+1-6$

$4\sqrt{x} = x-5$

Теперь, как и в предыдущем пункте, правая часть должна быть неотрицательной, так как она равна неотрицательному выражению $4\sqrt{x}$.

$x-5 \ge 0 \implies x \ge 5$.

Совмещая с первоначальным ОДЗ ($x \ge 0$), получаем итоговое условие для корней: $x \ge 5$.

Возводим обе части уравнения $4\sqrt{x} = x-5$ в квадрат:

$(4\sqrt{x})^2 = (x-5)^2$

$16x = x^2 - 10x + 25$

Приведем к стандартному виду:

$x^2 - 10x - 16x + 25 = 0$

$x^2 - 26x + 25 = 0$

Решим по теореме Виета: сумма корней равна 26, произведение равно 25. Корнями являются $x_1 = 25$ и $x_2 = 1$.

Проверим корни на соответствие условию $x \ge 5$.

  • $x_1 = 25$ — удовлетворяет условию, так как $25 \ge 5$.
  • $x_2 = 1$ — не удовлетворяет условию, так как $1 < 5$. Это посторонний корень.

Единственным решением является $x=25$.

Ответ: 25

Помогло решение? Оставьте отзыв в комментариях ниже.

Присоединяйтесь к Телеграм-группе @gdz_by_belarus

Присоединиться

Мы подготовили для вас ответ c подробным объяснением домашего задания по алгебре за 11 класс, для упражнения номер 220 расположенного на странице 192 к учебнику 2020 года издания для учащихся школ и гимназий.

Теперь на нашем сайте ГДЗ.ТОП вы всегда легко и бесплатно найдёте условие с правильным ответом на вопрос «Как решить ДЗ» и «Как сделать» задание по алгебре к упражнению №220 (с. 192), авторов: Арефьева (Ирина Глебовна), Пирютко (Ольга Николаевна), учебного пособия издательства Народная асвета.